PODER

La ciencia, entendida en su concepto más amplio como la suma de
todo el conocimiento humano con respecto a los fenómenos naturales, es el
resultado de muchos siglos de exploración del mundo que nos rodea. Este
conocimiento, producto de nuestro extraordinario cerebro, es el que ha
permitido al ser humano diferenciarse del resto de animales y es el que ha
permitido la transformación física, mental y tecnológica de nuestra especie
desde las primeras razas de homínidos hasta el ser humano actual. Sin este
conocimiento, probablemente solo seríamos una especie de "monos
listos" y viviríamos prácticamente como el resto de animales. Desde este
punto de vista, este conocimiento es la esencia del ser humano.
De entre todas las ciencias, existe una disciplina especial, una
que no depende de los sesgos, preferencias o creencias del ser humano, una cuyo
poder destaca sobre el resto de actividades humanas.
En este artículo explicaré por qué esta disciplina es tan especial y por qué
puede considerarse "El poder más grande de la ciencia" o también
"La madre de todas las ciencias".
El verdadero poder de la
ciencia y del ingenio humano
21 de Junio del año 236 antes de Cristo, Alejandría, Egipto. Un
grupo de filósofos discuten sobre si las leyes naturales podrán ser algún día
comprendidas por el hombre, dadas sus limitadas capacidades. Después de horas
de largas divagaciones, un ciudadano llamado Eratóstenes coge un palo se
levanta y exclama "Con este palo soy capaz de medir el tamaño de la
Tierra". Los demás participantes le miran perplejos y comienzan a reír
pensando que es solo una broma para relajar a los asistentes. A continuación,
Eratóstenes mira hacia el Sol y comprueba que está en lo más alto del cielo. A
continuación clava el palo en la tierra y mide el ángulo de la sombra que
proyecta: el ángulo es de 7,2º. Entonces comienza a hacer un par de cálculos
sencillos y concluye: “El radio de la Tierra es de 6366,18 Km”. Los demás le
miran como si todo esto fuera una especie de broma absurda. Desde luego, si
esto no es una broma parece algo “sobrenatural” ¿Cómo una sola persona con un
palo puede medir el tamaño de un cuerpo tan inmenso como el planeta Tierra?
Entonces Eratóstenes da la siguiente explicación a su perpleja
audiencia: "Antes de la reunión había oído que en la ciudad de Siena
(actual Asuán, Egipto) al sur de Alejandría, el día del solsticio de verano (el
21 de Junio) los objetos no proyectan ninguna sombra cuando el Sol está en el
cenit. Esto quiere decir que en esa localidad, en ese día y a esa hora los
rayos del Sol inciden sobre la Tierra con una inclinación de 90º. Por tanto,
cualquier persona que a esa misma hora se encuentre a una cierta distancia de
ese lugar vería que el Sol no está exactamente a 90º y por tanto los objetos
proyectarían una sombra. Midiendo el ángulo de esta sombra respecto de la
vertical se obtendría ¡El ángulo entre los rayos del Sol y el eje de la Tierra
en ese sitio! :

En la
localidad de Siena, en el solsticio, los rayos de luz inciden
perpendicularmente. Esto quiere decir que el ángulo entre los rayos y la línea
que conecta el palo con el centro de la Tierra es de 0º. En Alejandría, a esa
misma hora ese ángulo es de 7,2º.
Eratóstenes también había oído a los comerciantes locales que la
distancia entre Alejandría y Siena era aproximadamente de 5000 estadios, es
decir 800 Km.

Es fácil
darse cuenta de que el ángulo alpha (los 7,2º medidos
por Eratóstenes) coincide con el ángulo del triángulo que une el centro de la
Tierra y los puntos A y S (las localidades de Alejandría y Siena) ya que ambos
triángulos son semejantes. Con estos datos es muy fácil calcular el perímetro
total de la Tierra y su radio.
Con el ángulo y uno de los lados del triángulo (para pequeñas
distancias el lado de la superficie es aproximadamente una recta) es muy fácil
calcular la circunferencia total de la Tierra: si 7,2º corresponden a 800Kms,
360º serán C. Entonces por una simple regla de tres tenemos: C=360x800/7,2=
40.000Kms. Sabiendo que la circunferencia es 2pr tenemos que el radio de la
Tierra es: r=C/2p= 40.000/2p= 6366,18Kms
Entonces se hizo un silencio… y las caras se tornaron en una
mezcla de asombro, admiración y perplejidad.
Si en esa fecha tan remota Eratóstenes hubiera conocido la ley de
la gravedad de Newton y el valor de la constante de la gravitación universal,
pudiera haberse levantado de nuevo con un péndulo y haber exclamado: “Ahora voy
a medir la masa de la Tierra, como no tengo una báscula gigante utilizaré
solamente un péndulo”. A continuación mide la longitud de la cuerda y pone el
péndulo a oscilar, mide el tiempo que tarda en ir y volver y anota el
resultado. A continuación exclama: "sabiendo que el periodo de un péndulo
es simplemente":

“Concluyo que la aceleración del campo gravitatorio terrestre g es
de 9.8m/s2. Siguiendo la ley de Newton de la aceleración
gravitatoria":

"La masa de la Tierra es de 5,972x1024 Kg" . Y Eratóstenes concluiría: "Esta es la masa de
todo el planeta Tierra incluidas todas las rocas, plantas y animales que
contiene". Imaginar la cara de sus compañeros.
Siguiendo cálculos similares podemos obtener la edad de la Tierra
(midiendo la cantidad de ciertos isótopos radiactivos en las rocas más
antiguas), la composición del Sol (midiendo el espectro de la luz), la cantidad
de dióxido de carbono del aire de la Tierra en la época de los dinosaurios
(midiendo la cantidad de CO2 en burbujas de aire congeladas bajo el
hielo), etc, etc.
La conclusión que podemos obtener de estos ejemplos es que el hombre
no solo es capaz de entender los fenómenos naturales sino que es capaz de
cuantificarlos, predecirlos y utilizarlos en su beneficio. En todas estas
medidas "sobrenaturales" hay un patrón que se repite: una observación
sobre un fenómeno de la naturaleza, una medida experimental y un cálculo
Matemático. Es en este último paso es en donde reside el verdadero poder de la
ciencia: las matemáticas no son solo una herramienta para hacer cálculos, es
una disciplina que nos permite detectar y cuantificar relaciones entre
diferentes magnitudes de fenómenos naturales. A menudo, estas relaciones son
tan insospechadas que son imposibles de detectar sin las Matemáticas.
PD: La
historia narrada en este apartado es ficticia, sin embargo, como es ampliamente
conocido, los hechos en los que se basa son reales: Eratóstenes fue capaz de
medir con una precisión increíble para su época el radio de la Tierra solamente
con la ayuda de un palo.
Matemáticas
y física modernas: al filo de lo imposible
El cálculo de Eratóstenes tenía un error de aproximadamente 5 Kms (una precisión impresionante para la época). En la
actualidad las Matemáticas, la Física y la tecnología nos permiten lograr un
nivel de precisión en las medidas que parece a todas luces imposible de
conseguir. Por ejemplo, con un interferómetro láser podemos lograr precisiones
que parecen sacadas de una película de ciencia ficción:

La luz emitida por un láser pasa a través de un divisor de haz que
refleja parte de la luz y deja pasar otra parte. La onda de luz toma entonces
dos caminos diferentes hasta que vuelve a recombinarse al final del camino.
Entonces ambas ondas de luz interfieren de forma que si ambos trayectos son
idénticos la forma de la onda de la luz será idéntica y la luz interfiere de
forma constructiva (los valles y los picos coinciden), pero si en uno de los
trayectos ha tenido lugar cualquier pequeña perturbación (por ejemplo una onda
gravitatoria) entonces, al recombinarse, la onda ya no será idéntica, lo que
creará un patrón de interferencia característico.
Actualmente el experimento LIGO con un interferómetro similar ha
sido capaz de detectar ondas gravitacionales procedentes de la fusión de
estrellas de neutrones y agujeros negros lejanos. Estos experimentos pueden
detectar un cambio de longitud de una milésima parte del diámetro de un protón
en la longitud de los brazos del interferómetro. Para hacerse una idea de lo
que significa esta magnitud, hay que considerar que el diámetro del protón es
de 1,7×10-15 m y los brazos del interferómetro miden unos 4 Kms, por lo que esta sensibilidad sería equivalente a
detectar una mosca en una distancia entre la Tierra y la estrella Alfa Centauri.
Por supuesto esto es un logro que es solo posible gracias a la
Matemática ¿Cómo si no iba a ser posible siquiera concebir algo así?
Matemática: un poder
"sobrenatural"
Como expliqué antes, la Matemática nos permite encontrar y
cuantificar relaciones entre magnitudes físicas. Sin embargo, esta disciplina es
mucho más que eso, de hecho es imposible describir los fenómenos naturales sin
ella. Por ejemplo, ¿Qué es un electrón? Es imposible describir o explicar el
comportamiento de esta entidad fundamental sin Matemáticas y teniendo en cuenta
que esta entidad física forma parte de toda la materia que existe en el
Universo, es justo decir que no podemos explicar la materia sin Matemáticas. Lo
mismo podemos afirmar respecto al resto de entidades fundamentales como la luz,
los protones y neutrones, los mismos átomos, etc.
Pero el poder de la Matemática va todavía mucho más lejos: no solo
nos permite describir, explicar y cuantificar las leyes de naturaleza, además
nos permite predecir y postular la existencia de nuevas leyes y nuevos
fenómenos naturales que nadie ha observado. Por ejemplo, el gran físico teórico
Stephen Hawking descubrió usando solamente un papel y un lápiz que los agujeros
negros tienen que emitir radiación: la radiación de Hawking. ¿Cómo un ser
humano desde el salón de su casa puede lograr algo así? Nadie jamás ha detectado
esta radiación: sin embargo, basándonos en leyes de teorías físicas ampliamente
demostradas como la termodinámica, la relatividad y la teoría cuántica de
campos, se puede predecir la existencia de la radiación de Hawking.
Pero podemos ir incluso más allá :
No solo podemos predecir la existencia de nuevos fenómenos sino
que podemos describir cualquier Universo físicamente posible, cualquier
geometría o espacio-tiempo permitido por las leyes de la física conocidas o por
cualquier ley física consistente. Podemos describir Universos con más de cuatro
dimensiones, multiversos, agujeros negros en
evaporación, agujeros de gusano, geometrías entrelazadas... Por supuesto muchas
de estas "entidades Matemáticas" existirán solamente en el mundo
abstracto de las ideas; sin embargo, y esto es lo más importante: muchas de
estas entidades aparentemente exóticas y especulativas existirán en nuestro
Universo real. El reto más grande actualmente es encontrar las
"huellas" de estas entidades físicas que puedan ser detectadas
experimentalmente.
Para finalizar visualizaremos algunas de las leyes más profundas y
fundamentales del Universo que habitamos. Estas leyes solo pueden ser escritas
en el lenguaje que usa la naturaleza a nivel fundamental y solo pueden ser
comprendidas por aquellos que entiendan este lenguaje

Para modificar p necesitas F... pero la cantidad de p en un sistema
aislado es constante... solo puedes aumentar p en un sistema a costa de
disminuirlo en otro...

Las masas se atraen... cuanto más cerca mejor...

La ley de la mínima S... una simple pero
profunda ley de la naturaleza de la cual se puede derivar gran parte de la
física...

El espacio-tiempo tiene 4 dimensiones y se curva...

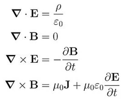
Cuatro leyes para explicar prácticamente toda la tecnología que
existe...

No intentes "ordenar" el sistema, el "desorden"
total siempre aumenta...
![]()
La masa y la energía son la misma cosa...

Hasta los objetos más oscuros concebibles emiten radiación...

Una onda oscilante que porta toda la información que es posible
medir...

No puedes medir q o p de forma individual... ambas parecen ser parte
de la misma entidad...

No puedes tomar solo uno, tienes que tomar todos los caminos
posibles...

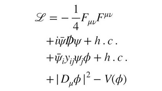
Todo lo que sabemos sobre el mundo de las partículas fundamentales
está aquí...
Y las dos últimas, la primera de carácter teórico, la segunda aún
especulativa pero ambas de gran profundidad y belleza:

La energía total del Universo es cero...

¿Conoces a SUSY? Las partículas de la materia y las de las
interacciones fundamentales forman parte de la misma entidad fundamental...
© 2025 JAVIER DE LUCAS