REDUCCION
DIMENSIONAL

El
gran Albert Einstein se imaginó a sí mismo "cabalgando a lomos de un rayo
de luz". Einstein se dio cuenta de que viajando a la velocidad de la luz
las leyes del electromagnetismo mostraban una incómoda asimetría. Según explicó
años más tarde, este es uno de los experimentos mentales que le llevó a
descubrir la teoría de la relatividad. Más de un siglo después, una versión
moderna de este experimento mental parece asomarse desde lo más profundo de las
"costuras" del espacio-tiempo. Recientemente los físicos teóricos han
encontrado un fenómeno que parece repetirse en muchas de las teorías candidatas
a describir la gravedad cuántica: teoría de cuerdas, gravedad cuántica de
lazos, dinámica de triángulos causales, gravedad cuántica asintóticamente
segura, modelos de espuma cuántica...
Este
fenómeno se denomina "silencio asintótico" por su similitud a
lo que se cree que sucede muy cerca de una singularidad cósmica: como si
viajásemos a "lomos de un rayo de luz", los conos de luz asociados a
nuestra trayectoria se comprimen tanto que se convierten en una línea recta y
los puntos adyacentes del espacio se desconectan causalmente de forma que no
pueden "oírse" unos a otros. Este fenómeno implica el final del
espacio-tiempo clásico que conocemos. En este artículo explicaré cómo surge
este fenómeno en nuestras aproximaciones modernas de gravedad cuántica y como
de confirmarse supondría el descubrimiento de una propiedad cuántica
fundamental del espacio-tiempo.
El
concepto de dimensión del espacio-tiempo
Si
estuviésemos en un planeta extraño cuya geometría es desconocida, ¿Cómo
podríamos determinar experimentalmente su dimensión espacial?
Una
opción sería dibujar una línea recta en su superficie, luego trazar otra línea
perpendicular a ella y repetir este proceso. Si solo podemos trazar 3 líneas
perpendiculares el espacio es tridimensional. Sin embargo, esto solo es válido
en geometrías planas o Euclideas; si el espacio está curvado este método no es
válido y tendríamos que usar geodésicas. ¿Podemos encontrar una definición más
general?
En
teoría de cuerdas, por ejemplo, la escala natural es la escala de Planck. A esta
energía las cuerdas "sienten" dimensiones adicionales. Esto nos
indica que en gravedad cuántica el concepto de dimensión es aún más difuso si
cabe. Por esto necesitamos "marcadores" adecuados que nos permitan
estimar la dimensión de un sistema cuántico en función de las variables u
observables que utilicemos en cada caso. Algunos de los "marcadores"
más utilizados en física fundamental son los siguientes:
Dimensión
de Hausdorff o Dimensión Fractal: Se calcula rellenando el espacio-tiempo de dimensión
desconocida con bolas de radio R. Midiendo como evoluciona el volumen V de
estas bolas a medida que variamos la escala de energía del sistema puede
determinarse la dimensión del espacio-tiempo a través de la fórmula V=rD donde r es el radio de la bola y D la dimensión
del espacio (por ejemplo, en un espacio tridimensional el volumen escala como
el cubo del radio).
Dimensión
espectral: Para estimar la dimensión de un
espacio-tiempo podemos definir un proceso de difusión aleatoria ("random
walks"). En este proceso se mide el tiempo que se tarda en realizar un
camino cerrado aleatorio en el espacio-tiempo. La idea central es que cuanto
mayor sea la dimensión del espacio-tiempo más grados de libertad afectará a
este proceso y más tiempo tardará en realizarse el trayecto.
Dimensión
termodinámica: Ciertas magnitudes termodinámicas
como la energía libre o la energía interna de un sistema dependen directamente
de la dimensión del espacio-tiempo. Midiendo como evolucionan estas magnitudes
podemos estimar la dimensión del espacio-tiempo.
Funciones
de Green: Ehrenfest demostró que el
potencial gravitatorio Newtoniano en un espacio-tiempo de d dimensiones varía
como r-(d-3).
Basándose en este hecho, puede realizarse la generalización siguiente:

Donde
la función sigma(x,x') es la mitad del cuadrado de la distancia geodésica entre
x y x'. Esto constituye un indicador de la dimensión espacio-temporal.
Dimensión
de escala:
![]()
Donde
la acción es integrada sobre D dimensiones del espacio-tiempo. Para que la
acción sea invariante ante cambios de escala, el campo debe escalar como L(-X), donde
X=d-2/2. La dimensión d es la denominada dimensión de escala.
Recientemente
los físicos han encontrado algo sorprendente: calculando la evolución de estos
marcadores en diferentes aproximaciones de gravedad cuántica para escalas más y
más pequeñas, encontramos que según nos acercamos a la escala de planck el
número de dimensiones efectivas se reduce, concretamente ¡la dimensión
efectiva del espacio-tiempo se reduce de cuatro a dos! Esto parece indicar
que la estructura cuántica fundamental del espacio-tiempo ¡es una
estructura bidimensional!
Silencio
asintótico en una singularidad espacio-temporal
Describir
qué sucede cerca de una singularidad como las que se encuentran en el interior
de los agujeros negros no es posible sin tener una teoría de la gravedad
cuántica definitiva. Sin embargo, asumiendo ciertas aproximaciones razonables,
podemos tratar de entender qué sucede en los alrededores de estos
"monstruos cósmicos". Los físicos creen que una teoría cuántica de la
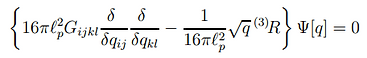
gravedad debe cumplir con la denominada ecuación de Wheeler-DeWit:

Donde
lp es la longitud de planck cuyo valor es:
![]()
La
ecuación de Wheeler-DeWit tiene información de la métrica a todas las escalas.
Para ver qué sucede a pequeñas escalas cerca de una singularidad debemos
analizar el comportamiento de la ecuación cuando el acoplamiento gravitatorio G
tiende a infinito, es decir, para lp tendiendo a infinito. También podemos hacer
que lp tienda a infinito haciendo que c tienda a 0. Al hacer que lp
tienda a infinito, el único término de la ecuación de Wheeler-DeWit que posee
derivadas espaciales desaparece. Esto quiere decir que los conos de luz se
cierran sobre si mismos y se transforman en líneas rectas. Esto implica que los
puntos espaciales se desacoplan y tenemos un sistema bidimensional: la de un
punto que evoluciona en el tiempo (una "world line"). De esta forma
los puntos adyacentes se desconectan causalmente y no pueden "oírse".
Por ello este fenómeno se denomina silencio asintótico.
Reducción
dimensional en teoría de cuerdas
La
primera señal de reducción dimensional según nos acercamos a la escala de
planck fue encontrada en teoría de cuerdas. Cuando se calienta un gas de
cuerdas por encima de una temperatura crítica, denominada temperatura de
Hagedorn, el sistema sufre una transición de fase. En 1988 los físicos Atickk y
Witten encontraron que por encima de esta temperatura el número de grados de
libertad disminuye drásticamente y la energía libre evoluciona como F/V=T2. Esto quiere
decir que por encima de la temperatura de Hagedor ¡la dimensión
termodinámica cambia de cuatro a dos! En
palabras del gran físico-matemático Edward Witten: "por encima del punto
crítico aparece un misterioso sistema que se comporta como una teoría de campos
bidimensional".
Silencio
asintótico en dinámica de triángulos causales
A
pesar de los indicios encontrados en teoría de cuerdas, no fue hasta 2005 cuando
el interés de la comunidad científica por el fenómeno de reducción dimensional
se disparó. La aproximación de gravedad cuántica denominada dinámica de
triángulos causales se basa en el hecho de que cualquier superficie o volumen
continuo (superficies de Riemann) puede aproximarse con la precisión necesaria
usando triángulos (para superficies) o tetraedros (para volúmenes). Este hecho
es utilizado en el llamado cálculo de Regge, capaz de capturar la dinámica de la
relatividad general usando triángulos o tetraedros.

Una superficie bidimensional puede cubrirse completamente usando triángulos. Cuantos más triángulos usemos mayor será la precisión obtenida. Calculando el ángulo total alrededor de un punto de unión de estos triángulos podemos medir la curvatura: si este ángulo es 2PI la superficie es plana, si es diferente el espacio está curvado
Con
estos constituyentes básicos se puede hacer una simulación del espacio-tiempo
utilizando la integral de caminos gravitacional, esto es, sumando sobre todas
las geometrías posibles entre dos intervalos de tiempo. De forma similar al
cálculo de Feynman en mecánica cuántica, el cálculo de Regge se realiza sumando
la cantidad de triángulos (de una longitud fija determinada) que atravesamos al
considerar todos los caminos (geometrías) posibles.

Ejemplo de simulación del espacio-tiempo en
dinámica de triángulos causales: a partir de un instante inicial (zona central)
el espacio-tiempo se expande simulando un espacio-tiempo De-Sitter (un
espacio-tiempo en expansión con curvatura positiva continua) como nuestro
Universo real.
En
2005, los físicos Ambjørn, Jurkiewicz y Loll utilizaron un nuevo y mejorado
modelo basado en dinámica de triángulos causales y encontraron algo totalmente
inesperado. El modelo no solo predecía un Universo en expansión
cuatridimensional como el nuestro a grandes escalas sino que cuando nos
acercamos a escalas muy pequeñas

El eje horizontal representa la escala
(distancia) y el eje vertical la dimensión espectral. Según nos aproximamos a
la escala de Planck, la dimensión cae de cuatro a dos
Estos
modelos fueron verificados de forma independiente por otros grupos de físicos.
La importancia de este resultado reside en que este modelo está basado en
principios geométricos que son más generales y menos especulativos que los
usados en otras aproximaciones y que se piensa que deben ser cumplidos por
cualquier teoría de gravedad cuántica.
Silencio
asintótico en gravedad cuántica de lazos
En
gravedad cuántica de lazos la longitud y el área solo pueden tomar valores
discretos. El área promedio puede ser escrito como:

Donde
l es el cuanto de longitud y lp es la longitud de Planck. Para grandes valores
de l este área promedio escala con una dimensión efectiva correspondiente a
cuatro pero cuando l es pequeño ¡el área escala con dimensión efectiva
bidimensional!
Silencio
asintótico en gravedad cuántica asintóticamente segura
Si
analizamos la relatividad general como una teoría de campos usual encontramos
que la teoría es no renormalizable: su acción efectiva tiene infinitos términos
que son imposibles de controlar. Sin embargo, si la teoría tuviese a muy altas
energías un punto fijo ultravioleta con un número finito de direcciones
(direcciones de evolución del flujo de renormalización), entonces la teoría
dependería solamente de estos grados de libertad finitos y la teoría sería
renormalizable, válida a todas las escalas y "asintóticamente
segura". Nadie sabe aún si la relatividad general es asintóticamente
segura pero hay indicios que apuntan en esa dirección. Si la respuesta es
positiva, entonces los operadores del punto fijo ultravioleta necesariamente
adquieren una dimensión de escala bidimensional, ya que la acción de
Einstein-Hilbert solo es invariante de escala en dos dimensiones y en el punto
fijo la teoría es invariante de escala. Este sería otro indicio de silencio
asintótico proveniente de una aproximación totalmente diferente.
Reducción
dimensional en modelos de "espuma cuántica"
En
1955 el físico John Wheeler propuso que las fluctuaciones cuánticas del
espacio-tiempo cerca de la escala de Planck producirián un espacio-tiempo
difuso y altamente cambiante. El famoso término de "espuma cuántica"
acuñado por Wheeler para describir esta estructura sigue estando activo en las
aproximaciones modernas. Después de la propuesta original de Wheeler surgieron
modelos de espuma cuántica basados en "gravedad estocástica". Uno de
estos modelos propuestos por Crane y Smolin describe una espuma cuántica basada
en agujeros negros virtuales. Si la distribución de estos agujeros negros es
invariante de escala y suficientemente densa, el espacio-tiempo exterior a los
agujeros negros tiene una dimensión de escala igual a 4-X, donde el valor de X
depende de los detalles de la distribución de los agujeros negros. Aunque el
valor de X no es conocido, este cálculo apunta de nuevo a una reducción
dimensional a escalas muy pequeñas.
Conclusiones
Aún
es pronto para sacar conclusiones definitivas: los próximos estudios deberán
confirmar o refutar la existencia de esta "extraña entidad
bidimensional" cerca de la escala de Planck. De confirmarse su existencia,
estaríamos ante un descubrimiento fascinante: ¿Cuál es la naturaleza de este
sistema bidimensional? ¿Hemos descubierto los componentes fundamentales del
espacio-tiempo? ¿Hay una conexión entre este sistema y los elementos
fundamentales de nuestras teorías de gravedad cuántica (cuerdas, loops, etc)?
Sin
duda la física fundamental está descubriendo un mundo nuevo y fascinante, un
mundo donde el espacio-tiempo emerge de ciertos componentes fundamentales.
La
revolución cuántica y la revolución relativista se verán superadas con creces
por la nueva revolución de la gravedad cuántica.
©
2024 JAVIER DE LUCAS