EL FINAL DEL UNIVERSO

Una de las cosas más sorprendentes de este mundo es que el ser
humano (una especie de homínidos de cerebro grande) sea capaz de estudiar
fenómenos tan infinitamente alejados de su realidad cotidiana como la creación del
Universo o su posible destino final. Conseguir semejante proeza es posible
gracias a la combinación entre tecnología moderna, física moderna y sobre todo
el inmenso poder de las Matemáticas. En este artículo veremos este poder en
todo su esplendor: con solo tres expresiones matemáticas sencillas que
explicaré paso a paso, seremos capaces de predecir nada menos que ¡el futuro de
nuestro Universo! Como si fuera una representación de una ópera dramática de
Shakespeare, el futuro de todo lo que existe a nuestro alrededor girará en
torno a tres escenarios posibles: uno de larga y lenta agonía, otro de súbita
destrucción y otro de retroceso e involución. En términos teatrales, el primer
escenario puede considerarse el de una "representación lenta y aburrida",
el segundo conlleva un acto realmente sorprendente y el último escenario
contiene un acto final casi imposible de creer.
¡Bienvenidos a la ópera magna del final de nuestro Universo!
Nuestra
época actual: energía oscura y expansión acelerada
En 1998 los científicos descubrieron algo sorprendente: la
expansión del Universo no solo no se estaba frenando como era de esperar por el
efecto gravitatorio sino que se estaba acelerando. Además esta aceleración
¡acababa de comenzar en un periodo muy reciente! Básicamente existen tres
formas fundamentales de explicar este sorprendente hallazgo:
1º) Las ecuaciones de la relatividad general deben incluir una
nueva constante de la naturaleza, denominada "constante cosmológica".
Esta constante actuaría como una fuerza repulsiva que explicaría la expansión
acelerada.
2º) El estado de vacío actual del Universo tiene una densidad de
energía positiva. Esta pequeña densidad de energía produce una repulsión
gravitatoria que explicaría la aceleración observada.
3º) La densidad de energía del vacío no es constante sino que
depende de un nuevo campo escalar similar al campo inflatón que dirigió la
inflación cósmica. El valor de este campo escalar controla la densidad de
energía total del vacío y por tanto el valor de la aceleración cósmica.
Estas tres posibles soluciones representan los tres escenarios de
los que hablamos en la introducción: el primero conduce a la lenta y agónica
muerte térmica del Universo, el segundo puede conducir a una "súbita"
destrucción del Universo y el tercero conduce a una posibilidad increíble: el
Universo frenaría su expansión, se detendría y ¡comenzaría a contraerse
lentamente!
Antes de estudiar estos tres escenarios debemos analizar
brevemente las características fundamentales de los campos cuánticos que
constituyen todo lo que existe en nuestro Universo.
La
estabilidad del vacío de los campos cuánticos
Un campo cuántico es un campo complejo que está representado por
dos valores fundamentales: el valor del campo (similar a la energía cinética de
los campos clásicos) y el valor del potencial (similar a la energía potencial
clásica). Estos valores pueden representarse en una gráfica en el plano
complejo:

La energía total del campo cuántico es la suma de ambos
componentes. El eje "x" y el eje "y" representan la parte
imaginaria y la parte real de la energía cinética y el eje "z" el
valor del potencial. Si nos fijamos en la imagen anterior vemos que en lo alto
de la colina el campo tiene energía cinética 0 y energía potencial V. Los
campos tienden siempre a "rodar" hacia el punto de mínimo potencial,
por eso, el campo en esa posición es inestable: en un momento dado, debido a
una fluctuación cuántica o por efecto túnel, el campo "saltará" y
rodará hasta la parte inferior de mínimo potencial.
A continuación analizaremos brevemente los escenarios 1 y 2. El
escenario 3 merece una atención especial ya que sus consecuencias son
absolutamente extraordinarias.
Escenario
1: Muerte termodinámica
Este escenario es el más sencillo de todos: la constante
cosmológica provocará que el Universo se expanda con una aceleración constante
de forma que las galaxias se separarán más y más y el Universo se enfriará cada
vez más. Llegado un punto, las estrellas y toda la materia se disgregarán y se
"disolverán" por el inmenso Cosmos produciendo un Universo
prácticamente vacío de materia y energía. El Universo se verá abocado a una
"muerte térmica".
Escenario
2: Destrucción súbita
El estado de vacío de nuestro Universo viene dado por el vacío del
Modelo Estándar de la física de partículas. Cuando la energía de nuestro
Universo descendió por debajo de 246 GeV, el
denominado campo de Higgs fijó el estado de vacío de
nuestro Universo. Hay indicios de que el vacío del campo de Higgs
no es estable: si el potencial de este campo tiene un mínimo por debajo del
vacío actual, existe la posibilidad de que debido a fluctuaciones cuánticas o
por efecto túnel el estado de vacío actual "salte" instantáneamente
hasta el nuevo estado de vacío. Este fenómeno tendría efectos desastrosos: el nuevo
estado de vacío empezaría a expandirse en forma de una burbuja que viaja casi a
la velocidad de la luz destruyendo todo a su paso.

El punto B representa el vacío inestable actual de nuestro Universo.
En cierto instante el vacío "salta" por efecto túnel cuántico a un
estado de vacío inferior.

¡El acto final de este escenario es apocalíptico! Además esta
"opera trágica" no tendrá ningún testigo: no hay forma de detectar la
burbuja relativista del nuevo vacío y nada sobrevivirá a su paso. De todas
formas no hay que alarmarse: la probabilidad de "salto" por efecto
túnel es muy baja y la probabilidad que la burbuja alcance nuestra posición en
un periodo de tiempo cercano es también muy baja. Ambas probabilidades
involucran tiempos de cientos o incluso miles de veces la edad actual del
Universo.
Escenario
3: Energía oscura variable o quintaesencia
Este escenario se produce si la energía oscura no es constante
sino que está controlada por un campo escalar similar al campo inflatón que
dirigió la inflación cósmica. En este caso, el destino del Universo estará
marcado por las características de este campo escalar denominado
"quintaesencia". Si el potencial de este campo es continuamente
decreciente y posee una pendiente adecuada, entonces nuestro Universo pasará
por una serie de fases realmente extraordinarias. Es ahora cuando descubrimos
los fenómenos más increíbles y sorprendentes gracias al poder de la Física y
las Matemáticas.
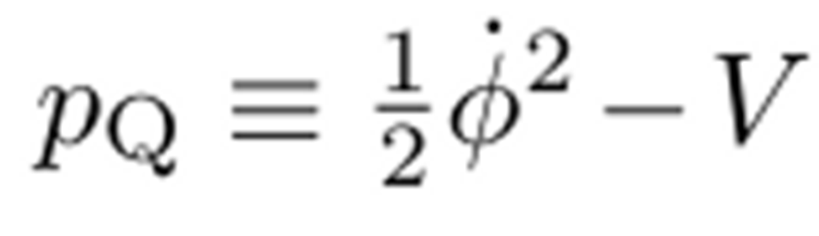
Denominaremos "psi" al campo escalar que controla la
expansión y V al potencial de dicho campo escalar. La energía total de este
campo viene dada por:

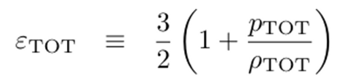
Donde ptot es la presión y Rhotot es la
densidad de energía total. La presión y la densidad total de energía del campo
quintaesencia vienen dados por:


A continuación pondremos las 3 ecuaciones sencillas que nos
permitirán averiguar el destino de nuestro Universo. Estas ecuaciones se
derivan de las denominadas ecuaciones de Friedmann basadas en la Relatividad
General:
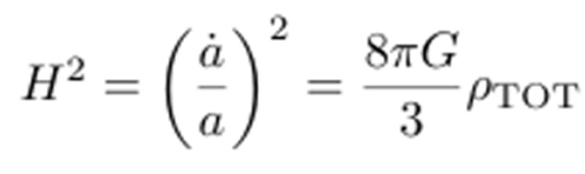
1º) Ecuación de Friedmann del factor de escala (a) en función de
la energía-presión total:

2º) Ecuación de Friedman para la constante de Hubble (H):

3º) Ecuación de movimiento de un campo escalar V:

Donde G es la constante de la gravitación de Newton. Los puntos
superiores indican la derivada primera y segunda respecto al tiempo. El valor
experimental actual de la densidad de energía oscura es pequeñísimo, casi nulo.
Por tanto el valor actual del campo quintaesencia debe ser casi cero. Además,
como he explicado, el potencial de este campo decrece de forma continua.
Teniendo en cuenta la expresión de la energía total y de los
valores de la presión y la densidad de energía del campo escalar, vemos
claramente que según V disminuye y se acerca a cero pQ aumenta y rhoQ
disminuye; por tanto, el valor de la energía total aumenta (el cociente p/rho
se hace más grande). En un momento dado, el valor de la densidad de energía
total alcanza el valor 1 y sigue aumentando. Si nos fijamos en la primera
expresión tenemos que en ese momento ä (la aceleración del factor de escala del
Universo) se anula y comienza a hacerse negativa. Esto implica algo increíble:
la aceleración del Universo
comienza a frenarse
A continuación tenemos que según V sigue moviéndose hacia valores
más negativos, la densidad de energía total disminuye. Cuando V alcanza cierto
valor negativo, la densidad de energía total alcanza cero. Si nos fijamos en la
segunda expresión, tenemos en ese momento que la constante de Hubble H es
también cero y por tanto la expansión del Universo se detiene.
Por último las expresiones anteriores junto con la ecuación 3
indican que según V sigue decreciendo, H se hace negativa, lo que implica que el
Universo empieza a contraerse.
La siguiente gráfica resume las tres etapas anteriores:

El momento actual es el punto to que tiene un valor muy próximo a
cero. El punto psib marca el comienzo de la fase en la que la energía oscura
empieza a ser dominante, es decir, el instante donde comienza la expansión
acelerada. Posteriormente, en el punto psidec comienza a frenarse la expansión.
Finalmente en el punto psicon el Universo empieza a contraerse.
Es ahora cuando nos topamos con el fenómeno más extraño de todos.
Hasta ahora el análisis realizado es puramente clásico, ya que a escalas
cosmológicas los fenómenos cuánticos son despreciables. Sin embargo, una de las
ecuaciones de gravedad cuántica más importantes, denominada ecuación de
Wheeler-DeWitt, indica claramente un estrecho vínculo entre la expansión del
Universo y el flujo del tiempo; de hecho, indica una asimetría del tiempo
evolucionando desde estados de baja entropía a estados de alta entropía. Esta
ecuación sugiere algo realmente sorprendente: si la expansión del Universo cesa
¡el tiempo se detiene! y si el Universo se contrae ¡el tiempo cambia de
signo! Aún no está claro cómo interpretar de forma correcta la ecuación de
Wheeler-DeWitt, es evidente que la mera imagen de un Universo con el tiempo
fluyendo hacia atrás es casi imposible de imaginar. Por otro lado, ciertas
consideraciones basadas en la integral de caminos gravitatoria parecen indicar
que justo en el instante en el que la expansión se detiene, la función de onda
del Universo se anula, lo que produciría la desaparición del espacio-tiempo
clásico y toda la materia que contiene.
Por último trataré de estimar cuándo puede suceder este fenómeno
tan sorprendente de frenado y contracción. Para tratar de estimar el tiempo en
el que se producirían cada una de estas fases, utilizaremos un potencial
genérico de la forma:

En la etapa de expansión acelerada, el primer término (positivo)
es el dominante mientras que el segundo es despreciable. El segundo término
(negativo) empieza a dominar sobre el primero en algún punto del futuro.
El menor tiempo posible en la ecuación anterior se producirá cuando
tengamos el mayor valor posible de psi o para el menor valor posible de m y
M. m es
despreciable en el pasado y en la época actual no podemos conocer su valor
experimentalmente, por lo que seleccionáremos un valor razonable y
"natural" entre 0.01 y 1, por ejemplo m=0.1mpl. Vo
y V1 son elegidos de forma que estén de acuerdo con los valores cosmológicos
experimentales. Para realizar cálculos concretos cumpliendo con los límites
experimentales, tomaremos los siguientes valores:




Donde los dos últimos valores son la densidad de energía de la
materia y de la energía oscura (respecto a la densidad de energía crítica)
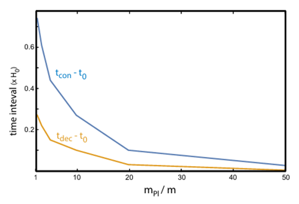
respectivamente. Con estos valores obtenemos la siguiente gráfica:

La línea naranja representa el tiempo que falta para el final de
la expansión (tdec-to) y la línea azul el tiempo que
falta para el inicio de la contracción del Universo (tcon-to).
Para mpl/m= 10, el primer tiempo es de 0.1Ho y el
segundo de 0.27Ho, esto es aproximadamente 1400 millones de años para el
primero. Para mpl/m=50 el primer tiempo es solo de ¡unos
pocos millones de años! Y para valores mayores de mpl/m
obtenemos tiempos incluso más pequeños. Aunque estos tiempos son grandes a
escala humana, son realmente muy pequeños a escalas cosmológicas.
¿Cuál es el escenario más
probable para nuestro Universo?
A priori, el escenario 1 es considerado el más probable debido a
que la constante cosmológica parece ser la solución más "natural" y
sencilla. Sin embargo, nuestras teorías sobre gravedad cuántica, sobre todo la
teoría de cuerdas, están cuestionando seriamente esta solución: el
espacio-tiempo en expansión es inestable y como tal debe decaer a un estado más
estable. Además, las denominadas "Conjeturas Swampland"
están restringiendo seriamente los tipos de inflación posibles hasta el punto
de que la inflación estándar de nuestro modelo cosmológico de consenso está
casi descartada si estas conjeturas son correctas.
La teoría de cuerdas y nuestro conocimiento general sobre gravedad
cuántica indican que la energía oscura tiene que estar dirigida por un campo
escalar (modelos de quintaesencia). De esta forma, los valores de este
campo y su potencial controlarían la expansión del Universo. Si las conjeturas
"Swampland" son correctas, el Universo en
expansión acelerada debe decaer en un tiempo del orden del tiempo de Hubble Ho
(la edad actual del Universo), por lo que la reciente detección de esta
aceleración podría indicar que ¡el proceso ya ha comenzado!
En los próximos años, los satélites Vera Rubin
y Euclid junto con la red de antenas SKA serán
capaces de encontrar evidencias experimentales que demostrarán si la
aceleración del Universo es causada por una constante cosmológica o por un
campo quintaesencia. Los resultados de estos experimentos decidirán el futuro
final de todo lo que existe en nuestro Universo y nosotros, pobres mortales,
seremos capaces de predecir este futuro. No está mal para una especie de
"monos listos".
© 2025 JAVIER DE LUCAS