Medida del índice adiabático de un gas (I)

prev.gif (1231 bytes)home.gif (1232 bytes)next.gif (1211 bytes)

Física Estadística y Termodinámica

Termodinámica
Conceptos básicos
de Termodinámica
Trasformaciones
termodinámicas
marca.gif (847 bytes)Indice adiabático
  de un gas (I)
Indice adiabático
de un gas (II)
Indice adiabático
del aire
El soplo de la bomba 
atómica
Cohete propulsado
por un gas a presión
Comprensión adia-
bática de un gas
Procesos 
cuasiestáticos
El ciclo de Carnot
Segundo principio
Método de Rüchhardt

java.gif (886 bytes)Modificación de Rinkel

java.gif (886 bytes)Simulación de una experiencia de laboratorio

Referencias

 

Se coloca un tubo vertical de vidrio en la boca de un recipiente grande de gas de volumen V, y se cierra el recipiente con una bola esférica de acero de masa m que ajusta perfectamente al tubo de vidrio de radio r. Se desplaza la bola de su posición de equilibrio y empieza a oscilar con un periodo que podemos medir con un cronómetro. Conocido el periodo de la oscilación podemos determinar el índice adiabático del gas.

Este es en esencia, el procedimiento de Rüchhardt para medir el índice adiabático de un gas. También se describe en esta página una modificación de este procedimiento.

 

Método de Rüchhardt

  • Equilibrio
presion.gif (2349 bytes) Cuando la bola está en equilibrio, la presión p0 en el recipiente es un poco más alta que la presión atmosférica, debido a la presión que ejerce la bola de masa m y radio r.

  • Transformación adiabática

Los cambios de presión y de volumen del gas se describen mediante un proceso termodinámico. Si suponemos que la oscilación transcurre muy rápidamente podemos considerar que el proceso es adiabático. La relación entre la presión y el volumen del gas en dicho proceso viene dada por la ecuación.

donde V es el volumen del gas, p la presión y g el índice adiabático del gas.

Cuando la bola se ha desplazado x de la posición de equilibrio, el volumen se ha reducido en V0-p r2x y la presión en el recipiente ha cambiado a p, de modo que

Despejando p

Dado que p r2x<< V0. Empleando el desarrollo de Newton (a+b)n hasta el primer término

La fuerza neta que actúa sobre la bola cuando se ha desplazado x de la posición de equilibrio es

F=patm·πr2+mg-p·πr2

La fuerza es proporcional al desplazamiento y de sentido contrario a éste, una clara indicación de que la partícula describe un M.A.S.

  • Oscilaciones

Cuando actuamos sobre la bola con el ratón separándola de su posición de equilibrio y soltándola la bola comienza a oscilar.

fuerzas.gif (2635 bytes)

En la figura vemos que, cuando la bola se desplaza hacia abajo, la presión en el recipiente aumenta, la fuerza sobre la bola está dirigida hacia arriba. Cuando la bola se desplaza hacia arriba la presión disminuye, la fuerza sobre la bola es hacia abajo. Por tanto, la fuerza sobre la bola es de sentido contrario al desplazamiento, una de las características del M.A.S.

La segunda ley de Newton en forma diferencial se escribe

Ecuación diferencial de un Movimiento Armónico Simple (M.A.S.) de frecuencia y periodo

Medimos con un cronómetro el periodo P de las oscilaciones y calculamos el índice adiabático g del gas.

Debido al rozamiento entre la bola y las paredes interiores del tubo, la amplitud de las oscilaciones no es constante, sino que disminuye con el tiempo. Por otra parte, la bola tiene un diámetro ligeramente inferior al diámetro interior del tubo, por lo que el aire circula por el hueco existente entre la bola y el tubo.

 

  • Ecuación del movimiento

La bola describe un MAS de amplitud A, frecuencia angular w y fase inicial j . La posición x y la velocidad v de la bola en función del tiempo t son

x=A·sen(w t+j )
v=A·w ·
cos(w t+j )

adiabatico3.gif (1362 bytes) La amplitud y la fase inicial se calculan a partir de las condiciones iniciales. Si en el instante inicial t=0, la bolita parte de la posición x=x0 con velocidad nula, v=0

x0=Asen(j )
0=Aw ·
cos(j )

Entonces. j =p /2 ó j =3p /2 según que x0>0 ó x0<0, y A=| x0|

En la segunda experiencia, x0>0, de modo que la ecuación del movimiento es

x=x0·cos(w t)

 

Modificación de Rinkel

Una modificación del método de Rüchhardt fue sugerida por Rinkel en 1929. Este método consiste en sostener la bola en el extremo superior del tubo y dejarla caer,  determinando la altura h que recorre antes de iniciar de nuevo el movimiento hacia arriba.

  • Transformación adiabática

En la situación inicial, la bola se coloca en el extremo del tubo de vidrio y se mantiene sujeta con la mano. La presión del gas es la presión atmosférica patm y el volumen es V0.

Se suelta la bola y se desplaza hacia abajo x, tal como se indica en la figura. El volumen del recipiente ha disminuido en V0-πr2·x, y la presión ha aumentado a p.

 Suponiendo que la trasformación entre el estado inicial y el estado final es adiabática, tenemos la siguiente relación

 

Suponiendo que el volumen V0 es muy grande respecto a los cambios de volumen del gas en el tubo. Llegamos a la siguiente relación aproximada.

  • Cambios energéticos

Comparemos la situación inicial con la bola en el extremo superior del tubo,  con la situación en la que la bola alcanza su máximo desplazamiento recorriendo la altura h antes de iniciar el movimiento ascendente.

  • La velocidad inicial y la velocidad final son ambas cero, no hay cambio en la energía cinética de la bola.

  • La bola ha disminuido su altura. El cambio de la energía potencial es -mgh.

El trabajo realizado por la fuerza sobre la bola debida a la diferencia de presión a ambos lados (p-patm) es

 

  

El trabajo es igual a la variación de energía potencial, ya que la energía cinética no cambia

W=-mgh

Llegamos finalmente a la expresión

 

Este es un ejemplo similar al de un cuerpo de masa m que se coloca sobre el extremo de un muelle elástico vertical sin deformar de constante k. Determinar la máxima deformación h del muelle.

 

Actividades

Introducimos los siguientes datos:

  • El material del que está hecha la esfera
  • El diámetro de la bolita en mm
  • El gas que contiene el recipiente

Pulsamos el botón Inicio. Si el diámetro del tubo es pequeño y la "experiencia" no se puede llevar a cabo con estos datos un mensaje nos la notifica, y procederemos a cambiar los datos.

Se pulsa el botón titulado Empieza, la bolita empieza a oscilar. Podemos ver mediante flechas

  • El peso de la bolita en color rojo.
  • La resultante de las fuerzas (en color azul) que ejerce la presión del gas contenido en el recipiente y la presión atmosférica sobre la bolita.

Ejemplo:

Se necesitan para calcular el índice adiabático del gas elegido, los siguientes datos

Material de la esfera Densidad (kg/m3)
Acero 7700
Cobre 8930
Plomo 11350
Wolframio 19340
Presión atmosférica, patm 101300 Pa
Volumen del recipiente, V0 10 dm3=0.01 m3

Supongamos que elegimos:

  • como material de la esfera el acero,
  • el diámetro de la esfera 16 mm
  • el gas del recipiente argón..

La masa de la bolita es

La presión de equilibrio es

En la escala horizontal leemos el tiempo de tres oscilaciones que es 2.98 s, el periodo de una oscilación es de P=0.99 s.

Llevamos todos los datos a la fórmula del coeficiente adiabático del gas

Pulsando en el botón titulado Respuesta obtenemos el valor 1.62.

El botón Inicio vuelve a dejar caer la bola en el extremo superior del tubo de vidrio, en disposición de volver a iniciar una nueva experiencia.

Modificación de Rinkel

Medimos el máximo desplazamiento h de la bola. Se utiliza los botones Pausa y Paso para llegar al momento en el que la bola va a iniciar su movimiento vertical ascendente.

Con los datos del ejemplo anterior y h=0.49 cm, introducimos los datos en la fórmula

 

                                         

 

Simulación de una experiencia de laboratorio

El procedimiento de Rüchardt se emplea en los laboratorios de Física para medir el cociente γ=cp/cv de los calores específicos del aire.

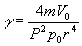
Una bola de metal de masa m, se libera en el extremo libre de un tubo de vidrio de radio r que se conecta a un gran recipiente de aire de volumen V. La bola experimenta oscilaciones amortiguadas. Si las variaciones de presión y volumen se consideran adiabáticas, el periodo P de las oscilaciones es

donde p0 es la presión atmosférica. La diferencia entre la presión de equilibrio p0=patm+mg/πr2 y la presión atmosférica patm=101300. es tan sólo de de 805 Pa.

La modificación de Rinkel nos da el desplazamiento vertical h de la bola, es decir, el doble de la amplitud de la oscilación

Midiendo el periodo P o el máximo desplazamiento de la bola h, obtenemos el índice adiabático del gas considerado. Ahora bien, se puede mejorar el experimento, si se mide el periodo P y la longitud de caída h de la bola en función del volumen V de aire.

El volumen de aire se puede cambiar poniendo agua en el recipiente. El volumen de aire V será igual a la diferencia entre el volumen del recipiente V0 y el volumen de agua Va introducida.

Las dos expresiones anteriores se convierten en

Representando gráficamente P2 o h en función del volumen de agua Va obtenemos una línea recta, cuya pendiente nos permite calcular el índice adiabático γ del aire y cuya intersección con el eje de las ordenadas, el volumen V0 del recipiente.

Actividades

Se introduce

  • El tipo de gas que llena el recipiente, eligiéndolo en el control de selección titulado Gases.

  • El radio de la bola está fijado en el programa interactivo en r=8 mm=0.008 m

  • La bola es de acero (densidad 7700 kg/m3) y su masa es de m=0.0165 kg

  • La presión atmosférica p0=101300 Pa

Primera experiencia

Se activa el botón de radio titulado Altura.

Se pulsa el botón titulado Inicio

Con el puntero del ratón, se arrastra la flecha de color azul, para rellenar el recipiente con un volumen de agua Va.

Se pulsa el botón titulado Empieza

La bola describe un movimiento armónico simple. El volumen Va (en litros) de agua y la altura de caída h (en cm) se guardan en el control área de texto situado a la izquierda del applet

Se pulsa el botón titulado Inicio

Con el puntero del ratón, se arrastra la flecha de color azul, para rellenar el recipiente con otro volumen de agua Va distinto

Se pulsa el botón titulado Empieza

La bola describe un movimiento armónico simple. El volumen Va (en litros) de agua y la altura de caída h (en cm) se guardan en el control área de texto situado a la izquierda del applet. Cuando tengamos suficientes datos, se pulsa el botón titulado Gráfica, para representar los resultados “experimentales” (puntos de color rojo) y la recta de "ajuste".

  • En el eje horizontal se representa el volumen Va de agua en litros

  • En el eje vertical la altura de caída h en cm

La pendiente de la recta y la ordenada en el origen determinan

  • el índice adiabático γ del gas seleccionado

  • el volumen V0 del recipiente.

 

Ejemplo

Seleccionamos el gas Argón, y activamos el botón de radio titulado Altura.

Medimos la altura h de caída de la bola para varios valores del volumen Va de agua. Pulsamos el botón titulado Gráfica. A partir de la pendiente de la recta, determinamos el índice adiabático del gas considerado. La pendiente de la recta de la figura en unidades m-2 es

-0.49/0.01=-49 m-2.

El programa nos proporciona una pendiente de -48.75 m-2

Medimos la ordenada en el origen 49 cm=0.49 m, o bien, conocida la tangente del ángulo θ y el cateto contiguo (10 litros=0.01 m3) calculamos el cateto opuesto (la ordenada en el origen)

48.75 ·0.01=0.4875 m

En la parte derecha del applet, disponemos de un manómetro, y vamos a ver que información nos puede suministrar

Medimos la presión cuando la bola se encuentra en la posición de máximo desplazamiento.

Como ya se ha explicado, se produce una transformación adiabática entre el estado inicial (p0, V), y el estado final (p, V-πr2x). Si consideramos que la disminución del volumen πr2x cuando la bola se desplaza x, es muy pequeño en comparación con V=V0-Va.

La diferencia de presión p-p0 entre le gas contenido en el recipiente y la presión atmosférica es

Cuando la bola se ha desplazado x=h, la diferencia de presión es

es constante e independiente del tipo de gas y del volumen V0-Va del recipiente que lo contiene. La diferencia de presión corresponde a 1608=1000·9.8·(2x) a un desnivel 2·8.2 cm entre las dos ramas del manómetro de agua.

Cuando la bola pasa por la posición de equilibrio h/2=0.17 cm, la diferencia de presión es la mitad del valor anterior.

Se pulsa el botón titulado Pausa y luego, varias veces el botón titulado Paso, para acercarnos a la posición de  de máximo desplazamiento.

Como vemos el manómetro no nos suministra información acerca del tipo de gas que experimenta la transformación adiabática, solamente nos da información acerca de la masa y radio de la bola que dejamos caer en un tubo de igual radio.

 

Segunda experiencia

Se activa el botón de radio titulado Periodo.

Se pulsa el botón titulado Inicio

Con el puntero del ratón, se arrastra la flecha de color azul, para rellenar el recipiente con un volumen de agua Va.

Se pulsa el botón titulado Empieza

La bola describe un movimiento armónico simple. Para medir el periodo, disponemos de un cronómetro. Se pulsa el botón titulado En marcha. Cuando se hayan completado cinco oscilaciones, se vuelve a pulsar el mismo botón titulado ahora Para.

El tiempo se muestra en la parte superior del applet.

El volumen Va (en litros) de agua y el periodo de cinco oscilaciones se guardan en el control área de texto situado a la izquierda del applet

Se pulsa el botón titulado Inicio

Con el puntero del ratón se arrastra la flecha de color azul, para rellenar el recipiente con otro volumen de agua Va distinto

Se pulsa el botón titulado Empieza

La bola describe un movimiento armónico simple. Con el cronómetro se mide el tiempo que tarda la bola en completar cinco oscilaciones. El volumen Va (en litros) de agua y y el periodo de cinco oscilaciones se guardan en el control área de texto situado a la izquierda del applet

Cuando tengamos suficientes datos, se pulsa el botón titulado Gráfica, para representar los resultados “experimentales” (puntos de color rojo) y la recta de "ajuste".

  • En el eje horizontal se representa el volumen Va de agua en litros

  • En el eje vertical el cuadrado P2 del periodo de una oscilación

La pendiente de la recta y la ordenada en el origen determinan

  • el índice adiabático γ del gas seleccionado

  • el volumen V0 del recipiente.

 

Ejemplo

Seleccionamos Argón, y activamos el botón de radio titulado Periodo

Medimos el periodo de cinco oscilaciones con el cronómetro para varios valores del volumen Va de agua. Pulsamos el botón titulado Gráfica. A partir de la pendiente de la recta determinamos el índice adiabático del gas considerado.

La pendiente de la recta de la figura es

-1.0/0.01=-100 s2/m3

El programa nos proporciona una pendiente de -98.19 s2/m3

Medimos la ordenada en el origen 1.0 s2, o bien, conocida la tangente del ángulo  y el cateto contiguo (10 litros=0.01 m3) calculamos el cateto opuesto (la ordenada en el origen)

98.19·0.01=0.9819 m

 

Se pulsa el botón titulado Inicio, y se arrastrar con el puntero del ratón la flecha de color azul.
Medir el periodo de cinco oscilaciones

 

 

Referencias

Para el apartado "Simulación de una experiencia de laboratorio"

Deacon C, Whitehead J. Determination of the ratio of the principal specific heats for air. Am. J. Phys. 60 (9) September 1992. pp, 859-860.