ESPACIO-TIEMPO
EMERGENTE

Hasta hace muy poco se
pensaba que detectar a baja energía fenómenos derivados de la naturaleza
cuántica del espacio-tiempo era imposible. Sin embargo, en los últimos años la sensibilidad
de los aparatos de medición está alcanzando una precisión asombrosa. Estas
nuevas capacidades tecnológicas junto con el ingenio de los físicos están
permitiendo plantear experimentos factibles para lograr esta proeza. Existen
varios experimentos que podrán ponerse a prueba en muy poco tiempo. En este
artículo estudiaremos dos de ellos: el primero permitiría lograr una
superposición de posiciones diferentes de un objeto con masa y el segundo nada
menos que producir un espacio-tiempo emergente en el laboratorio. Un resultado
positivo en cualquiera de estos experimentos supondría una tremenda revolución
conceptual sobre nuestra forma de entender el Universo a nivel fundamental.
Superposición cuántica de la
posición de objetos masivos
Considerar una partícula
de masa M enfriada a baja temperatura. A continuación disparamos un haz de
estas partículas hasta un dispersor de haz que actúa como un interferómetro de
ondas de materia. De forma similar al experimento de la doble rendija, después
de pasar por el dispersor la partícula se encuentra en una superposición
cuántica de ambos trayectos.

Una vez que la partícula atraviesa el dispersor de haz esta se
encuentra en una superposición de los trayectos "R" y "L"
Como ambos trayectos se
encuentran situados a diferente altitud el potencial gravitatorio asociado a
cada uno de ellos es diferente. La idea general del experimento propuesta
inicialmente por el famoso físico Richard Feynman es la siguiente: durante el
trayecto la masa en superposición interacciona con el campo gravitatorio y si
este tiene una naturaleza cuántica el propio campo gravitatorio se encontrará
en una superposición de estados.
En el esquema anterior la
interacción con el campo gravitatorio se traduce en un desplazamiento de la
fase de la función de onda de la partícula. Sin embargo, este desplazamiento
por sÍ solo no implica necesariamente una naturaleza
cuántica de la gravedad ya que experimentos clásicos con neutrones demuestran
que la gravedad terrestre produce también este cambio de fase. Para demostrar
el carácter cuántico de la gravedad debemos usar dos interferómetros: uno actúa
como fuente y el otro como prueba:

Denominaremos a los dos
sistemas como S1 y S2 y al campo gravitatorio como G. Consideraremos que
inicialmente los tres sistemas S1,S2 y G están
separados y no interaccionan. A continuación consideramos que S1 y S2
interaccionan con G pero de forma separada, es decir, sin una interacción
directa entre S1 y S2. Finalmente realizamos medidas sobre S1 y S2 y
comprobamos si ambos sistemas están entrelazados (por ejemplo comprobando si se
violan las desigualdades de Bell). Si comprobamos que ambos sistemas S1 y S2
están entrelazados entonces este entrelazamiento ha sido producido por
interacción con el campo gravitatorio. La única forma de producir un estado
final no separable (entrelazado) entre S1 y S2 si ambos sistemas no
interaccionan directamente es a través de otro campo que admite la
superposición de dos estados diferentes lo que implica que el campo
gravitatorio tiene una naturaleza cuántica fundamental.
Si este experimento arroja
un resultado positivo entonces la información cuántica puede transmitirse a
través del campo gravitatorio, lo que tendría importantes consecuencias en
diversos campos como el de la paradoja de la información en agujeros negros.
Además esto implica la posibilidad de entrelazar objetos que realizan trayectos diferentes en el
espacio-tiempo.
Materiales holográficos con
espacio-tiempo emergente
El segundo experimento para
tratar de detectar los efectos de la gravedad cuántica se basa en el principio
holográfico. Consideremos un anillo compuesto de un material con un punto
cuántico crítico a baja temperatura. Cerca del punto crítico la dinámica de los
campos que se propagan por el anillo está bien descrita por una CFT (sistema
cuántico de campos conforme). El anillo forma un espacio-tiempo bidimensional
(1 dimensión espacial y 1 temporal) en el que reside un campo escalar que
denominaremos psi. En cierto instante introducimos un corto "flash"
de luz puntual (gaussiana) en el punto sigma=0:

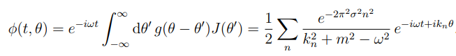
La fuente de luz J(t,sigma) se acoplará al campo
escalar psi(t,sigma) del anillo y las ondas se
dispersarán por el anillo formando los denominados modos de Nambu-Goldstone.
Para asegurar que los campos solo pueden propagarse por el anillo y no por el
espacio interior debemos usar ondas de spin en lugar de ondas
electromagnéticas. Sin embargo, esto no altera la explicación del experimento
que doy a continuación.
Considerando la acción de
estos modos y expandiendo psi(t,sigma)
en modos de Fourier, obtenemos:

Esta sería la imagen de
Fourier de la función de respuesta a la perturbación lumínica. Estas son las
ecuaciones estándar que modelan el experimento. A continuación formulamos una
pregunta que a primera vista parece increíble: ¿Que sucedería si el anillo
fuese un material holográfico y tuviese asociado un espacio-tiempo emergente?
Siguiendo el principio
holográfico, basado en la dualidad AdS/CFT, un
sistema cuántico con simetría conforme (CFT) es equivalente a un espacio-tiempo
con curvatura negativa (AdS) con una dimensión
adicional (la CFT se formula en el borde AdS). En
nuestro caso, la CFT reside en el anillo, que es una superficie de dos
dimensiones; por tanto, la dualidad implicada es AdS3/CFT2. Esto quiere decir
que si el anillo fuese un material holográfico, el espacio-tiempo dual asociado
sería un espacio-tiempo AdS (curvatura negativa) de
tres dimensiones (2 espaciales y 1 temporal) que "emerge" en el
interior del anillo.

La
holografía implica que una CFT que "vive" en el anillo tiene asociado
un espacio-tiempo dual con curvatura negativa denominado "Bulk". Este espacio-tiempo con curvatura negativa se
denomina espacio-tiempo anti-deSitter (AdS). Si este espacio-tiempo dual existiese, las ondas de
luz se propagarían por él y llegarían hasta el observador situado en el otro
extremo del anillo. Este observador podía detectar las huellas distintivas del
nuevo espacio-tiempo curvo emergente
La cuestión clave es:
¿Existe alguna forma de detectar experimentalmente este espacio-tiempo
emergente? La sorprendente respuesta es que sí que existe: si el anillo tiene
asociado un espacio-tiempo tridimensional emergente con curvatura negativa, las
ondas de luz viajarán a través de él y sentirán el efecto lente del
espacio-tiempo curvado, lo que produciría que la luz se focalizara justo en la
zona opuesta del anillo. Este fenómeno implicaría la aparición de una
"copia" de la fuente de luz en el lado opuesto del anillo. Este
fenómeno es similar al fenómeno cosmológico denominado "cruces de Einstein
gravitatorias" en el que la luz de un objeto distante sufre un efecto
lente al atravesar un campo gravitatorio intenso observándose varias copias del
objeto en forma de cruz.

La luz
procedente de un quasar distante experimenta el
"efecto lente" gravitatorio al atravesar un campo gravitatorio muy
intenso. Al llegar a la Tierra observamos varias copias del mismo objeto en
forma de cruz. Este fenómeno es denominado "cruz de Einstein"
Para analizar cómo se
comportaría la luz al recorrer el espacio-tiempo curvo del "bulk" estudiamos los efectos de la luz al atravesar
una lente convexa:

El efecto
del espacio-tiempo con curvatura negativa emergente en el bulk
puede ser estudiado analizando el comportamiento de la luz al atravesar una
lente convexa.
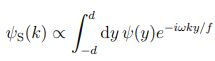
La onda propagada a través
de la lente viene dada por:
![]()
Suponiendo que y/b=k/b <<1 y que kw es del
orden de O(1) obtenemos:

Donde hemos usado la fórmula de las lentes: 1/f=1/a+1/b. Suponiendo finalmente
que a/f>>1 obtenemos:

Si este espacio-tiempo
dual existe, tendremos en el "bulk" un
campo escalar dual al campo del anillo. Siguiendo el diccionario AdS/CFT, la acción de este campo será:

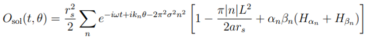
En el caso de baja temperatura la imagen de Fourier de la función de respuesta
será:

Finalmente llegamos al
punto clave del experimento: computando la imagen de Fourier de la función de
respuesta en ambos casos podemos visualizar el espacio-tiempo emergente
asociado al anillo:

La primera fila
corresponde al caso del anillo con espacio-tiempo emergente y la segunda al
caso contrario. En el primer caso todas las zonas del anillo permanecen oscuras
excepto la zona situada a 180º. En el segundo caso las zonas más cercanas a la
fuente son más brillantes mientras que la zona situada a 180º permanece casi
oscura.
En los resultados puede
observarse claramente que en el caso de que el espacio-tiempo dual no exista
(non-SEM en la fila inferior) la zona situada a 180º del anillo permanece
oscura mientras que si este espacio-tiempo existe (AdS
soliton en la fila superior) la luz se focaliza justamente en la zona opuesta situada a 180º de la
fuente.
Un resultado positivo en este experimento sería algo tremendamente impactante:
supondría la primera observación de un espacio-tiempo emergente y la
posibilidad de crear en el laboratorio ¡conjuntos de materia con su propio
espacio-tiempo emergente!
¿Alguien puede imaginar
algún experimento físico más asombroso y trascendente?
© 2023 JAVIER DE LUCAS