SINGULARIDAD CENTRAL

"La geometría macroscópica de la
relatividad tiene muchas características especiales. Características que
sugieren un origen complejo-múltiple oculto y ciertas conexiones físicas
profundas y subyacentes entre las relaciones espacio-temporales normales y la
compleja superposición lineal de la mecánica cuántica."
Roger Penrose, The Complex
Geometry of the Natural World
La teoría de la relatividad general de Einstein se publicó entre 1915 y 1916. Este descubrimiento supuso un cambio tan radical en la forma de entender el Universo que más de un siglo después aún nos cuesta asimilar algunas de sus consecuencias. Poco más de un mes después de la última publicación de la teoría, el físico alemán Karl Schwarzschild encontró una solución exacta a las ecuaciones de Einstein para el caso de un agujero negro estático y con simetría esférica. Sin embargo, los agujeros negros reales formados por colapso estelar no son estáticos sino que poseen momento angular. Encontrar la solución para el caso de un agujero negro esférico en rotación llevo más de 20 años y supuso decenas de páginas de cálculos muy complejos. Esta solución denominada métrica de Kerr posee importantes diferencias respecto a la métrica estática de Schwarzschild y como veremos contiene fenómenos asombrosos.
En 1965 los físicos Newman y Janis encontraron algo sorprendente: si partimos de la métrica de Schwarzschild y permitimos que la métrica tome valores complejos, podemos transformar el agujero negro estacionario de Schwarzschild en un agujero negro rotatorio aplicando solo 4 sencillos pasos: veinte años de búsqueda y decenas de páginas de complejos cálculos sustituidos por unas pocas páginas de cálculos elementales. En este artículo mostraré las extrañas propiedades de los agujeros negros rotatorios, su conexión con las teorías de gravedad cuántica y las posibles consecuencias del descubrimiento de Newman-Janis. ¿Es esto solo una coincidencia o un truco matemático, o existe realmente una estructura física compleja aún por descubrir?
Las extrañas propiedades de los agujeros negros rotatorios
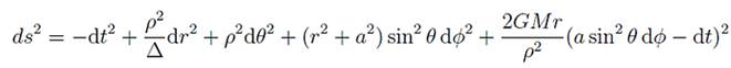
La métrica de un agujero negro en rotación denominada métrica de Kerr puede
describirse de la siguiente forma:

donde los denominadores vienen dados por:

Las cuatro coordenadas del espacio-tiempo están expresadas en coordenadas polares: t= tiempo; r=distancia radial; theta=ángulo polar; fi=ángulo azimutal:

La constante "a" es un valor que determina la velocidad
de rotación del agujero negro. Aunque esta expresión matemática es bastante
intimidante, a nosotros solo nos interesan dos valores que pueden calcularse de
forma sencilla:
1. Los valores de r para los que la métrica diverge (tiende a infinito)
2. El valor de r donde el coeficiente temporal dt2 cambia de signo
El punto 1 determinará la posición del horizonte de sucesos y la singularidad, mientras que el punto 2 determinará el comportamiento de los componentes espaciales y temporales. Recordemos que la métrica plana lorentziana viene dada por:
![]()
Las componentes positivas son espaciales y las negativas son temporales. Un cuerpo puede moverse libremente por las componentes espaciales, pero la componente temporal siempre "fluye" en la misma dirección y "arrastra" a todos los cuerpos en esa dirección. Los puntos anteriores determinarán las tres zonas principales de un agujero negro de Kerr: el horizonte de sucesos, la ergosfera y la singularidad.
El horizonte de sucesos
Los puntos donde la métrica diverge son los valores de r para los que el denominador (delta o rho) tiende a cero. Es fácil ver que para delta estos valores son:

Tenemos entonces dos valores de r para los que la métrica tiende a infinito: r+ y r-. Aquí nos encontramos con la primera característica extraña: los agujeros negros en rotación tienen dos horizontes de sucesos: uno exterior (r+) y otro interior (r-).
La ergosfera
Para analizar el valor de r donde el coeficiente dt2
cambia de signo simplemente analizamos dicho coeficiente:

La expresión anterior se vuelve positiva cuando:

Las raíces de la ecuación anterior son: GM+-PI (G2M2-a2cos2fi).
Es ahora cuando llegamos a la segunda característica extraña: si comparamos
este valor con el de la posición del horizonte de sucesos, encontramos que ¡el
coeficiente de la dimensión temporal se hace positivo antes de llegar al
horizonte r+! Esta zona comprendida entre este punto exterior donde la
parte temporal de la métrica cambia de signo y el horizonte exterior r+, se
denomina ergosfera y como veremos posee
características asombrosas.
Entonces tenemos que a partir de este punto exterior al agujero negro, el tiempo se comporta como si fuera una dimensión espacial. Pero entonces, si todos los componentes de la métrica son positivos, ¿Qué coordenada hace la función del tiempo? Si observamos el último coeficiente de la métrica podemos ver que al desarrollar el cuadrado obtenemos una componente cruzada dtdfi de valor negativo. Esta componente pasa a comportarse como la variable temporal y puede interpretarse como una interconexión entre ambas componentes. ¡ Es como si el tiempo y el ángulo de giro hubiesen intercambiado los papeles! Pero, ¿Cómo debemos interpretar esto?
Para analizarlo, estudiaremos la trayectoria de un fotón que se dirige
radialmente hacia el centro del agujero negro de Kerr. Puesto que para un fotón
la métrica es nula, hacemos ds2=0 y tomando el plano ecuatorial
hacemos theta=PI/2 y rho=0:
![]()
Resolviendo esta expresión obtenemos la ecuación:

En el borde donde empieza la ergosfera, el
coeficiente dt se anula, por tanto dtt=0. Con esto las soluciones a la ecuación anterior son:

Estas dos expresiones nos llevan a la tercera característica extraña de estos
monstruos rotatorios: la primera expresión representa la velocidad de un fotón
que se mueve en sentido contrario al giro del agujero negro y nos muestra algo
increíble: la velocidad instantánea es cero. Esto quiere decir que,
visto desde el exterior, la velocidad instantánea del fotón es nula lo que
significa que, en el sentido contrario al giro del agujero negro ¡el borde
de la ergosfera está girando a la velocidad de la
luz!
¿Alguien puede imaginar algo así? Como veremos a continuación, en
realidad esto quiere decir que nada puede moverse en sentido contrario al giro
del agujero negro.
La segunda expresión se refiere a la velocidad de un fotón que se mueve en el mismo sentido que el giro del agujero negro. El fotón solo puede moverse a una velocidad determinada y esta velocidad coincide con la velocidad de giro del agujero negro.
De esto se deduce que ningún cuerpo puede estar en reposo en la ergosfera: todos los cuerpos deben moverse en el sentido de giro del agujero negro lo que significa que ¡el agujero negro está arrastrando el espacio-tiempo al girar! En la ergosfera, la coordenada fi fluye sin descanso hacia adelante y nada puede moverse en sentido contrario, es decir, la coordenada espacial fi ¡pasa a comportarse como una coordenada temporal! El giro del agujero negro se comporta como una coordenada que marca el paso del tiempo.
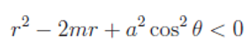
La singularidad central
Cuando calculamos las posiciones de los horizontes de sucesos
anteriormente nos faltó analizar el otro denominador rho. Para rho la métrica
diverge cuando r2+a2sen2theta=0.
Es ahora cuando llegamos a la cuarta característica extraña: ¡la
singularidad no se encuentra en un punto en r=0! La solución a la expresión
anterior comprende todos los puntos que se encuentran en r=0 y además
cumplen que theta=PI/2. Esta última condición la cumplen todos los puntos
del plano ecuatorial de radio a, es decir: ¡La singularidad central no es un
punto sino un anillo!
El anillo de la singularidad es una superficie "time-like"; esto quiere decir que es una trayectoria en el tiempo realizable físicamente. Si nos situáramos justo al lado del anillo y realizásemos una trayectoria cerrada alrededor del mismo, viajaríamos a lo largo de la dimensión temporal por lo que ¡volveríamos de nuevo al punto de partida, volveríamos al pasado! ¡Esto sí sería realmente un viaje en el tiempo hacia el pasado!

Por si esto no fuera suficientemente exótico, un viajero cósmico
podría teóricamente atravesar el interior del anillo, lo cual podría conducirle
a otro espacio-tiempo diferente.
Por razones evidentes, la posible existencia de curvas cerradas de
tiempo es un grave problema para cualquier sistema físico real y los físicos
están convencidos de que no pueden existir en nuestro Universo. Aunque estas
singularidades circulares sean soluciones a las ecuaciones de la relatividad
general, existen indicios sólidos de que este tipo de singularidades son
inestables, por lo que es muy probable que no puedan darse en agujeros negros
reales.

Distintas zonas de un agujero
negro rotatorio
Agujeros negros extremos: ¿Una puerta hacia la gravedad cuántica?
Los agujeros negros de Kerr aún esconden otra sorpresa. Si aumentamos la velocidad de rotación del agujero negro (el valor del parámetro "a"), llegamos a un límite en el que la relatividad general parece derrumbarse: los dos horizontes se funden en uno solo, el valor de la entropía desaparece y la temperatura del agujero tiende a cero. ¿Cómo es esto posible? Los físicos creen que estos fenómenos indican una discontinuidad y son signo de que la teoría clásica de la relatividad general no puede predecir lo que sucede cuando "a" toma el mayor valor permitido. Estos agujeros negros que poseen el mayor momento angular posible se denominan agujeros negros extremos.
Estos agujeros negros han sido objeto de intensos trabajos teóricos que han
descubierto algo muy interesante: a pesar de que la RG prediga una desaparición
de la entropía en estos agujeros negros, nuestras teorías candidatas de
gravedad cuántica más importantes predicen que la entropía coincide exactamente
con la predicha por la fórmula de Bekenstein-Hawking.
Concretamente las ecuaciones de la teoría de cuerdas tienen una solución
genérica de baja energía que predicen esta entropía. Además, la teoría de
cuerdas explica el origen de los microestados que generan esta entropía a
través de ciertas cargas conservadas. Esto nos hace preguntarnos ¿Son los
agujeros negros extremos una puerta a fenómenos de gravedad cuántica?
El algoritmo de Newman-Janis
Para finalizar describiré muy brevemente otro descubrimiento fascinante sobre
estos extraños objetos. Newman y Janis descubrieron que si partimos de la
métrica estática de Schwarzschild y permitimos que la
métrica tome valores complejos, entonces podemos transformar la métrica de Schwarzschild en la métrica de Kerr en solo cuatro
sencillos pasos. Este hecho sorprendente puede ser solo una curiosidad
matemática o esconder algo muy profundo sobre la naturaleza del espacio-tiempo.
Sin entrar en detalles técnicos, los cuatro pasos serían los siguientes (partiendo de la métrica de Schwarzschild escrita en coordenadas avanzadas de Eddington-Finkelstein):
1. Escribir la métrica en forma de tetraedros de métrica nula
2. Extender las coordenadas r y u de forma que puedan tomar
valores complejos y realizar la siguiente transformación:

3. Calcular la métrica resultante
4. Tomar solamente los valores reales de la métrica resultante.
Los puntos clave son los pasos 2 y 4: mientras que en el paso 2 permitimos a la métrica adentrarse en el "mundo complejo", en el paso 4 retornamos al "mundo real" tomando solo los valores reales de la métrica resultante. Lo más impactante de este resultado, aparte de simplificar de forma increíble los cálculos, es que sugiere una relación entre la relatividad general y una estructura compleja del espacio-tiempo. Futuros avances teóricos y experimentales nos dirán si esto es solo una casualidad matemática o estamos ante una nueva y fascinante estructura física.
© 2024 JAVIER DE LUCAS