ESPACIO-TIEMPO CUANTICO

Nicolás Copérnico inició una Revolución Científica cuando descubrió que no es el Sol el que gira alrededor de la Tierra sino que es esta la que gira alrededor de la estrella. Más tarde, el descubrimiento de las leyes del electromagnetismo de Maxwell produjo otra enorme Revolución Científica: prácticamente toda la tecnología desarrollada por la humanidad se basa en fenómenos electromagnéticos. Después, ya a principios del siglo XX sucedieron dos revoluciones científicas colosales: la Revolución Cuántica y la Revolución Relativista. La primera cambió para siempre nuestra forma de estudiar las partículas y los campos fundamentales y la segunda cambió para siempre nuestra concepción del espacio y el tiempo. A pesar de que ambas teorías constituyen los pilares de la física fundamental, los físicos pronto descubrieron que ambas son incompatibles entre si. Actualmente, bien entrado el siglo XXI, no existe un consenso sobre cuándo sucederá la próxima revolución científica; sin embargo, una gran mayoría de físicos coinciden en que esta próxima revolución vendrá de la mano del denominado "santo grial de la física fundamental": una teoría definitiva del espacio-tiempo cuántico.
En este artículo trataré de esbozar una imagen aproximada del contenido y las consecuencias de esta probable nueva revolución científica. Sin lugar a dudas, esta revolución producirá un cambio de paradigma en la física fundamental que modificará de forma radical nuestra concepción del Universo que habitamos. ¡Bienvenidos a la nueva y fascinante revolución científica!
Gravedad cuántica: el santo grial de la física fundamental
Hasta el año 2000 había dos aproximaciones fundamentales en gravedad cuántica (GC): la formulación covariante y la formulación canónica. La primera está basada en la integral de caminos gravitatoria y derivó en la teoría de cuerdas en 1984 y la segunda, basada en la ecuación de Wheeler-deWitt, derivó en la gravedad cuántica de lazos en 1989:

A partir del año 2000 muchos físicos abandonaron la formulación canónica (esta
es más difícil de tratar en la práctica) y empezaron a trabajar en métodos covariantes aunque aplicando ciertas ideas de la gravedad
cuántica de lazos. Esto condujo a los llamados modelos "spin foam". Estos modelos, aunque prometedores tienen
aún importantes problemas que resolver. Otras aproximaciones que surgieron a
partir del año 2000 están basadas en métodos de la teoría cuántica de campos.
Entre estas aproximaciones destacan la triángulación
dinámica causal, y la gravedad asintóticamente segura.
A pesar de las diferencias entre las diferentes teorías de GC existen conceptos comunes. Estos conceptos comunes podrían ser la clave para encontrar la verdadera teoría de GC de forma que la colaboración entre los diferentes grupos de físicos sería fundamental. Entre estas ideas o conceptos comunes destacan: holografía, relación entrelazamiento- geometría, "background independence", grupo de renormalización-invarianza de escala, causalidad, cambios topológicos y observables.
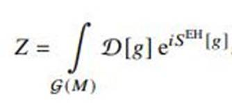
En la aproximación covariante el objeto fundamental es la denominada integral de caminos gravitatoria. Este "objeto" tiene la siguiente forma general:

Esta expresión matemática es el análogo de la integral
de caminos de Feynman usada en teoría cuántica de
campos aplicada a la gravedad y significa sumar todas las contribuciones de
todas las posibles geometrías permitidas y ponderadas por el valor de su
acción. En la aproximación canónica el objeto fundamental es la función de onda
del Universo. Esta función contiene todos las posibles
geometrías-estados del Universo. La clave es que ambas aproximaciones
nos conducen hacia una nueva realidad: una superposición de geometrías.
Hacia un nuevo paradigma en la Física Fundamental
Esta es la nueva visión del espacio-tiempo que nos depara la nueva revolución
científica: nuestro Universo es en realidad una superposición de múltiples
geometrías; esta superposición está descrita por una función de onda Universal
o una integral de caminos gravitatoria según la aproximación de gravedad
cuántica que usemos.
A continuación veremos las posibles consecuencias de
este nuevo cambio de paradigma, estas consecuencias son incluso más radicales
que las que supuso en su momento la relatividad
general o la mecánica cuántica.
La creación del Universo
El comienzo del Universo se corresponde con el estado
de vacío de la función de onda Universal; este estado está definido por la
famosa propuesta de no contorno de Hartle-Hawking.
Este estado de vacío se describe normalmente por una geometría Euclídea. La geometría Euclídea
representa un espacio-tiempo complejo: es una geometría que no contiene ni
energía, ni campos, ni espacio, ni tiempo. Las soluciones a las ecuaciones en
geometría Euclídea se denominan instantones.
Los instantones producen un fenómeno análogo al
efecto túnel cuántico: existe una probabilidad no nula de "saltar"
desde el espacio-tiempo euclideo hasta el
espacio-tiempo clásico (Lorentziano). Este efecto
explicaría la homogeneidad e isotropía del Universo y el estado de baja
entropía inicial. Además explica el problema de la energía total del Universo:
la energía de la masa-energía y la energía gravitatoria se cancelan de forma
que la energía total del Universo es cero.
Una vez se ha producido el "salto" por
efecto túnel cuántico el Universo entra en una fase de crecimiento exponencial
denominada inflación cósmica. En este periodo la fase compleja de la función de
onda oscila muy rápidamente mientras que el módulo apenas varía, esto supone
que las múltiples geometrías posibles interfieren destructivamente y se
cancelan entre si. El resultado de esto es el
nacimiento del espacio-tiempo clásico y la aparición del Big-Bang al final del periodo inflacionario.
Singularidades
Otra de las consecuencias es que a nivel fundamental el propio espacio-tiempo
puede tener una naturaleza compleja. De hecho, los instantones
suponen un proceso de efecto túnel en un espacio-tiempo Euclideo
que surge al permitir que el tiempo tome valores complejos. Utilizando métricas
complejas y realizando un proceso de "complexificación"
del espacio-tiempo podemos evitar las singularidades y conseguir un
espacio-tiempo continuo en todos los puntos del Universo. Si este punto de
vista es correcto, la singularidad inicial es solo un artificio derivado del
sistema de referencia que estamos usando.
También existen trabajos basados en la función de onda del Universo que apuntan a la posibilidad de que debido a efectos de gravedad cuántica el tiempo en el interior de un agujero negro comienza a ralentizarse y nunca alcanza la singularidad.
La nueva visión del tiempo
La función de onda del Universo actúa como una especie de "sistema de referencia global". El tiempo solo puede medirse de forma relacional, es decir, con respecto a otro sistema de referencia. La función de onda global representa ese sistema de referencia. De esta forma el tiempo solo es medible cuando fijamos dos sistemas de referencia.
La función de onda del Universo tiene esta forma general:

Si expandimos la ecuación de Wheeler-DeWitt en potencias de h obtenemos:

Si observamos la primera ecuación podemos descubrir el concepto clave: si la
fase S varía mucho más rápidamente que la amplitud W entonces recuperamos el
comportamiento clásico ya que obtenemos la función hamiltoniana
clásica:

Esta es la clave de porqué el mundo es clásico a escalas mayores que h: el
mundo clásico aparece cuando la fase de la función de onda del Universo varía
mucho más rápido que la amplitud. Cuando este requisito fundamental se
cumple obtenemos que la solución de la función de onda del Universo es:

Si ahora consideramos un subsistema (el sistema solar por ejemplo) con Hamiltoniano H2 cuyo valor es despreciable con respecto al Hamiltoniano total del Universo, entonces la ecuación de Wheeler-DeWitt es ampliada simplemente añadiendo H2 :

Si expandimos de nuevo en potencias de h obtenemos:

Ahora llegamos al punto crucial; si hacemos la siguiente identificación:

Entonces obtenemos la ecuación de Schrodinger con su evolución temporal asociada para el subsistema H2:

¡Hemos obtenido la evolución temporal del subsistema
partiendo de la función del Universo sin evolución temporal asociada! Esto sugiere algo realmente impactante: el tiempo no tiene una existencia
propia e independiente sino que surge cuando se realiza una medida relacional
de dos sistemas diferentes. El tiempo solo surge por la interacción entre dos o
más sistemas.
Entrelazamiento y la nueva visión del espacio
La función de onda del Universo es una superposición
de todas las posibles geometrías 3D permitidas. Existe cierta
evidencia de que el espacio surge a partir del entrelazamiento cuántico entre
diferentes trayectos o geometrías. A nivel fundamental este entrelazamiento
puede estar mediado por un tipo de agujeros de gusano de naturaleza cuántica.
Estos agujeros de gusano conectarían diferentes regiones del espacio-tiempo y
constituirían las "costuras" del espacio-tiempo. Existen incluso proyectos
experimentales para tratar de detectar este "exótico" efecto en el
laboratorio.
Agujeros negros y la paradoja de la información
Aún nadie conoce que sucede realmente en el interior
de un agujero negro. Una posibilidad derivada de esta visión basada en una suma
de geometrías es que el interior del AN sea una geometría Euclidea.
En este caso las soluciones a las ecuaciones de movimiento podrían estar dadas
por instantones. Esto quiere decir que existe una
posibilidad no nula de que una partícula en el interior "salte" hacia
el exterior. En este caso la radiación de Hawking podría estar formada por instantones. Los cálculos indican que en las primeras
etapas del agujero negro, antes del tiempo de Page, la probabilidad de escape
es muy baja; sin embargo, en las últimas etapas esta probabilidad aumentaría y
permitiría recuperar la curva de Page y resolver la paradoja de la información.
Existen varias posibilidades para describir el interior de los agujeros negros según la aproximación de gravedad cuántica que utilicemos:
Teoría de supercuerdas: Fuzzy balls. Estas entidades son esferas compuestas de cuerdas y branas. En estas entidades el interior y el horizonte de sucesos no existen, solo existe un "borde" de material ultradenso y no comprimible con una estructura cuántica compleja que produce la enorme entropía de Bekenstein-Hawking.
Gravedad cuántica de bucles: Rebote y agujeros blancos. En gravedad
cuántica de bucles el espacio-tiempo es discreto y existe una unidad mínima
fundamental de volumen. Cuando se produce el colapso estelar y se alcanza este
valor mínimo se produce un rebote y en algunas ocasiones se forma un
"agujero blanco" donde el tiempo fluye en sentido contrario y por
tanto la materia y la energía son expulsados del agujero.
Gravedad asintóticamente segura: Esta aproximación de gravedad cuántica se basa en la posible existencia de un punto fijo en el flujo de renormalización, es decir, a altas energías el valor de las constantes de acoplamiento permanece finito y por tanto la teoría estaría libre de divergencias. En esta aproximación los agujeros negros tienen dos horizontes de sucesos y generalmente dejan un remanente después de evaporarse. La singularidad central desaparecería debido a que según nos acercamos a la longitud de Planck el acoplamiento gravitatorio disminuye progresivamente de forma que justo en esta escala el acoplamiento sería nulo.
Gravedad cuadrática/gravedad conforme: Power balls. La denominada "gravedad cuadrática" constituye un intento de conseguir que la relatividad general sea renormalizable a altas energías. Para ello se añaden términos de curvatura cuadráticos en la acción de Einstein-Hilbert. Aunque esta aproximación tiene importantes problemas que resolver puede aportar lecciones generales sobre gravedad cuántica. En esta aproximación, bajo ciertas consideraciones, el interior de los agujeros negros está constituido por objetos denominados "power balls".
Estos objetos se componen de tres partes: una parte con geometría Lorentziana, una parte intermedia con geometría compleja y otra parte con geometría Euclidea.

Las tres partes del interior de un agujero negro según la gravedad cuadrática: la primera es una geometría clásica (Lorentziana), la segunda es puramente compleja (geometría con forma espiral en el plano complejo) y la tercera es una geometría Euclidea
Estas diferentes visiones sobre los agujeros negros
ponen de manifiesto que estos fascinantes objetos esconden en su interior la
verdadera naturaleza del espacio-tiempo y que solamente la teoría de gravedad
cuántica definitiva podrá describir los detalles de esta naturaleza.
Multiverso
La función de onda del Universo implica que, de alguna forma, nuestro Universo es una superposición cuántica de muchos Universos posibles. Esta visión es muy similar a la visión de la interpretación de la mecánica cuántica de los muchos mundos de Everett o al denominado Multiverso de nivel III. En esta visión de la mecánica cuántica y del Universo en su conjunto la función de onda nunca colapsa, esta contiene todos los estados posibles pero el observador solo puede medir uno de estos estados. Esta interpretación es completamente equivalente a la formulación "estándar" y estaría mucho más de acuerdo con la visión de la función de onda global del Universo.
Conclusiones
Aunque aún no hemos encontrado la verdadera teoría final de gravedad cuántica, las diferentes aproximaciones existentes permiten vislumbrar ciertas características generales que toda teoría candidata debe cumplir. Aunque estas características que hemos visto son aún especulativas en cierta medida, apuntan claramente hacia una nueva visión del Universo que habitamos. Sin duda, esta nueva realidad será incluso más fascinante y sorprendente que la realidad descubierta por la revolución cuántica y relativista.
© 2025 JAVIER DE LUCAS