PARADOJA DEL INFINITO

uno que posee un volumen finito pero contiene una superficie
infinita.
La trompeta
de Torricelli
El concepto de infinito ha fascinado a Matemáticos, Físicos y
Filósofos desde que fue descubierto por los antiguos griegos. Los Matemáticos
utilizan el concepto de infinito para obtener el valor de magnitudes físicas
reales como si de alguna forma este concepto existiese en la naturaleza. Los
Físicos sostienen que el concepto de infinito es solo una idealización
matemática y que ninguna cantidad infinita tiene sentido en el mundo real. Por
otro lado, los antiguos filósofos creían que el infinito estaba relacionado con
un poder divino y que solo los dioses podían alcanzarlo y cuantificarlo. Desde
este último punto de vista podríamos afirmar que las Matemáticas tienen un
poder "sobrenatural" ya que son capaces de "domar" y
cuantificar cantidades infinitas.
El objeto denominado "trompeta de Torricelli" también conocido como
"cuerno de Gabriel" se construye de forma muy sencilla: primero
dibujamos la función y=1/x:

A continuación tomamos solamente los valores de x mayores o
iguales que 1 y rotamos la función resultante entorno al eje x:

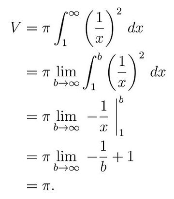
Calcular el volumen de este objeto es muy sencillo: el área bajo
la curva es la integral de la función f(x) y el volumen se obtiene rotando esa
superficie en torno al eje X :

Por tanto, a medida que avanzamos en el eje X el valor del volumen
se acerca más y más a PI y en el límite de x tendiendo a infinito tenemos un
volumen finito: PI
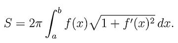
Para calcular el área simplemente giramos la curva en torno al eje
X. Aplicando la fórmula para el área de revolución tenemos:

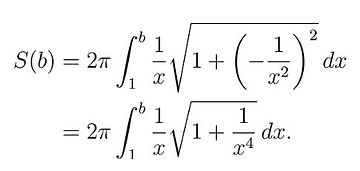
Considerando
que f(x)=1/x y derivando f(x) tenemos:

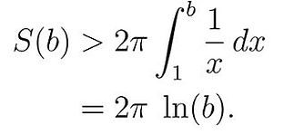
Esta integral es difícil de calcular pero si tenemos en cuenta que la cantidad
dentro de la raíz cuadrada siempre va a ser mayor que uno (ya que x>1)
tenemos que:

Para b tendiendo a infinito este área es
infinito.
La conclusión de estos cálculos es un golpe tremendo a nuestro sentido común: ¡este
objeto tiene un volumen finito encerrado en una superficie infinita!
Esto tendría como consecuencia algo que a todas luces parece
absurdo: podríamos utilizar una cantidad de pintura finita para rellenar el
interior de la trompeta pero necesitaríamos ¡una cantidad de pintura infinita
para pintar su superficie! Podemos imaginar la cara de perplejidad de los
primeros matemáticos que descubrieron esto. ¿Qué demonios está pasando aquí?
¿Podemos
tratar de explicar esto de forma intuitiva?
Convergencia
y divergencia de sumas
La primera pista para entender estos resultados aparentemente sin sentido es
darse cuenta de que el área del objeto es una suma infinita (cuyo espesor tiende
a cero) de discos de radio 1/x mientras que el volumen es una suma infinita de
discos de área 1/x2.

El punto
clave es que mientras que la segunda serie es convergente: suma de los
inversos de los cuadrados la primera serie es
divergente: serie armónica divergente
Sin
embargo podemos preguntarnos ¿Existe una forma más intuitiva de explicar esto?
¿Cómo podemos encontrar una respuesta a la paradoja de un volumen finito dentro
de una superficie infinita?
La
resolución de la paradoja
Para tratar de resolver esta paradoja realizamos el siguiente
experimento: tomamos la trompeta y la situamos verticalmente a modo de copa.
Como el volumen del objeto es PI tomamos un bote de pintura de PI litros y lo
volcamos dentro del interior de la copa:

¿Conseguiremos llenar todo el volumen de la copa? ¿Hemos conseguido pintar el
interior de la superficie de la copa? Si la superficie es infinita, ¿no
necesitaríamos una cantidad infinita de pintura? Esto parece una contradicción
prácticamente imposible de resolver.
Para
tratar de entender que está sucediendo primero analizaremos la superficie de la
copa.
La Superficie infinita de la "Trompeta de
Torricelli"
A medida que avanzamos en el eje X, esta suma aumenta sin límite.
Por tanto, para poder pintar el fondo infinitamente decreciente necesitamos que
el espesor de la pintura vaya decreciendo al mismo ritmo que decrece el radio,
es decir, a un ritmo 1/x. Para x tendiendo a infinito necesitamos que la
pintura tenga un espesor infinitamente pequeño. Esto quiere decir que
para poder pintar la superficie necesitamos coger nuestro bote de PI litros de
volumen y empezar a sacar de él láminas de pintura de espesor más y más pequeño
de forma que este tienda a cero. Este proceso es infinito por lo que seguiremos
sacando láminas eternamente. Esto significa que aunque nuestro material tenga
un volumen finito necesitamos que esté compuesto por un número
de láminas infinito, es decir, por un área infinito. Esto sería como
intentar pelar una cebolla cuya piel tiene un espesor que se va reduciendo de
forma continua acercándose a cero pero sin nunca alcanzarlo: aunque la cebolla
tiene un volumen finito, su superficie no acaba nunca, es infinita.
Pelar
esta cebolla costaría un tiempo infinito.
Por supuesto esto en el mundo físico real es imposible, ningún
material es infinitamente indivisible. Esta es la solución a la aparente
paradoja: para pintar la superficie de la trompeta no necesitamos una cantidad
infinita de pintura sino un material infinitamente compresible y que se
extienda a una velocidad infinita, algo imposible físicamente. De hecho, si
existiese un material así y este se
comprimiese a un ritmo 1/x, podríamos pintar toda la
superficie interior de la trompeta.
En resumen: No es posible pintar toda la superficie de la trompeta
ya que siempre habrá en el fondo un trozo al que el espesor finito de las
moléculas de pintura (o de cualquier material físico) no puede acceder. Pero
entonces, ¿Cómo es posible que esta superficie encierre un volumen finito?

Volumen finito de la "Trompeta
de Torricelli"
A medida
que avanzamos en el eje X el valor del eje Y se hace más y más pequeño, de
hecho, el eje X aumenta en la misma proporción que disminuye el eje Y ya que
y=1/x. Esto es, estamos comprimiendo una dimensión en la misma proporción
que expandimos otra.
Es ahora
cuando descubrimos uno de los secretos "mágicos" del infinito.
Consideremos un rectángulo de altura "a" y de ancho "1/a":

El área del rectángulo es obviamente la unidad. A continuación
reducimos el ancho y aumentamos la altura en la misma cantidad "a".
El área de la figura seguirá siendo la unidad. Si continuamos con el proceso
reduciendo la dimensión X y aumentando la dimensión Y hasta el infinito
entonces tendremos una "línea" de longitud infinita asociada a un
"área" finita. ¡El aumento de una dimensión se compensa por la
disminución de la otra dimensión! ¡De esta forma se consigue "domar el
infinito"!

Esto es exactamente lo que sucede con nuestra trompeta de
geometría hiperbólica. Si nos fijamos en el área interior (no confundir
con el área exterior infinito) antes de girarlo en
torno al eje X obtenemos lo siguiente:

El área
de los rectángulos marcados en rojo es siempre la unidad aunque el valor de x
tienda a infinito. Por tanto el área bajo la curva permanece finita y al girar
dicho área en torno al eje X ¡obtenemos un volumen finito!
Geometrías
no Euclideas y el final de la geometría de los
objetos cotidianos
La geometría de todos los objetos comunes que vemos en nuestro día
a día está basada en objetos que "residen" sobre superficies planas
(geometría Euclidea). En esta geometría dos líneas
paralelas nunca se tocan y la suma de los ángulos de cualquier triángulo suma
180º. Sin embargo esto no se cumple en geometrías curvas como la superficie de
la Tierra o las geometrías hiperbólicas. Las geometrías hiperbólicas como la de
la trompeta de Torricelli tienen curvatura negativa y poseen características
altamente contraintuitivas: las líneas
"rectas" paralelas no se mantienen a una distancia constante sino que
se abren continuamente "hacia afuera" y los ángulos de un triángulo
suman menos de 180º. Otra propiedad característica es que no es posible cubrir
toda la superficie con una superficie plana usual (Euclidea)
sino que necesitamos una superficie curva. Por ejemplo, si queremos cubrir
totalmente y sin solapar la superficie de la trompeta con triángulos no podemos
usar triángulos planos sino triángulos "curvos" cuyos ángulos suman
menos de 180º.

¡Esta es la
explicación geométrica del área infinita de la trompeta de Torricelli! Las
Matemáticas nos están indicando que no podemos incluir toda su área en una
superficie bidimensional Euclidea.
Para concluir hay que señalar la fascinante relación entre el
infinito, los espacios hiperbólicos o Anti-deSitter y
la simetría conforme. Los espacios hiperbólicos poseen una simetría denominada
simetría conforme en la que la geometría no varía si cambiamos la escala (esto
es similar a lo que ocurre en los fractales). Como consecuencia a esta invarianza de escala las coordenadas y las distancias
pierden su significado y el concepto de infinito adquiere un significado
especial: puntos que antes estaban a infinita distancia pasan a estar a una
distancia finita después de un cambio de escala. En un espacio-tiempo con
curvatura negativa un rayo de luz puede recorrer una distancia infinita en un
tiempo finito. Sin duda el concepto de infinito es fascinante y solo el poder
de la Física moderna y las Matemáticas pueden acceder a sus secretos más
profundos.
2023 JAVIER DE LUCAS