Hasta hace muy poco, cuestiones fundamentales como la creación del Universo o la naturaleza última del espacio y el tiempo pertenecían al campo de la metafísica o la filosofía. Sin embargo, el avance de la física fundamental no solo ha incluido estas cuestiones dentro del ámbito de la ciencia sino que ha sido capaz de proponer modelos físicos plausibles para explicar dichas cuestiones. La cosmología cuántica trata de explicar el comienzo del Universo aplicando los principios de la mecánica cuántica (MC) al Universo completo. En este artículo veremos algunas de las consecuencias más fascinantes de esta rama de la física fundamental incluyendo propuestas concretas sobre la creación del Universo y la naturaleza última del espacio-tiempo.
Cosmología Cuántica
Los principios de la mecánica cuántica incluyen uno de los efectos físicos más extraños que se conocen: la superposición o entrelazamiento cuántico. Este principio implica que cualquier sistema cuántico no aislado quedará entrelazado con el entorno. El Universo no es un sistema aislado, por lo que es de esperar que los estados cuánticos iniciales que dieron lugar al Universo que conocemos estuviesen afectados por entrelazamiento cuántico. Este hecho, junto con el hecho de que el Universo es cuántico a nivel fundamental, nos lleva al concepto de función de onda del Universo. Pero, ¿Como podemos definir algo así?
Como sabemos, el Universo a gran escala está descrito por la relatividad general (RG) pero a escalas pequeñas está descrito por la mecánica cuántica, así que para conseguir aproximarnos a una función de onda del Universo completo debemos tratar de cuantizar las ecuaciones de la relatividad general.
Esto puede realizarse en 3 pasos:
1º) En MC se usan dos operadores fundamentales: el operador posición q y el operador momento p, por ello debemos encontrar el equivalente a q y p en las ecuaciones de la RG. Para ello debemos separar el espacio y el tiempo de la RG: suponiendo que el eje x es el espacio y el eje y es el tiempo partimos el eje x en "rodajas" horizontales (space-like). A cada "rodaja" (que representa todo el espacio en un instante de tiempo) le corresponde una métrica h(x); ésta será la variable de la RG que juega el papel de la posición q. El momento p describe cómo cambia la posición en el tiempo, así que debemos encontrar el equivalente al cambio de la posición h(x) en el tiempo en la RG. Esto está dado precisamente por la curvatura extrínseca pi(x) que define cómo cambia la métrica (el equivalente a q) en el tiempo. De esta forma ya tenemos el equivalente a q y p en la RG: h(x) y pi(x).
2º) Una de las principales características de la RG es que todos los puntos del espacio-tiempo son idénticos, no hay sistemas de referencia privilegiados. Cada punto del espacio-tiempo se define por 4 coordenadas: 3 espaciales y 1 temporal. La coordenada temporal debe cumplir el siguiente requerimiento (este el equivalente al requerimiento clásico p2+m2=0 que representa la invarianza ante reparametrizaciones del tiempo):

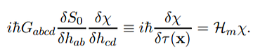
Donde raizh=raiz del determinante de la métrica 3-dimensional, R=escalar de curvatura de las 3 dimensiones espaciales y Hm=Hamiltoniano de los campos no gravitatorios. Gabcd depende de la métrica y representa una métrica concreta dentro del espacio de todas las métricas posibles.
 
3º) Como es sabido, en MC los operadores p y q no conmutan: [p,q]= ih, por tanto, debemos imponer que h(x) y pi(x) satisfagan las relaciones de conmutación estándar de la MC, es decir:
![]()
Con solo estos tres pasos ya tenemos cuantizada (en aproximación semiclásica) la RG :

Esta ecuación se llama ecuación de Wheeler-DeWitt y es una de las ecuaciones fundamentales de la gravedad cuántica (semiclásica). Esta ecuación se compone de dos partes bien diferenciadas: la primera parte del paréntesis (hasta Hm) es el hamiltoniano correspondiente a los campos gravitatorios mientras que la segunda parte Hm representa el hamiltoniano de los campos de materia. De esta forma la ecuación se puede expresar como:

Donde Htot es la suma de los campos gravitatorios y los campos de materia.
La función de onda del Universo
La función de onda que aparece en la ecuación de Wheeler-DeWitt es la función de onda del Universo. Esta tiene varias características que pueden describir cualidades fundamentales del Universo que habitamos:
1º) La función de onda del Universo solo depende de la geometría de las tres dimensiones espaciales y no depende del tiempo. Además no depende de una geometría concreta sino de todas las posibles geometrías tridimensionales. Este espacio de todas las posibles geometrías se llama superespacio.
2º) Implica la existencia de una longitud mínima: la longitud de Planck por debajo de la cual la función de onda no tiene sentido. En la práctica la ecuación de Wheeler-DeWitt es muy difícil de resolver y solo se puede hacer de forma aproximada considerando finitos grados de libertad y estableciendo ciertas condiciones de contorno.
La emergencia del tiempo y del Universo clásico
En la ecuación de Wheeler-DeWitt, en la parte correspondiente a los campos gravitatorios, la escala natural que aparece es la longitud de planck que es muchísimo más pequeña que cualquier escala que aparezca en los campos de materia. Esto nos permite expresar esta parte de la ecuación en potencias de h y por tanto calcular la ecuación en diferentes ordenes de aproximación:

En esta ecuación, So es la ecuación de Hamilton-Jacobi de la gravedad y representa las ecuaciones de campo de la relatividad general. A la ecuación anterior la podemos asignar una serie de trayectorias clásicas ortogonales a So; cada trayectoria representa un espacio-tiempo completo, de esta forma la ecuación anterior representa un superespacio con todos los espacio-tiempos posibles que cumplen la ecuación de Wheeler-DeWitt.

donde x depende de los campos de materia y obedece la ecuación:

Esta ecuación es equivalente a la ecuación de Schrodinger para campos de materia propagándose en nuestro espacio-tiempo usual.
Al incluir los campos de materia la ecuación de Wheeler-DeWitt parece "colapsar" y se convierte en la ecuación de Schrodinger "usual".
Sin embargo, aun falta resolver un pequeño problema: la ecuación anterior, aunque ya es clásica, continua todavía describiendo una superposición de geometrías clásicas en lugar de un espacio-tiempo concreto. Por ejemplo, la ecuación incluye también su conjugado complejo, lo cual imposibilita recuperar totalmente la ecuación de Schrodinger usual. El problema es debido a que la función de onda del Universo contiene un enorme número de correlaciones (entrelazamiento) entre un gran número de grados de libertad, la mayoría de los cuales son inobservables. La solución a este problema consiste en utilizar la llamada "matriz densidad" usando solo los grados de libertad relevantes. El principal grado de libertad a considerar es el factor de escala, si tenemos en cuenta solamente este factor obtenemos que la indeseada interferencia se suprime excepto para valores muy pequeños del factor de escala. Esto quiere decir que el Universo se vuelve clásico a medida que aumenta de tamaño. Esto explica la emergencia de nuestro Universo clásico a partir de la superposición cuántica de posibles Universos.
La emergencia del tiempo
A continuación nos enfrentamos con uno de los problemas más intrigantes: ¿Como aparece el tiempo en la ecuación atemporal de Wheeler-DeWitt? La clave está en la relación entre los campos de materia y los campos gravitatorios: los primeros cumplen la segunda ley de la termodinámica y por tanto tienden a aumentar la entropía (tienden a un equilibrio homogéneo) mientras que los segundos tienden a disminuir la entropía (tienden a comprimir la materia y formar grumos). Experimentalmente sabemos que las condiciones clásicas de partida de nuestro Universo consisten en un Universo homogéneo e isótropo (métrica FLRW); la clave es entonces encontrar una condición inicial del Universo de muy baja entropía que evolucione hasta un estado de alta entropía. Esta condición puede satisfacerse de forma satisfactoria si usamos el mismo requisito que consideramos en el apartado anterior: la condición de que la función de onda del Universo dependa solamente del factor de escala.
Para valores pequeños del factor de escala, el número de grados de libertad es bajo y por tanto la entropía es baja. De esta forma se consigue obtener una resolución coherente y satisfactoria: a pequeñas escalas el Universo es una superposición de posibles geometrías tal y como dictan los principios de la mecánica cuántica; según aumenta el factor de escala, aumentan los grados de libertad disponibles y por tanto la decoherencia implica la recuperación del Universo clásico, la ecuación de Schrodinger y su tiempo inherente. De esta forma la flecha del tiempo está unida a la expansión del Universo. Algunos trabajos basados en el estudio del CMB como éste apuntan a la posibilidad de que nuestro Universo sea cerrado; esto implicaría la posibilidad de que el Universo frenara su expansión y comenzase a contraerse lo que podría implicar algo increíble: ¡la flecha del tiempo podría invertirse !
Interpretaciones de la Mecánica Cuántica
Como apartado final a este artículo hay que añadir una breve reflexión sobre lo que se denomina las "interpretaciones de la MC". Como es sabido, más de un siglo después de su descubrimiento, no existe un consenso entre los físicos sobre la forma más adecuada de interpretar las extrañas características del mundo cuántico. Probablemente la interpretación más usada es la llamada "interpretación de Copenhage", sin embargo, si nos basamos en nuestros conocimientos sobre gravedad cuántica y cosmología cuántica, esta no parece ser la interpretación más acorde a lo que nos dicta la teoría. Esta parece apuntar más en la dirección de la "suma de historias" de Richard Feynman ,
indicando de forma general la existencia de una superposición de geometrías-topologías. Esto apunta a la existencia de un tipo de Multiverso y por tanto a una interpretación más alineada a la propuesta por Hugh Everett en 1958.
© Javier De Lucas 2020