DENTRO DE UN AGUJERO NEGRO

¿Cómo podemos
siquiera intentar describir lo que sucede en el interior de un agujero negro? Aunque
parezca increíble, podemos utilizar ciertos aspectos generales de la teoría de
cuerdas para tratar de vislumbrar la estructura interior fundamental de estos
extraños objetos.
En este
artículo nos adentraremos en el interior de los agujeros negros y descubriremos
algunos aspectos de sus "componentes interiores fundamentales". Estos
componentes podrían ser la clave del problema más profundo de la física
fundamental: establecer la naturaleza primordial del propio espacio-tiempo.
Dimensiones compactadas y estados
de Kaluza-Klein
El modelo
estándar de la física de partículas explica todas las fuerzas fundamentales
excepto la gravedad y está basado en los denominados campos gauge. Como vimos
en un artículo anterior, los físicos Teodor Kaluza y Felix Klein (KK)
descubrieron que el campo de fuerza electromagnético surge si compactamos una
dimensión extra en un radio muy pequeño. A primera vista, la posible existencia
de nuevas dimensiones de muy pequeño tamaño puede parecer una idea demasiado
especulativa; sin embargo, como vimos en otro artículo, el concepto de
dimensión no es algo absoluto sino que depende de la energía a la que
analicemos un sistema físico concreto. Una línea recta parece unidimensional a
baja energía, pero si la analizamos de cerca a alta
energía observaremos que en realidad tiene un grosor y por tanto es
bidimensional como un cilindro: de hecho, la existencia en la naturaleza de
objetos puntuales con diámetro cero es inconsistente. La teoría de KK implica
la existencia de una quinta dimensión compactada en un círculo muy pequeño. Al
examinar la dinámica de este espacio-tiempo de cinco dimensiones encontramos
algo muy interesante: para un observador situado en las cuatro dimensiones
macroscópicas, el movimiento de una partícula en la quinta dimensión es
interpretado como la existencia de una carga eléctrica.
Esto implica
algo fascinante: las dimensiones compactas tienen un efecto físico muy concreto
en las dimensiones usuales. La fuerza electromagnética surge por el
acoplamiento del campo gauge U(1) a una partícula
cargada y esto último puede interpretarse como el momento de una partícula en
una dimensión compacta. El modelo estándar se basa en la simetría gauge SU(3)xSU(2)XU(1). La primera simetría
explica la fuerza nuclear fuerte, la segunda la fuerza nuclear débil y la
tercera, como hemos visto, la fuerza electromagnética. La pregunta obvia es entonces : ¿Podemos describir el resto de fuerzas
fundamentales añadiendo nuevas dimensiones compactas? Después de un enorme
esfuerzo teórico para responder a esta pregunta, todos los intentos conducen
hacia una misma teoría: la teoría de supercuerdas (TC). Como esta teoría está
basada en 10 dimensiones y nuestro Universo macroscópico posee 4 dimensiones,
deben existir 6 dimensiones compactadas. La forma de compactar estas 6
dimensiones extra produce diferentes contenidos de cargas y materia y dan lugar
a las distintas clases de teorías de cuerdas.
Los microestados de los agujeros
negros extremos
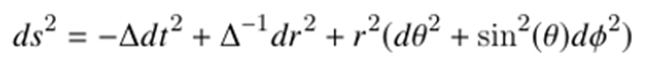
A continuación
consideraremos un agujero negro con carga eléctrica total Q, concretamente un
agujero negro extremo con carga Q=M. Los agujeros negros cargados están
descritos por la métrica de Reissner-Nordström:

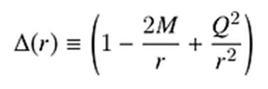
Donde:

El horizonte de sucesos estará posicionado en el valor de r donde la métrica
diverge. Para calcular su posición simplemente hacemos delta=0:

Este agujero negro tiene dos horizontes de sucesos: R+ y R- y podemos ver que
para un determinado valor de la masa M, la posición de los horizontes solo
depende de la carga Q. A nosotros nos interesa el caso concreto en el que
el agujero negro tiene la máxima carga permitida: Q=M; este caso se denomina
agujero negro extremo. En este caso, R+=R-=M, es decir, el agujero negro tiene
solo un horizonte. Además, puede demostrarse fácilmente que en los agujeros
negros extremos la radiación de Hawking es cero y por tanto las cargas Q son
estables.
La fórmula de
la entropía de Bekenstein-Hawking es una expresión universal
que nos dice que la entropía de cualquier agujero negro con cualquier número de
dimensiones es: S=A/4G. Donde A es el área del agujero negro (AN) y G es
la constante de la gravitación de Newton. Esta entropía tiene que ser generada
por un enorme número de microestados que deben de conformar la
estructura cuántica fundamental de estos AN. La pregunta clave que nos hacemos
en este artículo es: ¿Cuál es la naturaleza de ese enorme número de
microestados? Siguiendo el trabajo iniciado por KK y desde el punto de vista de
la utilización de nuevas dimensiones compactas ¿Podemos tratar de entender la
estructura cuántica fundamental de los agujeros negros? Como veremos a
continuación, la respuesta es afirmativa y el camino hacia la respuesta es
fascinante.
Cargas, solitones y estados BPS en
teoría de cuerdas
Antes de continuar
necesitamos explicar brevemente tres "ingredientes" fundamentales de
la teoría de cuerdas que necesitaremos para estudiar los microestados de los
agujeros negros: los denominados estados BPS, los dos tipos de cargas y los
denominados solitones de la teoría de cuerdas.
Los estados BPS
El
acoplamiento g mide la "fuerza" con la que las cuerdas interactúan. El
principal problema al que nos enfrentamos es que al aumentar este parámetro por
encima de cierto valor, la métrica diverge y obtenemos un agujero negro. Sin
embargo, en el caso concreto de AN extremos tenemos un cierto número de estados
muy particulares denominados estados BPS. La principal ventaja de usar estos
estados es que permanecen invariantes al variar g y por tanto su número es el
mismo a bajo acoplamiento y a alto acoplamiento.
Las cargas de la teoría de cuerdas
La fuerza
electromagnética surge cuando una partícula puntual cargada se acopla al campo
de fuerza electromagnético. En la TC no existen las cargas puntuales, la carga
está concentrada en los dos extremos de una cuerda. La fuerza electromagnética
en TC surge cuando una cuerda cargada se acopla al equivalente al campo
electromagnético en TC: el llamado campo de Kalb-Ramond.
Este campo puede ser de dos tipos que dan lugar a los dos tipos de cargas en
TC: las cargas NS (de Neveu-Schwarz) y las
cargas RR (de Ramond). Estas cargas pueden ser
tanto eléctricas como magnéticas. Aunque todo esto pueda parecer muy exótico,
no es más que una generalización del campo electromagnético a un objeto
extendido no puntual. Una cuerda cargada enrollada en una dimensión compactada
es vista desde las dimensiones macroscópicas como una partícula puntual
cargada.
Solitones de la teoría de cuerdas
Por último,
además de los estados usuales correspondientes a las vibraciones de las cuerdas,
existen otro tipo de estados denominados solitones. Estos estados son
soluciones a las ecuaciones de movimiento de baja energía y constituyen
configuraciones estables que portan una unidad fundamental de carga
"magnética" de origen topológico.
El agujero negro extremo de cinco
dimensiones en teoría de cuerdas
A continuación
daremos el salto desde la relatividad general hasta la gravedad cuántica
utilizando nuestra mejor herramienta disponible: la teoría de supercuerdas. En
este artículo, nuestro objeto fundamental a estudiar será un agujero negro
extremo de cinco dimensiones. Esta elección es solamente por
simplicidad, debe de quedar claro que el estudio de un agujero negro de cuatro
dimensiones también puede realizarse siguiendo un proceso equivalente.
Siguiendo la
idea original de Kaluza y Klein, pero con unas
herramientas teóricas mucho más avanzadas, vamos a ver qué sucede al compactar
varias dimensiones. Puesto que la teoría de supercuerdas requiere diez
dimensiones, usaremos entonces cinco dimensiones macroscópicas y cinco
dimensiones microscópicas. El proceso que seguiremos será el siguiente:
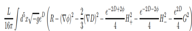
1º)
Compactaremos 4 dimensiones, por ejemplo la 6,7,8 y 9 en una "esfera
4D", más concretamente, en un toro-4D. De forma similar a como en la
teoría de KK obtenemos un nuevo campo al compactar una dimensión extra, al
compactar una 3-esfera obtenemos un nuevo campo que llamaremos H. La acción de
la teoría de cuerdas en 6 dimensiones (obtenida al compactar cuatro) contiene
el siguiente término:

2º) Compactamos
la dimensión 5 en un círculo de radio R mucho mayor que el de las otras 4
dimensiones compactadas. Entonces el término anterior se transforma en:

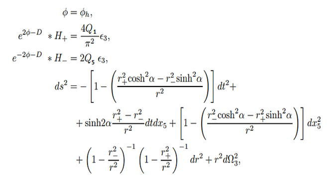
Ahora tenemos
tres campos gauge con simetría U(1): H+, H- y G. H+
se obtiene al compactar la dimensión 5 en un círculo, H- se
obtiene al compactar las dimensiones 6,7,8 y 9 y G es el usual
campo de KK asociado al momento de una partícula (cuerda) en la
dimensión 5. Siguiendo el más puro estilo de KK, ahora nos preguntamos: un
observador situado en las cinco dimensiones macroscópicas ¿Qué cargas observará
emanando de las dimensiones compactas? Nuestro observador macroscópico medirá
tres cargas diferentes: una asociada al campo H+ en la dimensión circular 5,
otra asociada al campo H- en las 4 dimensiones compactadas en un toro 4D y otra
asociada al momento de una cuerda en la dimensión circular 5. Llamaremos a
estas cargas Q1,Q5 y n respectivamente. El valor de
las cargas Q1 y Q5 será proporcional a la superficie compactada de la que
procede el campo de fuerza H. Por tanto tenemos:

El valor de la
última carga será proporcional al campo G que a su vez procede del movimiento
en la dimensión 5:

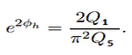
Ahora nos hacemos la siguiente pregunta: ¿Cuál es la entropía de este agujero
negro? Para responder a esta pregunta primero debemos solucionar un
"pequeño" problema: el horizonte del agujero negro es singular y por
tanto no podemos evaluar su superficie para calcular la entropía. Sin embargo,
el valor del parámetro alpha denominado "dilatón", puede ajustarse convenientemente. Existe un
valor determinado de alpha para el cual las fuentes
de Q1 y Q5 se cancelan mutuamente y por tanto se "estabilizan". Este
valor es:

Ajustando el dilatón a este valor conseguimos estabilizar la métrica en
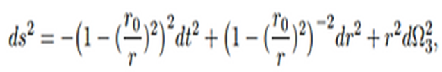
el horizonte y obtenemos la siguiente métrica:

Esta expresión
parece muy compleja e intimidante, pero visto desde las 5 dimensiones
macroscópicas donde x5 es despreciable y tomando el caso de un AN extremo donde
los dos horizontes coinciden, es decir: r+=r-=ro obtenemos
simplemente:

¡Esta es la métrica clásica obtenida por la relatividad general de un AN
extremo de cinco dimensiones! ¡El AN extremo clásico de cinco dimensiones es
una solución de las ecuaciones de baja energía de la teoría de supercuerdas!
El área del
agujero negro es:

Y por tanto la entropía de nuestro agujero negro es:

Como el momento P en la quinta dimensión compactada está cuantizado y vale
P=n/R, tenemos finalmente:

¿Podremos encontrar los microestados fundamentales que generan esta entropía?
Contando los estados fundamentales
del agujero negro
Es ahora
cuando afrontamos la pregunta clave: ¿Qué clase de objetos pueden generar esta
entropía? ¿Podemos identificarlos utilizando la teoría de cuerdas?
Un agujero
negro se produce cuando aumentamos el acoplamiento g por encima de cierto
valor. Por encima de este valor la métrica diverge y no podemos hacer cálculos
concretos. Sin embargo, debido a que los estados BPS no varían cuando
aumentamos el acoplamiento, podemos contarlos a bajo acoplamiento y estar
seguros de que al aumentar g el AN que obtenemos tiene el mismo número de
estados BPS. La pregunta fundamental es: ¿Existe algún tipo de objeto que
produzca estados BPS, que aporte una unidad de carga y que exista a bajo
acoplamiento? En el caso de cargas RR la respuesta es afirmativa: este objeto
se denomina D-Brana. De hecho una D-brana es un solitón similar a un monopolo magnético y por
tanto porta a bajo acoplamiento exactamente una unidad de R carga. Por tanto
el proceso que debemos seguir es el siguiente:
1º) Comenzamos
a bajo acoplamiento con varios estados BPS que contienen R-cargas. El valor
total de estas cargas será Qi. Estos estados pueden
considerarse un estado ligado de varias D-branas.
2º) Aumentamos
el acoplamiento g hasta obtener un agujero negro extremo de cinco dimensiones.
Gracias a la invarianza respecto a g, los estados BPS no cambian y por tanto
tendremos el mismo valor de la carga total Qi.

Llegados a
este punto, la pregunta que nos queda por contestar es: a bajo acoplamiento
¿Cuántos estados BPS tenía nuestra carga inicial Qi? ¡Este
número de estados inicial serán los que produzcan la entropía de nuestro AN
final!
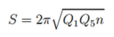
En el apartado
anterior vimos que nuestro agujero negro porta 3 tipos de cargas: Q1,Q5 y n. ¿Qué tipo de objetos pueden generar estas cargas?
¿Cuántos estados BPS contienen a baja energía? Una 5-Dbrana enrollada una vez
sobre las cinco dimensiones compactas porta una carga Q5=1. Una 1-Dbrana
(una cuerda) enrollada una vez sobre la dimensión 5 porta una carga Q1=1.
Las 1-Dbranas están pegadas a la 5-Dbrana pero son libres de moverse por las 4
dimensiones compactadas. Esto produce 4Q1 bosones sin masa: por tanto, esta
configuración porta un número de estados BPS total de 4Q1Q5.
Por último,
una cuerda con momento en la dimensión 5 porta un momento P=n/R. En teoría de
campos, para n mucho mayor que R la entropía en una superficie bidimensional
está dada por la fórmula:

Donde c es una
cantidad que en teoría de campos se denomina carga central. El valor de la
carga central depende de la cantidad de fermiones-bosones. Para 4Q1Q5 bosones
el valor de c es: 6Q1Q5. Por tanto la entropía final que obtenemos es:

¡Esta es
exactamente la entropía de Bekenstein-Hawking de
nuestro agujero negro!

Izquierda: recreación de D-branas enrollando varias dimensiones compactadas y
produciendo las cargas Q5 y Q1. La vibración de estos objetos extendidos
produce los microestados del agujero negro en cinco dimensiones y determinan la
posición del horizonte de sucesos. Derecha: si en lugar de compactar las
dimensiones ocultas en un círculo o en un toro 4D las compactamos formando una
geometría denominada variedad de Calabi-Yau podemos
obtener los campos y las partículas del modelo estándar de la física de
partículas.
Los componentes fundamentales del
espacio-tiempo
En nuestro
agujero negro de cinco dimensiones, la entropía es generada por la vibración de
objetos extendidos penta dimensionales enrollados
alrededor de las dimensiones 5,6,7,8 y 9 y de objetos uni
dimensionales enrollados alrededor de la dimensión 5 (junto con cuerdas con
momento desplazándose en la dimensión 5).
De forma
similar puede calcularse que para un agujero negro más realista de cuatro
dimensiones, la entropía es generada por 6D-branas enrolladas en las
seis dimensiones compactas, 5D-branas enrolladas en 5 dimensiones
compactas y 2D-branas enrolladas en dos de las dimensiones compactas
(junto con cuerdas con momento desplazándose en una dimensión compacta).
Esto nos
muestra algo realmente fascinante: la configuración de objetos extendidos sobre
la geometría de las dimensiones compactas determina los microestados y el
horizonte del agujero negro. Por tanto, un agujero negro, visto desde nuestras
dimensiones macroscópicas, está formado por branas
y cuerdas que vibran a través de las dimensiones ocultas.
¿Hemos
encontrado por fin los componentes fundamentales del espacio-tiempo? Aunque
parezca increíble, nuevos estudios teóricos parecen indicar que una de las
dimensiones ocultas compactas de la teoría de cuerdas debe de estar en la
escala del micrómetro y podría ser detectada en los próximos experimentos en
curso.
© 2024 JAVIER DE LUCAS