LA FORMULA DE MIDAS
LA ECUACION DE BLACK-SCHOLES
Describe cómo el precio de un derivado financiero cambia en el tiempo, basándose en el principio de que cuando el precio es correcto, el derivado no conlleva riesgo y nadie puede sacar beneficio vendiéndolo a un precio diferente. Hace posible comerciar un derivado antes de que venza asignándole un valor «racional» acordado, de modo que puede convertirse en una mercancía virtual por derecho propio. Con ella se produjo el crecimiento masivo del sector financiero, instrumentos financieros cada vez más complejos, aumento repentino, salpicado con quiebras, en la prosperidad económica, los turbulentos mercados de valores de los noventa del siglo pasado, la crisis financiera del 2008-2009, y la depresión económica actual.
Desde el cambio de siglo, la mayor fuente de crecimiento en el sector financiero ha estado en los instrumentos financieros conocidos como derivados. Los derivados no son dinero, ni son inversiones en acciones. Son inversiones en inversiones, promesas sobre promesas. Los operadores de derivados usan dinero virtual, números en un ordenador. Lo toman prestado de inversores que probablemente lo han tomado prestado en alguna otra parte. Con frecuencia no lo han tomado prestado del todo, ni siquiera virtualmente: han presionado el botón del ratón para estar de acuerdo con que tomarán prestado el dinero si alguna vez es necesario. Pero no tienen intención de permitir que sea necesario, venderán el derivado antes de que suceda. El prestamista, el hipotético prestamista, como el préstamo nunca se llevará a cabo, por la misma razón, probablemente tampoco tiene realmente el dinero. Esto son las finanzas en un reino de fantasía, aunque se ha convertido en una práctica estándar del sistema bancario del mundo.
Desafortunadamente, las consecuencias de las operaciones con derivados, al final, se convierten en dinero real y gente real sufriendo. La trampa funciona la mayoría del tiempo, porque la desconexión con la realidad no tiene un efecto notable, que no sea otro que hacer a unos pocos banqueros y operadores extremadamente ricos a medida que desvían fondos de dinero real desde la reserva virtual. Hasta que las cosas van mal. Entonces llegan las consecuencias, deudas virtuales que tienen que pagarse con dinero real. Por todos los demás, naturalmente. Esto es lo que desencadenó la crisis bancaria del 2008-2009, por la cual la economía mundial se tambaleó. Tipos de interés bajos y enormes primas personales animaron a los banqueros y sus bancos a apostar sumas de dinero virtual cada vez mayores en derivados cada vez más complejos, seguros a la larga, o así lo creían, en el mercado inmobiliario, casas y negocios. Como la oferta de propiedad y gente adecuada para comprar empezó a agotarse, los líderes del mundo financiero necesitaban encontrar nuevos modos de convencer a los accionistas de que estaban creando beneficios, para justificar y financiar sus primas. De modo que empezaron a comerciar paquetes de deuda, también supuestamente seguros, en algún momento futuro, sobre propiedad real.
Mantener ese esquema demandó la compra continua de bienes, para aumentar la reserva de garantías. De modo que los bancos empezaron a vender hipotecas a gente cuya habilidad para pagarlas era cada vez más dudosa. Esto era el mercado de hipotecas subprime, donde «subprime» es un eufemismo para «probabilidad de impago». Lo que pronto se convirtió en «certeza de impago».
Los bancos se comportaron como uno de esos personajes de dibujos que se aleja del borde del precipicio, se sostiene en el aire hasta que mira abajo, y solo entonces cae en picado a la tierra. Todo parecía marchar bien hasta que los banqueros se preguntaron a sí mismos si múltiples cálculos con dinero inexistente y recursos sobrevalorados eran sostenibles, se preguntaron cuál era el valor real de sus propiedades en derivados, y se dieron cuenta de que no tenían ni idea. Excepto que definitivamente era mucho menos de lo que habían dicho a los accionistas y los organismos reguladores del gobierno.
A medida que la espantosa verdad iba saliendo, la confianza caía en picado. Esto abatió el mercado inmobiliario, de modo que los recursos contra los cuales las deudas estaban aseguradas empezaron a perder su valor. En este punto, todo el sistema se vio atrapado en un ciclo de retroalimentación positivo, en el cual cada revisión a la baja del valor provocaba que fuese revisada todavía más a la baja. El resultado final fue la pérdida de alrededor de 17 billones de dólares. Enfrentados a la posibilidad del colapso total del sistema financiero mundial, destrozando los ahorros de los inversionistas y haciendo que la Gran Depresión de 1929 pareciese un patio de recreo, los gobiernos se vieron forzados a financiar a los bancos, los cuales estaban al borde de la bancarrota. Se dejó que uno, Lehman Brothers, se hundiese, pero la pérdida de confianza fue tan grande que parecía poco inteligente repetir la lección. De modo que los contribuyentes apoquinaron el dinero, y mucho de él era dinero real. Los bancos cogieron el dinero con ambas manos, y luego intentaron fingir que la catástrofe no había sido por su culpa. Culparon a los organismos reguladores de los gobiernos, a pesar de haber hecho campaña contra las regulaciones: un caso interesante de «es culpa vuestra, vosotros nos dejasteis hacerlo».
¿Cómo sucedió el mayor desastre financiero de la historia de la humanidad? Podría decirse que uno de los colaboradores fue una ecuación matemática. Los derivados más sencillos existen desde hace mucho tiempo. Son conocidos como futuros y opciones, y se remontan al siglo XVIII en el mercado de arroz de Dojima en Osaka, Japón. El mercado fue fundado en 1697, una época de gran prosperidad económica en Japón, cuando se pagaba a las clases altas, los samuráis, con arroz, no con dinero. Naturalmente apareció una clase de agentes de arroz que comerciaban con arroz como si fuese dinero. A medida que los comerciantes de Osaka aumentaban su control sobre el arroz, el alimento básico del país, sus actividades tenían un efecto dominó en el precio del artículo. Al mismo tiempo, el sistema financiero estaba empezando a cambiar a dinero en metálico, y la combinación resultaba mortal. En 1730, el precio del arroz estaba por los suelos.
Irónicamente, el desencadenante fueron las cosechas pobres. Los samuráis, todavía empeñados en el pago en arroz, pero atentos al crecimiento del dinero, empezaron a tener pánico. Su «moneda» favorita estaba perdiendo su valor rápidamente. Los comerciantes agravaron el problema manteniendo artificialmente el arroz fuera del mercado, acumulando grandes cantidades en almacenes. Aunque puede parecer queesto incrementaría el valor monetario del arroz, tuvo el efecto opuesto, porque los samuráis estaban tratando el arroz como una moneda. No podrían comer nada remotamente aproximado a la cantidad de arroz que poseían. De modo que mientras la gente ordinaria pasaba hambre, los comerciantes almacenaban arroz. El arroz se hizo tan escaso que el dinero en papel lo sustituyó, y rápidamente se hizo más deseable que el arroz porque era posible realmente ponerle la mano encima. Pronto los comerciantes de Dojima estaban dirigiendo lo que equivalía a un sistema bancario gigantesco, teniendo cuentas con la gente adinerada y determinando el valor de intercambio entre arroz y dinero en papel.
Finalmente el gobierno se dio cuenta de que este arreglo daba demasiado poder a los comerciantes de arroz y reorganizó el mercado de arroz junto con la mayoría de las otras partes de la economía del país. En 1939 el Mercado de arroz fue remplazado por la Agencia gubernamental de arroz. Pero mientras existió el Mercado de arroz, los comerciantes inventaron un nuevo tipo de contrato para nivelar las grandes oscilaciones en el precio del arroz. Los firmantes garantizaban comprar (o vender) un cantidad específica de arroz en una fecha futura concreta por un precio concreto. Hoy esos instrumentos se conocen como futuros y opciones.
Supongamos que un comerciante está de acuerdo en comprar arroz dentro de seis meses a un precio acordado. Si el precio de mercado ha subido sobre el acordado en el momento en que la opción vence, consigue el arroz barato e inmediatamente lo vende con ganancias. Por otro lado, si el precio es más bajo, se ha comprometido a comprar arroz a un precio mayor de su valor en el mercado y pierde dinero. Los granjeros encuentran dichos instrumentos útiles porque realmente quieren vender una mercancía real: arroz. La gente que usa el arroz para comer, o fabricar comestibles que lo usan, quiere comprar la mercancía. En este tipo de transacción, el contrato reduce el riesgo para ambas partes, aunque a un precio. Equivale a una forma de seguro, un mercado garantizado a un precio garantizado, independientemente de los cambios en los valores del mercado. Merece la pena pagar un pequeño recargo para evitar la incertidumbre. Pero la mayoría de los inversores adquieren los contratos en futuros de arroz con el único propósito de hacer dinero, y la última cosa que el inversor quiere es toneladas y toneladas de arroz.
Siempre lo vendían antes de que tuviesen que recibirlo. De modo que el principal papel de los futuros era alimentar la especulación financiera, y esto se hacía peor por el uso del arroz como moneda. Al igual que el patrón actual del oro crea artificialmente precios altos para una sustancia (el oro) que tiene poco valor intrínseco, y de ese modo alimenta la demanda por ello, así el precio del arroz empezó a estar gobernado por el comercio de futuros más que por el comercio del propio arroz. Los contratos eran una forma de juego de apuestas; pronto los propios contratos adquirieron un valor y podían comerciarse como si fuesen mercancías reales. Además, aunque la cantidad de arroz estaba limitada por lo que los granjeros podían plantar, no había límite para el número de contratos de arroz que podían expedirse.
El mayor mercado de valores del mundo fue rápido encontrando una oportunidad de vender humo y ganar dinero en metálico, y se han comerciado futuros desde entonces. Al principio, esta práctica no causaba por sí misma problemas económicos enormes, aunque a veces llevó a la inestabilidad más que a la estabilidad que con frecuencia es reivindicada para justificar el sistema. Pero alrededor del año 2000, el sector financiero mundial empezó a inventar variantes cada vez más elaboradas sobre el tema de los futuros, «derivados» complejos cuyo valor estaba basado en hipotéticos movimientos futuros de algún recurso. A diferencia de los futuros, para los cuales al menos el recurso era real, los derivados podían estar basados en un recurso que fuese en sí mismo un derivado. Los bancos ya no estaban comprando y vendiendo apuestas sobre el precio futuro de una mercancía como el arroz, estaban comprando y vendiendo apuestas sobre el precio futuro de una apuesta.
DERIVADOS FINANCIEROS

Rápidamente se convirtió en un gran negocio. En 1998, el sistema financiero internacional comerció aproximadamente 100 billones de dólares en derivados. En 2007 esto había crecido a miles de billones de dólares. Billones, miles de billones... sabemos que estos son números grandes, pero ¿cómo de grandes? Para poner esta cifra en contexto, el valor total de todos los productos hechos por las industrias manufactureras durante los últimos mil años es alrededor de 100 billones de dólares americanos, ajustado por la inflación. Esto es una décima parte de los derivados comercializados en un año. Cierto es que el grueso de la producción industrial se ha dado en los pasados cincuenta años, pero incluso así, esto es una cantidad asombrosa. Lo que quiere decir, en concreto, que las ventas de derivados consisten casi totalmente en dinero que realmente no existe, dinero virtual, números en un ordenador, sin vínculo con nada en el mundo real. De hecho, estas ventas tienen que ser virtuales: la cantidad total de dinero en circulación, en el mundo, es totalmente insuficiente para pagar las cantidades que están siendo intercambiadas con el clic de un ratón. Por gente que no tiene interés en la mercancía que les ocupa y no sabrían qué hacer con ella si la recibiesen, usando dinero que realmente no poseen.
No hace falta ser ingeniero aeroespacial para sospechar que esta es una receta para el desastre. Aunque durante una década la economía mundial creció sin cesar a lomos del comercio de derivados. No solo podías obtener una hipoteca para comprar una casa; podías obtener más de lo que la casa valía. El banco ni se molestaba en comprobar cuáles eran tus verdaderos ingresos, o qué otras deudas tenías. Podías conseguir una hipoteca autocertificada —que quiere decir que le decías al banco que podías permitírtelo y que no hiciese preguntas raras—, del 125 %, y gastar el dinero extra en unas vacaciones, un coche, una operación de cirugía o cajas de cerveza. Los bancos hicieron un esfuerzo especial para persuadir a los clientes para que contratasen préstamos, aunque no los necesitasen. Lo que creían que los salvaría si uno de los solicitantes del préstamo no pagaba sus cuotas era sencillo. Esos préstamos estaban asegurados sobre tu casa. Los precios de las casas fueron aumentando, de modo que ese 25 % perdido de patrimonio pronto se haría real; si no pagabas, el banco podía embargar tu casa, venderla y obtener su préstamo de nuevo. Parecía infalible.
Por supuesto, no lo era. Los banqueros no se preguntaron qué sucedería con el precio de los bienes inmuebles si cientos de bancos estaban todos intentando vender millones de casas a la vez. Ni siquiera se preguntaron si los precios podrían continuar subiendo significativamente más rápido que la inflación. Realmente parecían pensar que los precios de las casas podían subir un 10-15 % en términos reales cada año indefinidamente. Todavía estaban instando a los organismos reguladores a relajar las reglas y permitirles prestar incluso más dinero cuando el mercado inmobiliario ya había tocado fondo.
Muchos de los modelos matemáticos actuales más sofisticados de los sistemas financieros pueden tener origen en el movimiento browniano. Cuando vieron a través de un microscopio pequeñas partículas suspendidas en un fluido que se movían de un lado a otro de modo irregular, Einstein y Smoluchowski desarrollaron modelos matemáticos de este proceso y los usaron para establecer la existencia de átomos. El modelo habitual asume que las partículas reciben patadas aleatorias a través de distancias cuya distribución de probabilidad es normal, una campana de Gauss. La dirección de cada patada está distribuida uniformemente, cualquier dirección tiene la misma probabilidad de suceder. Este proceso se llama un camino aleatorio. El modelo del movimiento browniano es una versión continua de dichos caminos aleatorios, en los que los tamaños de las patadas y el tiempo entre patadas sucesivas se hace arbitrariamente pequeño. Intuitivamente, consideramos infinitas patadas infinitesimales.
Las propiedades estadísticas del movimiento browniano, a lo largo de un gran número de pruebas, están determinadas por una distribución de probabilidad, que da las posibilidades de que las partículas acaben en una localización concreta después de un tiempo dado. La distribución tiene simetría radial; la probabilidad depende solo de lo lejos que esté el punto del origen. Inicialmente la partícula es muy posible que esté cerca del origen, pero a medida que el tiempo pasa, el rango de posiciones posibles se amplía, ya que la partícula tiene más opciones de explorar regiones distantes en el espacio. Sorprendentemente, la evolución del tiempo de esta distribución de probabilidad obedece a la ecuación del calor, que en este contexto con frecuencia se llama ecuación de difusión. De modo que la probabilidad se extiende como el calor.
Después de que Einstein y Smoluchowski publicasen su trabajo, resultó que mucho del contenido matemático había sido obtenido con anterioridad, en 1900, por el matemático francés Louis Bachelier en su tesis de doctorado. Pero Bachelier tenía una aplicación diferente en mente, los mercados de valores y opciones. El título de su tesis era "Théorie de la speculation" (Teoría de la especulación). El trabajo no fue recibido con gran entusiasmo, probablemente porque el tema estaba fuera del rango normal de las matemáticas en esa época. El director de tesis de Bachelier era el célebre y formidable matemático Henri Poincaré, quien declaró que el trabajo era «muy original». Él también descubrió el pastel de algún modo, añadiendo, con referencia a la parte de la tesis que obtenía la distribución normal para errores: «Es lamentable que el señor Bachelier no desarrollase más esta parte de su tesis». Lo que cualquier matemático interpretaría como «este era el punto donde las matemáticas empezaban a ponerse realmente interesantes y si tan solo hubiese trabajado más eso, en lugar de las enmarañadas ideas sobre el mercado de valores, habría sido fácil darle una nota mucho mejor».
La tesis recibió una calificación de «honorable», un aprobado, y fue incluso publicada. Pero no obtuvo la nota máxima de «très honorable». A todos los efectos, Bachelier determinaba el principio de que las fluctuaciones del mercado de valores siguen un camino aleatorio. Los tamaños de fluctuaciones sucesivas se ajustan a una campana de Gauss, y la media y la desviación estándar pueden estimarse a partir de los datos de mercado. Una implicación es que fluctuaciones grandes son muy improbables. La razón es que las colas de la distribución normal disminuyen muy rápido, más rápido que exponencialmente. La campana de Gauss decrece hacia cero a una velocidad que es exponencial en el cuadrado de x. Los estadísticos (y físicos y analistas de mercados) hablan de fluctuaciones dos sigma, tres sigma, etcétera. Aquí sigma (σ) es la desviación estándar, una medida de cómo de ancha es la campana de Gauss.
Una fluctuación 3 sigma, por ejemplo, es una que se desvía de la media al menos tres veces la desviación estándar. Las matemáticas de la campana de Gauss asignan probabilidades a estos «sucesos extremos» (véase la siguiente tabla).
Probabilidades de los sucesos n-sigma

El resultado del modelo de movimiento browniano de Bachelier es que fluctuaciones grandes del mercado de valores son tan raras que en la práctica nunca deberían darse. La tabla muestra que un suceso 5-sigma, por ejemplo, se espera que ocurra 6 veces en 10 millones de intentos. Sin embargo, los datos del mercado de valores muestran que son mucho más comunes que eso. Las acciones en Cisco Systems, un líder mundial en comunicaciones, han experimentado diez sucesos 5-sigma en los últimos veinte años, mientras que el movimiento browniano predice 0,003 de ellos. En el lunes negro (19 de octubre de 1987) el mercado de valores mundial perdió más de un 20 % de su valor en unas pocas horas, un suceso tan extremo debería haber sido prácticamente imposible.
Los datos sugieren de manera inequívoca que los sucesos extremos no son de ninguna manera próximos a ser tan raros como el movimiento browniano predice. La distribución de probabilidad no se desvanece exponencialmente (o más rápido), se desvanece como una curva del modo x–a para alguna constante positiva a. En la jerga financiera, dicha distribución se dice que tiene una cola pesada. Las colas pesadas indican niveles de riesgo mayor. Si la inversión tiene una rentabilidad esperada de 5-sigma, entonces asumiendo el movimiento browniano, las posibilidades de que fracase son menos de una entre un millón. Pero si las colas son pesadas, podría ser mucho mayor, quizá una entre cien. Eso la hace una apuesta mucho más pobre.
Un término relacionado, hecho popular por Nassim Nicholas Taleb, un experto en matemáticas financieras, es «eventos del cisne negro». Su libro de 2007 "El cisne negro" se convirtió en un gran best seller. En la Antigüedad, todos los cisnes conocidos eran blancos. El poeta Décimo Junio Juvenal se refiere a algo como «un raro pájaro en las tierras, y muy parecido a un cisne negro», para indicar que era imposible. La frase se usaba mucho en el siglo XVI, tanto como nosotros podríamos referirnos a un burro volando. Pero en 1697, cuando el explorador holandés Willem de Vlamingh fue al bien llamado río Swan en la Australia occidental, encontró montones de cisnes negros. La frase cambió su significado, y ahora se refiere a una suposición que parece estar basada en hechos, pero podría en cualquier momento resultar ser totalmente errónea.
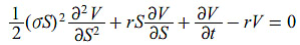
Estos análisis iniciales de los mercados en términos matemáticos fomentaron la seductora idea de que se podía hacer un modelo matemático del mercado, creando un modo racional y seguro de hacer cantidades de dinero ilimitadas. En 1973, parecía que el sueño podría hacerse real, cuando Fischer Black y Myron Scholes introdujeron un método para poner precio a las opciones: la ecuación de Black-Scholes. Robert Merton proporcionó un análisis matemático de su modelo el mismo año y lo amplió. La ecuación es:

Hay cinco cantidades distintas involucradas: el tiempo t, el precio S de la mercancía, el precio V del derivado, que depende de S y de t, la tasa de interés libre de riesgo r (el interés teórico que puede ganarse con una inversión con riesgo cero, como los bonos del Estado) y la volatilidad S2 de las acciones. Es también matemáticamente sofisticada, es una ecuación en derivadas parciales de segundo orden como las ecuaciones de onda y del calor. Expresa la tasa de variación del precio del derivado con respecto al tiempo como una combinación lineal de tres términos: el precio del propio derivado, lo rápido que cambia en relación al precio de la acción y cómo ese cambio acelera. Las otras variables aparecen en los coeficientes de estos términos. Si los términos que representan el precio de los derivados y su tasa de variación se omitiesen, la ecuación sería exactamente la ecuación del calor, describiendo cómo el precio de la opción se extiende por el espacio de precios de las acciones. Esto determina el origen de la suposición del movimiento browniano de Bachelier. Los otros términos tienen en cuenta factores adicionales.
La ecuación de Black-Scholes se obtuvo como una consecuencia de un número de suposiciones financieras simplificadas, por ejemplo, que no hay coste de transacción y no hay límites en las ventas al descubierto, y que es posible prestar y tomar prestado dinero a una tasa de interés conocida, fija y libre de riesgo. La aproximación se llama teoría del arbitraje, y su núcleo matemático vuelve a Bachelier. Asume que los precios de mercado se comportan estadísticamente como el movimiento browniano, en el cual tanto el ritmo de la deriva como la volatilidad del mercado son constantes. La deriva es el movimiento de la media y la volatilidad es jerga financiera para desviación estándar, una medida de la divergencia media a partir de la media. Esta suposición es tan común en la literatura financiera que se ha convertido en un estándar del sector.
Hay dos tipos principales de opciones. En una opción de venta, el comprador de la opción compra lo razonable para vender una mercancía o instrumento financiero en un momento específico por un precio acordado, si así lo desea. Una opción de compra es similar, pero otorga el derecho de comprar en vez de vender. La ecuación de Black-Scholes tiene soluciones explícitas: una fórmula para las opciones de venta, otra para las opciones de compra. Si dichas fórmulas no hubiesen existido, la ecuación podría todavía haberse resuelto numéricamente e implementarse como software. Sin embargo, las fórmulas hacen sencillo calcular el precio recomendado, además de proporcionar una comprensión teórica importante.
La ecuación de Black-Scholes fue concebida para llevar a los mercados futuros cierta racionalidad, lo cual hace de modo efectivo bajo condiciones de mercado normales. Proporciona un modo sistemático de calcular el valor de una opción antes de que venza. Entonces se puede vender. Supongamos, por ejemplo, que un comerciante contrata una compra de 1.000 toneladas de arroz dentro de 12 meses por un precio de 500 por tonelada, una opción de compra. Después de cinco meses, decide vender la opción a alguien que esté dispuesto a comprarla. Todo el mundo sabe cómo el precio del mercado para el arroz ha estado cambiando, de modo que ¿cuánto cuesta ese contrato justo ahora? Si empiezas a comerciar dichas opciones sin saber la respuesta, vas a tener problemas. Si la operación pierde dinero, estás abierto a la acusación de que obtuviste un precio equivocado y tu trabajo podría estar en riesgo. De modo que, ¿cuál debería ser el precio? Comerciar improvisando sobre la marcha deja de ser una opción cuando las cantidades involucradas son de billones. Tiene que haber un modo acordado de poner precio a una opción en un momento determinado antes de que venza. La ecuación hace justo eso. Proporciona una fórmula que cualquiera puede usar, y si tu jefe usa la misma fórmula, obtendrá el mismo resultado que tú, siempre que no cometas errores de cálculo. En la práctica, los dos usaríais un programa informático estándar.
La ecuación era tan efectiva que hizo que Merton y Scholes ganasen el Nobel en Economía en 1997. Black había muerto para entonces y las reglas del premio prohíben premios póstumos, pero su contribución fue explícitamente citada por la Academia Sueca. La efectividad de la ecuación depende del propio comportamiento del mercado. Si las suposiciones tras el modelo dejan de cumplirse, no era inteligente seguir usándola. Pero a medida que el tiempo pasaba y la confianza crecía, muchos banqueros y comerciantes se olvidaron de eso, usaron la ecuación como un tipo de talismán, un poco de magia matemática que los protegía contra las críticas. Black-Scholes no solo te proporcionaba un precio que es razonable bajo condiciones normales, también te cubría las espaldas si la operación era un desastre. No me culpe, jefe, usé la fórmula estándar del sector.
El sector de las finanzas fue rápido en ver las ventajas de la ecuación de Black-Scholes y sus soluciones, e igualmente rápido en desarrollar una gran cantidad de ecuaciones relacionadas con diferentes suposiciones dirigidas a diferentes instrumentos financieros. El entonces sedado mundo de la banca convencional podía usar las ecuaciones para justificar préstamos y transacciones, siempre manteniendo los ojos abiertos ante problemas potenciales. Pero los negocios menos convencionales los seguirían pronto, y estos tenían la fe de un verdadero converso. Para ellos, la posibilidad de que el modelo fuese mal era inconcebible. Pasó a conocerse como la fórmula de Midas, una receta para convertir todo en oro.
Pero el sector financiero se olvidó de cómo acaba la historia del rey Midas. La niña mimada de las finanzas, durante varios años, era una compañía llamada Long Term Capital Management (LTCM). Era un fondo de inversión, un fondo privado que extendió sus inversiones de un modo que estaba pensado para proteger a los inversores cuando el mercado cayese y obtener grandes beneficios cuando subiese. Se especializó en estrategias comerciales basadas en modelos matemáticos, incluyendo la ecuación de Black-Scholes y sus extensiones, junto con técnicas como el arbitraje, que explota las discrepancias entre los precios de bonos y el valor al que pueden realmente llevarse a cabo. Inicialmente LTCM tuvo un éxito espectacular, generando ganancias en la región del 40 % por año hasta 1998. En ese momento perdió 4.600 millones de dólares en menos de cuatro meses, y el Banco de la Reserva Federal convenció a sus mayores acreedores para financiarlo con alrededor de 3.600 millones de dólares. Finalmente los bancos involucrados recuperaron su dinero, pero LTCM fue cerrada en el 2000.
¿Qué fue mal? Hay tantas teorías como comentaristas económicos, pero el consenso es que la causa aproximada del fracaso de LTCM fue la crisis económica rusa de 1998. Los mercados occidentales habían invertido mucho en Rusia, cuya economía era tremendamente dependiente de las exportaciones de petróleo. La crisis económica asiática de 1997 provocó que el precio del petróleo cayese repentinamente, y víctima principal fue la economía rusa. El Banco Mundial dio un préstamo de 22.600 millones de dólares para apoyar a Rusia.
La causa final de la desaparición de LTCM ya era visible desde el día en que empezó a comerciar. Tan pronto como la realidad dejó de obedecer las suposiciones del modelo, LTCM estaba en un serio apuro. La crisis económica rusa fastidió todo y derribó casi todas las suposiciones. Algunos factores tuvieron un efecto más grande que otros. La volatilidad en aumento fue uno de ellos. Otro fue la suposición de que las fluctuaciones extremas ocurren difícilmente: ninguna cola pesada. Pero la crisis sembró los mercados de confusión, y, en el pánico, los precios cayeron enormemente, muchos sigmas, en segundos. Debido a que todos los factores afectados estaban interrelacionados, estos sucesos desencadenaron otros cambios rápidos, tan rápidos que era imposible que los inversores pudiesen saber el estado del mercado en un instante. Incluso aunque quisieran comportarse racionalmente, lo cual la gente no hace en un estado de pánico general, no tenían bases sobre las que hacerlo.
Si el modelo browniano es correcto, los sucesos tan extremos como la crisis financiera rusa no deberían suceder con más frecuencia que una vez en un siglo. Pero ha habido siete en los últimos 40 años: exceso de inversión en el mercado inmobiliario, la ex Unión Soviética, Brasil, mercado inmobiliario (de nuevo), mercado inmobiliario (de nuevo otra vez), empresas punto com , mercado inmobiliario....En retrospectiva, el colapso de LTCM fue una advertencia. Se tomó debida nota de los peligros de comerciar usando una fórmula en un mundo que no obedecía las suposiciones convenientes tras la fórmula y rápidamente se ignoraron. La retrospección está muy bien, pero cualquiera puede ver el peligro después de que haya ocurrido una crisis. ¿Qué pasa con la previsión? La afirmación ortodoxa sobre la reciente crisis financiera global es que, como el primer cisne con plumas negras, nadie la vio venir. Eso no es totalmente cierto.
MARY POOVEY

El Congreso Internacional de Matemáticos es la mayor convención matemática mundial, y tiene lugar cada cuatro años. En agosto de 2002, tuvo lugar en Beijing, y Mary Poovey, catedrática de humanidades y directora del Institute for the Production of Knowledge en la Universidad de Nueva York, dio una conferencia titulada «Can number ensure honesty?» (¿Pueden los números garantizar la honestidad?). El subtítulo era «Unrealistic expectations and the US accounting scandal» (Expectativas no realistas y el escándalo en las cuentas de EE.UU.), y describía la reciente aparición de un «nuevo eje de poder» en las relaciones mundiales. Este eje pasa por las grandes corporaciones multinacionales, muchas de las cuales evitan los impuestos nacionales constituyéndose en paraísos fiscales como Hong Kong. Pasa por bancos de inversión, a través de organizaciones no gubernamentales como el Fondo Monetario Internacional, a través de fondos del Estado y fondos de pensiones corporativos, y a través del bolsillo de los inversores ordinarios. Este eje de poder financiero contribuye a catástrofes económicas como la debacle de 1998 en Japón y los impagos en Argentina en 2001, y deja su rastro en las rotaciones de los índices bursátiles como el Dow Jones y el FTSE 100 de la Bolsa de Londres.
Continuó diciendo que este nuevo eje de poderes no es intrínsecamente ni bueno ni malo; lo que importa es cómo ejerce su poder. Ayudó al crecimiento del nivel de vida en China, que muchos de nosotros consideraríamos como beneficioso. También animó al abandono mundial de las sociedades de bienestar, remplazándolas por una cultura de accionistas, que muchos de nosotros consideraríamos como dañino. Un ejemplo menos polémico de un mal resultado es el escándalo de Enron, que quebró en 2001. Enron era una compañía energética con sede en Texas, y su colapso llevó a lo que entonces fue la mayor bancarrota en la historia de los Estados Unidos, y una pérdida para los accionistas de 11.000 millones de dólares. Enron fue otra advertencia, esta vez sobre las leyes liberalizadoras del mercado. De nuevo, pocos hicieron caso de la advertencia. Poovey lo hizo. Señaló el contraste entre el sistema financiero tradicional, basado en la producción de bienes reales, y el emergente, basado en la inversión, el mercado de divisas y «apuestas complejas sobre si los precios futuros subirán o bajarán». En 1995 esta economía del dinero virtual había superado la economía real de la fabricación. El nuevo eje de poder estaba deliberadamente confundiendo dinero real y virtual; cifras arbitrarias en las cuentas de compañías y dinero y artículos reales. Esta tendencia, defendía, estaba llevando a una cultura en la que los valores tanto de los bienes como de los instrumentos financieros se estaban haciendo terriblemente inestables, propensos a explotar o colapsar con el clic de un ratón.
El artículo ilustraba estos puntos usando cinco técnicas e instrumentos financieros comunes, como «marcar el mercado», en la que una compañía establece una sociedad con un subsidiario. El subsidiario compra una participación en los beneficios futuros de la empresa matriz, el dinero involucrado se registra entonces como ingresos inmediatos por la empresa matriz mientras que el riesgo se relega al balance general del subsidiario. Enron usó esta técnica cuando cambió su estrategia de marketing de vender energía a vender futuros de energía. El gran problema con adelantar potenciales beneficios futuros de esta manera es que no pueden ponerse como beneficios el año siguiente. La respuesta es repetir la maniobra. Es como tratar de conducir un coche sin frenos presionando cada vez más el acelerador. El resultado inevitable es chocar.
El quinto ejemplo de Poovey fueron los derivados, y este fue el más importante de todos porque las sumas de dinero involucradas eran gigantescas. Su análisis refuerza en buena parte lo que ya he dicho. Su conclusión principal fue: «Las operaciones con futuros y derivados están supeditadas a la creencia de que el mercado de valores se comporta de una manera estadísticamente predecible, en otras palabras, que las ecuaciones matemáticas describen exactamente el mercado». Pero indicó que las pruebas señalan en una dirección totalmente diferente: entre un 75 % y un 90 % de todos los inversores de futuros pierden dinero en un año cualquiera. En concreto, dos tipos de derivados estuvieron implicados en la creación de los mercados financieros tóxicos de comienzos del siglo XXI: las permutas de incumplimiento crediticio y las obligaciones de deuda colateralizadas. Una permuta de incumplimiento crediticio es una forma de seguro: pagas tu prima y cobras de una compañía aseguradora si alguien no paga una deuda. Pero cualquiera podía hacer dicho seguro sobre cualquier cosa. No tenía que ser la compañía que lo debiese, o a la que se le debiese la deuda. De modo que un fondo de inversión podía, a todos los efectos, apostar que los clientes de un banco no iban a pagar sus hipotecas, y si sucedía, el fondo de inversión ganaría un dineral incluso aunque no fuese una parte en el contrato de la hipoteca. Esto proporcionaba un incentivo para que los especuladores influyesen en las condiciones de mercado e hiciesen los impagos más probables. Una obligación de deuda colateralizada está basada en una colección (cartera) de activos. Estos pueden ser tangibles, como hipotecas protegidas contra la propiedad real, y pueden ser derivados, o pueden ser una mezcla de ambos. El propietario de los activos vende a los inversores el derecho a una participación de los beneficios de esos activos. El inversor puede jugar sobre seguro y llevarse la primera llamada de los beneficios, pero esto les cuesta más. O pueden asumir el riesgo, pagar menos, y estar más abajo en el orden de picotear para un pago.
Los bancos, los fondos de inversión y otros especuladores comerciaban con ambos tipos de derivados. Se les puso precio usando descendientes de la ecuación de Black-Scholes, de modo que estaban considerados como activos por derecho propio. Los bancos tomaron prestado dinero de otros bancos, de modo que podían prestárselo a la gente que quería hipotecas, aseguraron estos préstamos con propiedades reales y derivados elaborados. Pronto todo el mundo estaba prestando enormes sumas de dinero a todo el mundo, mucho de ello asegurado sobre derivados financieros. Los fondos de inversión y otros especuladores estaban intentando hacer dinero encontrando desastres potenciales y apostando qué les sucedería. El valor de los derivados afectados, y de sus activos reales como la propiedad, se calculaba con frecuencia sobre las bases de marcar el mercado, que está abierto a abusos porque usa procedimientos de contabilidad artificiales y compañías subsidiarias arriesgadas para presentar beneficios futuros estimados como beneficios actuales reales. Prácticamente todo el mundo en el negocio evaluó cómo de arriesgados eran los derivados usando el mismo método, conocido como «valor en riesgo». Este calcula la probabilidad de que la inversión pueda suponer una pérdida que exceda un umbral específico. Por ejemplo, los inversores podrían estar dispuestos a aceptar una pérdida de un millón de dólares si su probabilidad fuese menos de un 5 %, pero no si fuese más probable. Como Black-Scholes, el valor en riesgo asume que no hay colas pesadas.
Quizá la peor característica era que todo el sector financiero estaba estimando sus riesgos usando exactamente el mismo método. Si el método era el culpable, esto crearía una desilusión compartida de que el riesgo era bajo cuando en realidad era mucho más alto. Era un choque de trenes esperando a suceder, un dibujo animado que había caminado un kilómetro más allá del límite del precipicio y permanecía suspendido en medio del aire solo porque se negaba rotundamente a mirar qué había bajo sus pies. Como Poovey, y otros como ella, había advertido repetidamente, los modelos usados para valorar los productos financieros y estimar sus riesgos incorporaban suposiciones simplificadas que no representaban exactamente los mercados reales y los peligros inherentes a ellos. Los jugadores del mercado financiero ignoraron estos avisos. Seis años más tarde, todos averiguamos por qué esto era un error.
Quizá haya un camino mejor.
La ecuación de Black-Scholes cambió el mundo creando una industria en auge de miles de billones de dólares; su generalización, usada de modo poco inteligente por un pequeño círculo de banqueros, cambió el mundo de nuevo contribuyendo a una quiebra financiera de miles de billones de dólares cuyos efectos cada vez más malignos, que ahora se extienden a economías nacionales enteras, están todavía sintiéndose por todo el mundo. La ecuación pertenece al reino de las matemáticas continuas clásicas, que tiene sus raíces en las ecuaciones en derivadas parciales de la física matemática. Este es un reino en el que las cantidades son infinitamente divisibles, el tiempo fluye de modo continuo y las variables cambian suavemente. La técnica funciona para la física matemática, pero parece menos apropiada para el mundo de las finanzas, donde el dinero viene en paquetes discretos, las operaciones se dan de una en una (aunque muy rápido), y muchas variables pueden cambiar erráticamente.
La ecuación de Black-Scholes está también basada en las suposiciones tradicionales de la economía matemática clásica: información perfecta, racionalidad perfecta, equilibrio de mercado, la ley de la oferta y la demanda. La asignatura se ha enseñado durante décadas como si estas cosas fuesen axiomáticas y muchos economistas cualificados nunca las han cuestionado. Aunque carecen de apoyo empírico convincente. En las pocas ocasiones en que alguien hace experimentos para observar cómo la gente toma sus decisiones económicas, los escenarios clásicos normalmente fallan. Es como si los astrónomos hubiesen pasado los últimos cien años calculando cómo los planetas se mueven basados en lo que creían que era razonable, sin realmente molestarse en comprobar si realmente lo era.
No es que la economía clásica esté completamente equivocada. Pero está equivocada con más frecuencia de lo que sus defensores afirman, y cuando se equivoca, se equivoca muchísimo. De modo que los físicos, matemáticos y economistas están buscando modelos mejores. Al frente de estos esfuerzos están los modelos basados en la ciencia de la complejidad, una nueva rama de las matemáticas que remplaza el pensamiento continuo clásico por una colección explícita de agentes individuales interactuando según unas reglas específicas.
Un modelo clásico de movimiento de precios de algunas mercancías, por ejemplo, asume que en cualquier instante hay un único precio «justo», en principio conocido por todo el mundo, y que los posibles compradores comparan este precio con una función de utilidad (cómo de útil les es la mercancía); sólo compran la mercancía si su utilidad es mayor que su coste. Un modelo de sistemas complejos es muy diferente. Podría implicar, por ejemplo, diez mil agentes, cada uno con su propia visión de lo que vale la mercancía y cómo de deseable es. Algunos agentes sabrían más que otros, algunos tendrían información más precisa que otros, muchos pertenecerían a pequeñas redes que comercian con información (precisa o no) lo mismo que dinero o bienes.
Ha surgido una variedad de características interesante a partir de estos modelos. Uno es el papel del instinto gregario. Los agentes de bolsa tienden a copiar a otros agentes de bolsa. Si no lo hacen, y resulta que los otros estaban tras algo bueno, sus jefes no estarán contentos. Por otro lado, si siguen a la manada y todo el mundo se equivoca, tienen una buena excusa: es lo que todo el mundo estaba haciendo. Black-Scholes era perfecta para el instinto gregario. De hecho, prácticamente toda crisis económica en el último siglo ha sido llevada al extremo por el instinto gregario. En lugar de que algunos bancos invirtieran en el mercado inmobiliario y otros en la industria, por ejemplo, todos se precipitaron sobre el mercado inmobiliario. Esto sobrecarga el mercado, con demasiado dinero buscando demasiadas pocas propiedades, y todo se hace trizas. De modo que ahora todos se precipitan en préstamos a Brasil o a Rusia, o vuelven a un nuevamente revivido mercado inmobiliario, o pierden la cabeza con compañías punto com, tres niños en una habitación con un ordenador y un módem se valoran diez veces más que un gran fabricante con un producto real, clientes reales y fábricas y oficinas reales. Cuando todo queda patas arriba, todos se precipitan en el mercado de las hipotecas subprime...
Esto no es hipotético. Incluso cuando las repercusiones de la crisis económica global hacen retumbar las vidas de la gente normal, y las economías nacionales luchan por mantenerse a flote, hay señales de que no se ha aprendido ninguna lección. Una repetición de la moda pasajera de las compañías de Internet está en progreso, ahora encabezada por las webs de redes sociales: Facebook ha sido valorado en 100.000 millones de dólares, y Twitter (X) (la web donde los famosos envían tuits de 140 caracteres a sus devotos seguidores) ha sido valorada en 8.000 millones de dólares a pesar de no haber obtenido beneficios nunca. El Fondo Monetario Internacional ha advertido fuertemente sobre los fondos negociables de mercado (ETFs por sus siglas en inglés, Exchange Traded Funds), un modo muy exitoso de invertir en artículos como petróleo, oro o trigo sin realmente comprar nada.
Todos ellos han elevado sus precios de modo muy rápido, proporcionando grandes beneficios para fondos de pensión y otros grandes inversores, pero el FMI ha advertido que estos vehículos de inversión tienen «todos los sellos de una burbuja esperando a reventar ... reminiscencias de lo que ha ocurrido en el mercado de las titularizaciones antes de la crisis». Los ETFs son muy parecidos a los derivados que desencadenaron la crisis de crédito, pero asegurados en mercancías en lugar de propiedades. La estampida hacia los ETFs ha llevado a los precios de las mercancías hasta el tope, inflándolos más allá de toda proporción con la demanda real. Ahora mucha gente en el tercer mundo no es capaz de ahorrar para alimentación básica porque los especuladores de los países desarrollados están haciendo grandes apuestas sobre el trigo. La destitución de Hosni Mubarak en Egipto fue, hasta cierto punto, impulsada por los enormes incrementos en el precio del pan.
El principal peligro es que los ETFs están empezando a reinventarse como más derivados, como las obligaciones de deuda colateralizadas y las permutas de incumplimiento crediticio que reventaron la burbuja de las hipotecas subprime. Si la burbuja de las mercancías revienta, podríamos ver una repetición del colapso, basta cambiar la palabra «propiedad» por «mercancías». Los precios de las mercancías son muy volátiles, de modo que los ETFs son inversiones de alto riesgo, no una gran elección para un fondo de pensiones. Así que una vez más, de nuevo, se está animando a los inversores a hacer apuestas cada vez más complejas y cada vez más arriesgadas, a usar dinero que no tienen para comprar participaciones en cosas que no quieren y no pueden usar, con el fin de beneficios especulativos, mientras que la gente que quiere cosas ya no puede permitírselas.
ECONOMIA Y ECOLOGIA

La economía no es la única área que descubre que sus preciadas teorías tradicionales ya no funcionan en un mundo cada vez más complejo, donde las viejas reglas ya no se aplican. Otra es la ecología, el estudio de los sistemas naturales como los bosques o los arrecifes de coral. De hecho, la economía y la ecología son increíblemente parecidas en muchos aspectos. Algunos de sus parecidos son ilusorios; históricamente con frecuencia cada una ha usado a la otra para justificar sus modelos, en lugar de comparar los modelos con el mundo real. Pero otros son reales; las interacciones entre grandes cantidades de organismos son muy parecidas a las que hay entre grandes cantidades de agentes de bolsa. Este parecido puede usarse como una analogía, en cuyo caso es peligroso porque las analogías con frecuencia fracasan. O puede usarse como una fuente de inspiración, tomando prestado técnicas para hacer modelos de la ecología y aplicarlas de forma adecuadamente modificada en la economía.
En enero de 2011, en la revista Nature, Andrew Haldane y Robert May señalaron algunas posibilidades. Sus argumentos refuerzan varios de los mensajes que han aparecido en este artículo, y sugieren modos de mejorar la estabilidad de los sistemas económicos. Haldane y May observaron un aspecto de la crisis económica que yo no he mencionado todavía: cómo los derivados afectan a la estabilidad de los sistemas financieros. Comparan la visión preponderante de los economistas ortodoxos, que mantienen que el mercado automáticamente busca un equilibrio estable, con una visión similar en la ecología de la década de los sesenta del siglo XX, la de que el «equilibrio de la naturaleza» tiende a mantener los ecosistemas estables. De hecho, en esa época muchos ecologistas pensaban que cualquier ecosistema suficientemente complejo sería estable de este modo, y que el comportamiento inestable, como las oscilaciones continuas, implicaba que el sistema no era lo suficiente complejo. De hecho, la comprensión actual indica exactamente lo contrario. Supongamos que un gran número de especies interactúa en un ecosistema. Como la red de interacciones ecológicas se hace más compleja a través de la adición de nuevos vínculos entre especies, o las interacciones se hacen más fuertes, hay un umbral muy marcado más allá del cual el ecosistema deja de ser estable. (Aquí el caos cuenta como estabilidad, las fluctuaciones pueden suceder siempre que permanezcan dentro de unos límites específicos.)
Este descubrimiento llevó a los ecologistas a buscar tipos especiales de redes de interacción, inusualmente propicias para la estabilidad. ¿Sería posible transferir estos descubrimientos ecológicos a la economía global? Hay analogías cercanas, con comida o energía en ecología que se corresponden con el dinero en un sistema financiero. Haldane y May eran conscientes de que esta analogía no debería usarse directamente; comentaron: «en los ecosistemas financieros, las fuerzas evolutivas con frecuencia han sido supervivientes de lo más rápido más que de lo más fuerte». Decidieron construir modelos financieros no imitando modelos ecológicos, sino explotando los principios de modelado generales que habían llevado a una mejor comprensión de los ecosistemas. Desarrollaron varios modelos económicos, mostrando en cada caso que, bajo las circunstancias adecuadas, los sistemas económicos se harían inestables. Los ecologistas lidian con un ecosistema inestable manejándolo de un modo que crea estabilidad. Los epidemiólogos hacen lo mismo con la epidemia de una enfermedad, esto es, porque, por ejemplo, el gobierno británico desarrolló una política para controlar la epidemia de la fiebre aftosa en 2001 matando rápidamente reses en las granjas cercanas a cualquiera que hubiese resultado positiva para la enfermedad, y deteniendo todo movimiento de reses en el país. De ese modo, la respuesta de los reguladores del gobierno a un sistema financiero inestable debería ser tomar acciones para estabilizarlo.
Hasta cierto punto, ahora están haciendo esto, después del pánico inicial tras el cual dieron enormes cantidades de dinero de los contribuyentes a los bancos, pero omitieron imponer condiciones más allá de promesas vagas que no se han mantenido. Sin embargo, las nuevas regulaciones en buena parte fracasan en dirigirse al problema real, que es el diseño pobre del propio sistema financiero. La facilidad para transferir billones con el clic de un ratón quizá permita beneficios cada vez más rápidos, pero también permite que los impactos se propaguen más rápido, y anima a una complejidad cada vez mayor. Ambas cosas son desestabilizadoras. El no aplicar impuestos sobre las transacciones financieras permite a los agentes explotar esta velocidad, haciendo apuestas mayores en el mercado, a una velocidad mayor. Esto también tiende a crear inestabilidad. Los ingenieros saben que el modo de obtener una respuesta rápida es usar un sistema inestable; la estabilidad por definición indica una resistencia innata al cambio, mientras que una respuesta rápida requiere lo opuesto. De modo que la búsqueda para beneficios cada vez mayores ha provocado que se desarrolle un sistema financiero cada vez más inestable.
Aunque construyendo de nuevo sobre analogías con ecosistemas, Haldane y May ofrecen algunos ejemplos de cómo la estabilidad podría aumentar. Algunas corresponden a los instintos propios de los reguladores, como requerir a los bancos tener más capital, que los amortigüe contra los impactos. Otros no; un ejemplo es la sugerencia de que los reguladores deberían centrarse no en los riesgos asociados con los bancos individuales, sino en los asociados con el sistema financiero completo. La complejidad del mercado de derivados podría reducirse requiriendo que todas las transacciones pasen a través de una cámara de compensación central. Esto tendría que ser extremadamente robusto, apoyado por todas las naciones importantes, pero si existiese, entonces la propagación de impactos se apaciguaría ya que tiene que pasar a través de ella.
Otra sugerencia es una diversidad cada vez mayor en los métodos de comerciar y en la valoración de riesgos. Una monocultura ecológica es inestable porque cualquier impacto que ocurre es probable que afecte a todo a la vez del mismo modo. Cuando todos los bancos están usando los mismos métodos para evaluar los riesgos, surge el mismo problema: cuando se equivocan, todos se equivocan a la vez. La crisis económica surgió en parte porque todos los bancos principales estaban financiando sus lastres potenciales del mismo modo, evaluando el valor de sus recursos del mismo modo, y evaluando sus riesgos probables del mismo modo.
La sugerencia final es la modularidad. Se cree que los ecosistemas se estabilizan a sí mismos organizándose (a través de la evolución) en módulos más o menos autónomos, conectados unos a otros de una manera bastante simple. La modularidad ayuda a prevenir la propagación de impactos. Por eso los reguladores de todo el mundo están pensando seriamente romper los grandes bancos y remplazarlos por una cantidad de bancos más pequeños. Como Alan Greenspan, un distinguido economista norteamericano y expresidente de la Reserva Federal de EE.UU., dijo de los bancos: «Si son demasiado grandes para fracasar, son demasiado grandes».
Entonces, ¿fue una ecuación la culpable de la crisis financiera? Una ecuación es una herramienta, y, como toda herramienta, tiene que ser empuñada por alguien que sabe cómo usarla, y con los fines correctos. La ecuación de Black-Scholes quizá haya contribuido a la crisis, pero solo porque se abusó de ella. No es más responsable del desastre de lo que habría sido el ordenador de un agente de bolsa si su uso llevase a una pérdida catastrófica. La culpa del fracaso de las herramientas debería recaer en aquellos que son responsables de su uso. Existe el peligro de que el sector financiero pueda dar la espalda al análisis matemático, cuando lo que realmente necesita es un rango mejor de modelos y, significativamente, una comprensión sólida de sus limitaciones. El sistema financiero es demasiado complejo para que sea dirigido por corazonadas humanas y razonamientos vagos. Necesita desesperadamente más matemáticas, no menos. Pero también necesita aprender cómo usar las matemáticas de manera inteligente, más que algún tipo de talismán mágico.
© 2020 JAVIER DE LUCAS