PODER MATEMATICO

Las
Matemáticas nos permiten ir mucho más allá de lo que nuestros sentidos (creados
para detectar fenómenos cotidianos) nos permiten estudiar. De hecho, para
estudiar las propiedades más fundamentales del mundo que habitamos no podemos
usar simplemente herramientas basadas en nuestra experiencia sensorial, debemos
usar el lenguaje en el que están escritas las leyes fundamentales: el lenguaje
de las Matemáticas.
En ocasiones las
Matemáticas nos revelan la existencia de objetos cuyas propiedades chocan de forma
frontal con nuestro sentido común. En este artículo estudiaremos uno de estos
objetos: uno que posee un volumen finito pero contiene una superficie infinita.
La trompeta de Torricelli
El concepto
de infinito ha fascinado a matemáticos, físicos y filósofos desde que fue
descubierto por los antiguos griegos. Los Matemáticos utilizan el concepto de
infinito para obtener el valor de magnitudes físicas reales como si de alguna
forma este concepto existiese en la naturaleza. Los Físicos sostienen que el concepto
de infinito es solo una idealización matemática y que ninguna cantidad infinita
tiene sentido en el mundo real. Por otro lado, los antiguos filósofos creían
que el infinito estaba relacionado con un poder divino y que solo los dioses
podían alcanzarlo y cuantificarlo. Desde este último punto de vista podríamos
afirmar que las Matemáticas tienen un poder "sobrenatural" ya que son
capaces de "domar" y cuantificar cantidades infinitas.
El objeto denominado "trompeta de Torricelli" también conocido como
"cuerno de Gabriel" se construye de forma muy sencilla: primero
dibujamos la función y=1/x:

A
continuación tomamos solamente los valores de x mayores o iguales que 1 y
rotamos la función resultante entorno al eje x:

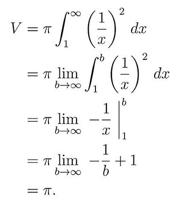
Calcular
el volumen de este objeto es muy sencillo: el área bajo la curva es la integral
de la función f(x) y el volumen se obtiene rotando esa superficie en torno al
eje X :

Por tanto,
a medida que avanzamos en el eje X el valor del volumen se acerca más y más a
PI y en el límite de x tendiendo a infinito tenemos un volumen finito: PI
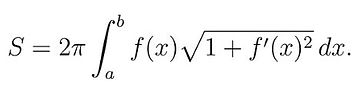
Para
calcular el área simplemente giramos la curva en torno al eje X. Aplicando la
fórmula para el área de revolución tenemos:

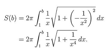
Considerando que f(x)=1/x
y derivando f(x) tenemos:

Esta integral es difícil de calcular pero si tenemos en cuenta que la cantidad
dentro de la raíz cuadrada siempre va a ser mayor que uno (ya que x>1)
tenemos que:

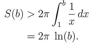
Para b tendiendo a infinito este área es
infinito.
La conclusión de estos cálculos es un golpe tremendo a nuestro sentido común: ¡este
objeto tiene un volumen finito encerrado en una superficie infinita!
Esto
tendría como consecuencia algo que a todas luces parece absurdo: podríamos
utilizar una cantidad de pintura finita para rellenar el interior de la
trompeta pero necesitaríamos ¡una cantidad de pintura infinita para pintar su
superficie! Podemos imaginar la cara de perplejidad de los primeros matemáticos
que descubrieron esto. ¿Qué demonios está pasando aquí? ¿Podemos tratar de
explicar esto de forma intuitiva?
Convergencia y divergencia
de sumas
La primera pista para entender estos resultados aparentemente sin sentido es
darse cuenta de que el área del objeto es una suma infinita (cuyo espesor
tiende a cero) de discos de radio 1/x mientras que el volumen es una suma
infinita de discos de área 1/x2.

El punto clave es que
mientras que la segunda serie es convergente: suma de los inversos de los cuadrados la primera serie es
divergente: serie
armónica divergente
Sin embargo podemos
preguntarnos ¿Existe una forma más intuitiva de explicar esto? ¿Cómo podemos
encontrar una respuesta a la paradoja de un volumen finito dentro de una
superficie infinita?
La resolución de la paradoja
Para
tratar de resolver esta paradoja realizamos el siguiente experimento: tomamos
la trompeta y la situamos verticalmente a modo de copa. Como el volumen del
objeto es PI tomamos un bote de pintura de PI litros y lo volcamos dentro del
interior de la copa:

¿Conseguiremos llenar todo el volumen de la copa? ¿Hemos conseguido pintar el
interior de la superficie de la copa? Si la superficie es infinita, ¿no
necesitaríamos una cantidad infinita de pintura? Esto parece una contradicción
prácticamente imposible de resolver. Para tratar de entender que está
sucediendo primero analizaremos la superficie de la copa.
La Superficie infinita de la "Trompeta de Torricelli"
A medida
que avanzamos en el eje X, esta suma aumenta sin límite. Por tanto, para poder
pintar el fondo infinitamente decreciente necesitamos que el espesor de la
pintura vaya decreciendo al mismo ritmo que decrece el radio, es decir, a un
ritmo 1/x. Para x tendiendo a infinito necesitamos que la pintura tenga un
espesor infinitamente pequeño. Esto quiere decir que para poder pintar
la superficie necesitamos coger nuestro bote de PI litros de volumen y empezar
a sacar de él láminas de pintura de espesor más y más pequeño de forma que este
tienda a cero. Este proceso es infinito por lo que seguiremos sacando láminas
eternamente. Esto significa que aunque nuestro material tenga un volumen
finito necesitamos que esté compuesto por un número de láminas
infinito, es decir, por un área infinito. Esto sería como intentar
pelar una cebolla cuya piel tiene un espesor que se va reduciendo de forma
continua acercándose a cero pero sin nunca alcanzarlo: aunque la cebolla tiene
un volumen finito,, su superficie no acaba nunca, es
infinita. Pelar esta cebolla costaría un tiempo infinito.
Por
supuesto esto en el mundo físico real es imposible, ningún material es
infinitamente indivisible. Esta es la solución a la aparente paradoja: para
pintar la superficie de la trompeta no necesitamos una cantidad infinita de
pintura sino un material infinitamente compresible y que se extienda a una
velocidad infinita, algo imposible físicamente. De hecho, si existiese un
material así y este se comprimiese a un ritmo 1/x, podríamos pintar
toda la superficie interior de la trompeta.
En
resumen: No es posible pintar toda la superficie de la trompeta ya que siempre
habrá en el fondo un trozo al que el espesor finito de las moléculas de pintura
(o de cualquier material físico) no puede acceder. Pero entonces, ¿Cómo es
posible que esta superficie encierre un volumen finito?

Volumen finito de la "Trompeta de Torricelli"
A medida que avanzamos en
el eje X el valor del eje Y se hace más y más pequeño, de hecho, el eje X
aumenta en la misma proporción que disminuye el eje Y ya que y=1/x. Esto es, estamos
comprimiendo una dimensión en la misma proporción que expandimos otra.
Es ahora cuando
descubrimos uno de los secretos "mágicos" del infinito. Consideremos
un rectángulo de altura "a" y de ancho "1/a":

El área
del rectángulo es obviamente la unidad. A continuación reducimos el ancho y
aumentamos la altura en la misma cantidad "a". El área de la figura
seguirá siendo la unidad. Si continuamos con el proceso reduciendo la dimensión
X y aumentando la dimensión Y hasta el infinito entonces tendremos una
"línea" de longitud infinita asociada a un "área" finita.
¡El aumento de una dimensión se compensa por la disminución de la otra
dimensión! ¡De esta forma se consigue "domar el infinito"!

Esto es
exactamente lo que sucede con nuestra trompeta de geometría hiperbólica. Si nos
fijamos en el área interior (no confundir con el área exterior infinito) antes de girarlo en torno al eje X obtenemos lo
siguiente:

El área de los rectángulos
marcados en rojo es siempre la unidad aunque el valor de x tienda a infinito.
Por tanto el área bajo la curva permanece finita y al girar dicho área en torno
al eje X ¡obtenemos un volumen finito!
Geometrías no Euclideas y el final de la geometría de los objetos
cotidianos
La
geometría de todos los objetos comunes que vemos en nuestro día a día está
basada en objetos que "residen" sobre superficies planas (geometría Euclidea). En esta geometría dos líneas paralelas nunca se
tocan y la suma de los ángulos de cualquier triángulo suma 180º. Sin embargo
esto no se cumple en geometrías curvas como la superficie de la Tierra o las
geometrías hiperbólicas. Las geometrías hiperbólicas como la de la trompeta de
Torricelli tienen curvatura negativa y poseen características altamente contraintuitivas: las líneas "rectas" paralelas
no se mantienen a una distancia constante sino que se abren continuamente
"hacia afuera" y los ángulos de un triángulo suman menos de 180º.
Otra propiedad característica es que no es posible cubrir toda la superficie
con una superficie plana usual (Euclidea) sino que
necesitamos una superficie curva. Por ejemplo, si queremos cubrir totalmente y
sin solapar la superficie de la trompeta con triángulos no podemos usar
triángulos planos sino triángulos "curvos" cuyos ángulos suman menos
de 180º.

¡Esta es la explicación
geométrica del área infinita de la trompeta de Torricelli! Las Matemáticas nos
están indicando que no podemos incluir todo su área en
una superficie bidimensional Euclidea.
Para
concluir hay que señalar la fascinante relación entre el infinito, los espacios
hiperbólicos o Anti-deSitter y la simetría conforme.
Los espacios hiperbólicos poseen una simetría denominada simetría conforme en
la que la geometría no varía si cambiamos la escala (esto es similar a lo que
ocurre en los fractales). Como consecuencia a esta invarianza
de escala las coordenadas y las distancias pierden su significado y el concepto
de infinito adquiere un significado especial: puntos que antes estaban a
infinita distancia pasan a estar a una distancia finita después de un cambio de
escala. En un espacio-tiempo con curvatura negativa un rayo de luz puede
recorrer una distancia infinita en un tiempo finito.
Sin duda
el concepto de infinito es fascinante y solo el poder de la Física moderna y
las Matemáticas pueden acceder a sus secretos más profundos.
© 2023 JAVIER DE LUCAS