AL BORDE DEL ABISMO

La geometría del espacio-tiempo en torno a un agujero negro
En la relatividad general, la gravedad no es una fuerza como supuso Newton, sino una manifestación de la curvatura del espacio-tiempo. Dicho espacio-tiempo tiene tres dimensiones espaciales y una temporal, de modo que es cuatridimensional (4D). Los objetos que se mueven libremente en este espacio-tiempo, se limitan a seguir las trayectorias dictadas por la geometría espaciotemporal. En este sentido, la masa le dice al espacio-tiempo cómo curvarse, y el espacio-tiempo le dice a la masa cómo moverse.
En las cercanías de un agujero negro, el espacio-tiempo se encuentra muy curvado. Un recurso utilizado frecuentemente para representar esta curvatura es el diagrama de inmersión. Para estudiar el espacio-tiempo alrededor de un agujero negro mediante este tipo de diagrama, podemos centrar nuestra atención en la geometría de Schwarzschild, que es la más simple.
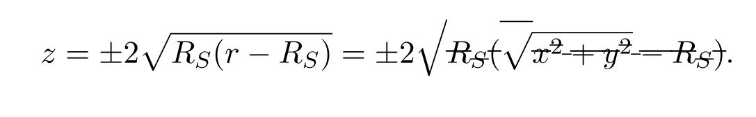
Cualitativamente, el espacio-tiempo en torno a los otros tipos de agujero negro es similar a la de Schwarzschild. Para comenzar, debemos tener presente que la geometría de Schwarzschild es estática y estacionaria (no depende del tiempo), lo cual significa que no se pierde ninguna información si consideramos el tiempo constante; además, como dicha geometría es esféricamente simétrica, tampoco se pierde información si solo consideramos planos paralelos al plano ecuatorial. Lo anterior equivale formalmente a eliminar dos dimensiones, una temporal y otra espacial. El beneficio de esto es que la geometría de Schwarzschild queda reducida a una supercie curva 2D que podemos visualizar, ya que queda inmersa (de aquí proviene el nombre "diagrama de inmersión") en un espacio 3D. Esta superficie 2D se denomina paraboloide de Flamm, y se genera por la rotación continua de una párabola en torno a un eje perpendicular al plano ecuatorial (eje Z) . La ecuación de esta parábola es:
(13)
La Fig. 6 muestra la parábola en color negro, donde se muestra la misma parábola, en rojo, rotada 180o respecto del eje Z. La Fig. 7 muestra el paraboloide de Flamm obtenido al efectuar una rotación de la parábola en torno al eje Z, donde solo se muestra la región z+. El plano ecuatorial corresponde al plano x-y. Vemos que la ecuación (13) también admite una solución negativa, correspondiente a la región Z-. Esta región se relaciona con los agujeros de gusano, un tema fascinante y controvertido que no analizaré en este artículo.

Figura 6: La rotación de la parábola negra en torno al eje z genera el espacio-tiempo de Schwarzschild 2D.
Para obtener las gráficas he tomado RS = 1, de modo que los ejes x e y están expresados en unidades del radio de Schwarzschild. Se observa que la parábola corta el eje x en RS. Notemos que el diagrama no muestra el interior del agujero negro ni la singularidad. La razón es que para r < RS, el lado derecho de la ecuación (13) se vuelve complejo.
La forma del paraboloide recuerda la analogía de la tela elástica, utilizada frecuentemente en discusiones elementales para representar la curvatura del espacio-tiempo. Sin embargo, es importante tener presente que la similitud entre ambas representaciones es superficial. La principal diferencia es que solo el paraboloide de Flamm es matemáticamente riguroso. Además, recordemos que la construcción del paraboloide supone que el tiempo es constante, lo que significa que la Fig. 7 es una suerte de fotografía del espacio-tiempo; en consecuencia, a diferencia de lo que ocurre con la analogía de la tela elástica, no pueden existir objetos moviéndose sobre la superficie del paraboloide.
Las Figs. 6 y 7 muestran que las distancias radiales sobre el paraboloide son mayores que las correspondientes distancias sobre el plano x-y. Es decir, las distancias radiales en el espaciotiempo curvado por un agujero negro son mayores que las correspondientes distancias en un espacio-tiempo plano.
Por ejemplo, si en la Fig. 6 consideramos los puntos x = 2 y x = 4, vemos que la distancia entre estos puntos medida sobre el eje x es menor que la correspondiente distancia medida sobre la parábola (curva negra). Todo esto revela que en las proximidades de un agujero negro no podemos atribuir a las distancias radiales un signicado físico directo; dichas distancias se miden sobre un espacio fuertemente curvado (representado por la superficie del paraboloide cerca de r = RS) cuya geometría ya es no euclidiana, mientras que las distancias de nuestra experiencia cotidiana pueden medirse con un alto grado de aproximación mediante la geometría plana de Euclides, pues la gravedad que experimentamos en nuestro entorno es muy débil, y los efectos de la relatividad general y de la curvatura espaciotemporal pueden despreciarse.

Figura 7: El paraboloide de Flamm representa el espacio-tiempo de Schwarzschild 2D.
Otro aspecto importante de la geometría de Schwarzschild, que se aprecia en la Fig. 6, y que está directamente relacionado con lo discutido en el párrafo anterior, es que en la medida que nos alejamos del eje Z, donde se localiza el agujero negro, la supercie de la parábola es cada vez más plana (menos curva), lo que implica que la supercie del paraboloide también es cada vez más plana. Téecnicamente se dice que el espacio-tiempo es asintóticamente plano.
Podemos verificar esta propiedad derivando la ecuación (13):
(14)
Esta expresión nos permite calcular la pendiente sobre la dirección radial en cualquier punto de la superficie del paraboloide. Vemos que cuando r tiende a infinito, dz/dr tiende a 0. Es decir, para r >> RS la pendiente es nula y la superficie del paraboloide es plana. Esto significa que lejos del agujero negro los efectos de la relatividad general son cada vez más pequeños, y la ley de gravitación de Newton se convierte en una buena aproximación para describir la gravedad.
Finalmente es importante considerar que solo la superficie 2D del paraboloide de Flamm tiene significado como parte de la geometría de Schwarzschild. Los puntos fuera de la supercie carecen de significado fí sico, ya que en un diagrama de inmersión el Universo queda reducido a la superficie 2D del paraboloide, lo que significa que el espacio 3D exterior no forma parte del Universo.
© 2021 JAVIER DE LUCAS