El solenoide y el toroide

prev.gif (1231 bytes)home.gif (1232 bytes)next.gif (1211 bytes)

Electromagnetismo

Campo magnético
Fuerza sobre un
conductor rectilíneo
La balanza de
corriente
Fuerza y momento 
sobre una espira
El galvanómetro
La rueda de Barlow

Corriente rectilínea
La espira
marca.gif (847 bytes)El solenoide y el
  toroide
Oscilaciones de
un imán (I)
Oscilaciones de
un imán (II)
Campo producido por un solenoide en un punto de su eje

java.gif (886 bytes)El solenoide. Ley de Ampère

El toroide

 

Campo producido por un solenoide en un punto de su eje

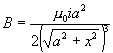
Vamos a calcular el campo producido por el solenoide en un punto P situado en el eje del solenoide sumando el campo producido por las N espiras.

solenoide.gif (2881 bytes)

En la figura, tenemos un corte longitudinal de un solenoide de longitud L, formado por N espiras iguales de radio a.

En la página anterior, obtuvimos la expresión del campo magnético producido por una espira de radio a en un punto P de su eje distante x.

Todas las espiras del solenoide producen en P un campo que tiene la misma dirección y sentido, pero distinto módulo, dependiendo de su distancia x al punto P.

El número de espiras que hay en el intervalo comprendido entre x y x+dx es dn=N·dx/L

Estas espiras producen en P un campo que es el producto del campo producido por una espira por el número dn de espiras

Para integrar, tenemos que hacer el cambio de variable a=x·tanq , y teniendo en cuenta que 1+tan2q =1/cos2q , simplificamos mucho la integral

Si el solenoide es muy largo comparado con su radio a y si el punto P está situado en el centro, tendremos que q 1® p , y q 2® 0. El campo B vale entonces

 

El solenoide. Ley de Ampère

Si suponemos que el solenoide es muy largo comparado con el radio de sus espiras, el campo es aproximadamente uniforme y paralelo al eje en el interior del solenoide y es nulo fuera del solenoide. En esta aproximación es aplicable la ley de Ampère.

El primer miembro, es la circulación del campo magnético a lo largo de un camino cerrado y en el segundo miembro, el término i se refiere a la intensidad que atraviesa dicho camino cerrado.

Para determinar el campo magnético, aplicando la ley de Ampère, tomamos un camino cerrado ABCD que sea atravesado por corrientes. La circulación es la suma de cuatro contribuciones, una por cada lado.

Celec_6.gif (3421 bytes) Examinaremos, ahora cada una de las contribuciones a la circulación:
  1. Como vemos en la figura, la contribución a la circulación del lado AB es cero ya que bien B y dl son perpendiculares o bien, B es nulo en el exterior del solenoide.
  2. Lo mismo ocurre en el lado CD.
  3. En el lado DA la contribución es cero, ya que el campo en el exterior al solenoide es cero.
  4. El campo es constante y paralelo al lado BC, la contribución a la circulación es Bx, siendo x la longitud de dicho lado.

La corriente que atraviesa el camino cerrado ABCD se puede calcular fácilmente:

Si hay N espiras en la longitud L del solenoide en la longitud x habrá Nx/L espiras. Como cada espira trasporta una corriente de intensidad i, la corriente que atraviesa el camino cerrado ABCD es Nx·i/L.

La ley de Ampère se escribe para el solenoide.

Para visualizar las líneas líneas del campo del campo magnético, se emplean limaduras de hierro. Este procedimiento es muy limitado y requiere bastante cuidado por parte del experimentador.

En el programa interactivo se calcula, aplicando la ley de Biot-Savart, el campo magnético producido por cada espira en un punto fuera del eje. Posteriormente, determina el campo magnético resultante, sumando vectorialmente el campo producido por cada espira en dicho punto. Finalmente, se trazan las líneas del campo magnético que pasan por puntos equidistantes a lo largo del diámetro del solenoide.

Podemos ver el mapa de las líneas del campo magnético de:

  • Una espira circular
  • Dos espiras, esta disposición simula las denominadas bobinas de Helmholtz, utilizadas en el laboratorio para producir campos magnéticos aproximadamente uniformes en la región entre las dos bobinas.
  • Muchas espiras iguales y equidistantes, que simula el solenoide.

Se introduce

  • El número de espiras N en el control de edición titulado nº de espiras
  • La separación entre las espiras, en el control de edición titulado Separación

Se pulsa el botón titulado Dibujar

 

SolenoideApplet aparecerá en un explorador compatible JDK 1.1
                
 

Campo magnético producido por un toroide

Aplicamos la ley de Ampère para determinar el campo producido por un toroide de radio medio R.

Si tomamos un solenoide, lo curvamos y pegamos sus extremos obtenemos un anillo o toroide.

  1. Las líneas de campo magnético que en el solenoide son segmentos rectos se transforman en circunferencias concéntricas en el solenoide. El campo magnético es tangente en cada punto a dichas circunferencias. El sentido de dicho campo viene determinado por la regla de la mano derecha.
  1. Elegimos como camino cerrado una circunferencia de radio r, cuyo centro está en el eje del toroide, y situada en su plano meridiano.
  • El campo magnético B es tangente a la circunferencia de radio r.
  • El campo magnético B tiene el mismo módulo en todos los puntos de dicha circunferencia.

La circulación (el primer miembro de la ley de Ampère) vale

  1. Vamos a calcular ahora la intensidad que atraviesa la circunferencia de radio r (en color azul) en los tres casos siguientes.
  • Fuera del toroide (r<R)
ampere11.gif (4504 bytes) Como vemos en la figura, la intensidad que atraviesa la circunferencia de radio r (en color azul) es cero. Aplicando la ley de Ampère

2p r=m0 ·0

B=0

  • Dentro del toroide
ampere12.gif (4755 bytes) Cada espira del toroide atraviesa una vez el camino cerrado (la circunferencia de color azul de la figura) la intensidad será Ni, siendo N el número de espiras e i la intensidad que circula por cada espira.

2p r=m0Ni

  • Fuera del toroide (r>R)
ampere13.gif (5260 bytes) Cada espira del toroide atraviesa dos veces el camino cerrado (circunferencia de color azul de la figura) transportando intensidades de sentidos opuestos .

La intensidad neta es Ni-Ni=0, y B=0 en todos los puntos del camino cerrado.

El campo magnético está completamente confinado en el interior del toroide.