Para describir los fenómenos naturales, los físicos utilizan ecuaciones matemáticas que representan las leyes de la naturaleza. Las soluciones de estas ecuaciones describen el comportamiento de los cuerpos materiales y sus interacciones mutuas, en condiciones específicas. Sin embargo, la existencia de una solución no es garantía de que ocurra en la naturaleza el fenómeno que describe.
Consideremos por ejemplo, el caso de una canica en equilibrio sobre la punta de un alfiler. Las ecuaciones de la mecánica clásica admiten una solución que describe exactamente esa situación; sin embargo, un análisis más completo de esas mismas ecuaciones revela lo que se conoce por experiencia: la solución es matemáticamente correcta pero inestable ya que cualquier perturbación externa, por pequeña que sea, destruye el equilibrio de la canica. Por el contrario, si la canica se encuentra en el fondo de un agujero, una perturbación externa no altera drásticamente su posición. En resumen, para que una solución exacta de las ecuaciones de la mecánica describa una situación posible, debe ser, además, una solución estable.
En la teoría de la relatividad general la curvatura del espacio-tiempo se calcula por medio de la ecuación de Einstein, que relaciona esta curvatura con la cantidad de materia presente. Una clase de soluciones de esta ecuación describe a los agujeros negros, la existencia de los cuales no está asegurada a priori sino que debe confirmarse por medio de observaciones astronómicas.
La solución de Schwarzschild no es la única solución de la ecuación de Einstein que corresponde a un agujero negro. En el presente ensayo estudiaremos las clases de agujeros negros que, en principio, pueden existir y la curiosa estructura geométrica del espacio-tiempo que generan.
EL ESPACIO-TIEMPO DE SCHWARZSCHILD: AGUJEROS NEGROS
Un espacio curvo se puede describir matemáticamente, pero es imposible de visualizar o dibujar, a menos de que el número de dimensiones sea dos. Para tener una imagen pictórica del espacio-tiempo curvo, conviene considerar sólo una sección bidimensional de él. Una manera de lograr esto es representar sólo aquellos sucesos que ocurren en un momento dado y en cierto plano espacial.
Empecemos con el espacio-tiempo de Minkowski. Definimos el plano de simultaneidad como el conjunto de sucesos que ocurren en algún plano espacial a un mismo tiempo; este tiempo depende, por supuesto, del observador que lo mide, por lo que distintos observadores definirán planos de simultaneidad diferentes. Por ejemplo, el conjunto de sucesos que ocurren sobre la superficie de una mesa a las 3 P.M. hora de Greenwich, es un plano de simultaneidad (Figura 1). La ventaja de esta construcción es que el plano de simultaneidad es una superficie de dos dimensiones, que podemos visualizar y dibujar. Hay que notar, sin embargo, que este plano no puede observarse directamente porque la luz tarda un cierto tiempo en ir de un punto a otro. Un observador que se encuentra sobre la mesa del ejemplo anterior verá unicamente el punto-suceso donde él se encuentra a las 3 P.M.; un segundo después verá los sucesos que ocurrieron a las 3 P.M. a 300 000 km de distancia de él sobre la superficie de simultaneidad; dos segundos después verá aquellos que ocurrieron a 600 000 km; y así sucesivamente; mientras más espera, más puntos-sucesos del plano podrá observar (pero él ya no estará en el plano de simultaneidad, aunque sí en la mesa, porque su reloj ya no marca las 3 P.M.).

Supongamos ahora que colocamos una esfera masiva en el espacio-tiempo. Afuera de la esfera, el espacio-tiempo es el de Schwarzschild y dentro de ella es de alguna otra forma (que no nos interesa por ahora para nuestros fines). El plano de simultaneidad se vuelve una superficie de simultaneidad deformada, tal como se muestra en la figura 2.

Si la esfera se contrae, la forma de la superficie de simultaneidad correspondiente a tiempos distintos no es la misma. Un observador lejano verá a la esfera contraerse y acercarse, sin nunca alcanzar su radio de Schwarzschild correspondiente; en consecuencia, la superficie de simultaneidad correspondiente al tiempo del observador externo tendrá una forma que depende del tiempo considerado, tal como se muestra en la figura 3. Hay que notar, además, que lejos de la esfera masiva, la superficie de simultaneidad es plana; esto es consecuencia de que la atracción gravitacional de la esfera disminuye con la distancia, por lo que lejos de ella, el espacio-tiempo se vuelve plano.

Como vimos anteriormente, el colapso de una esfera masiva tiene una apariencia muy distinta para un observador montado en ella; tal observador cruza el radio de Schwarzschild, penetra al agujero negro —cuya formación presencia— prosigue su viaje con la esfera hasta llegar a la singularidad en el centro del agujero negro, donde termina su existencia.
Si construimos las superficies de simultaneidad asociadas al tiempo del observador que penetra al aguejero negro, tendremos una sucesión como la mostrada en la figura 4. En este caso, aparece el interior del aguejero negro y, finalmente, surge la singularidad cuando la esfera masiva se concentra toda en un punto. En algún momento, el observador que penetró al aguejero negro choca con la singularidad y termina definitivamente su viaje.

EL ESPACIO-TIEMPO DE SCHWARZSCHILD: AGUJEROS ETERNOS Y AGUJEROS BLANCOS
Hemos señalado varias veces que la solución de Schwarzschild describe el espacio-tiempo en la región alrededor de una esfera masiva, siendo el radio de dicha esfera completamente arbitrario. La solución matemática encontrada por Schwarzschild es válida aun si se supone que el radio de la esfera masiva ha sido cero en todo tiempo o, en otras palabras, si toda la masa ha estado concentrada eternamente en una singularidad. En este caso, la estructura del espacio-tiempo es relativamente simple: un horizonte dentro del cual está una singularidad y fuera de él, a lo lejos, el espacio que tiende a ser plano. Hay que precisar que un objeto así, no es el que se forma por el colapso de un cuerpo masivo; por el contrario, tiene que haber existido desde un pasado infinito y seguir existiendo tal cual durante una eternidad. Por esta razón, es más apropiado llamarlo un agujero eterno. A diferencia de los agujeros negros que se forman por el colapso de la materia, lo cual es un proceso físico perfectamente comprensible, los agujeros eternos son soluciones matemáticas de las ecuación de Einstein cuya realidad es discutible. Sin embargo, la estructura del espacio-tiempo asociada a un agujero eterno es sumamente interesante y vale la pena estudiarla con cierto detalle. Después de todo, la existencia de los agujeros eternos no está excluida a priori y podría representar, en una primera aproximación, alguna propiedad misteriosa del espacio-tiempo.
Consideremos para empezar, la superficie de simultaneidad asociada al tiempo de un observador lejano del agujero eterno. A diferencia del agujero negro, no hay una región correspondiente al interior de una esfera masiva, como en la figura 3, sino que la superficie de simultaneidad toma la forma que se muestra en la figura 5.

Lo más notable de esta estructura es que el espacio-tiempo posee dos regiones que se vuelven planas a lo lejos, de modo tal que aparecen dos universos conectados entre sí a través del agujero eterno. Esta extraña estructura del espacio-tiempo fue descubierta por Einstein y su colaborador Nathan Rosen en los años veinte y ha generado un gran número de especulaciones. Se ha sugerido que podrían existir universos paralelos que se conectarían entre sí a través del llamado puente de Einstein-Rosen. Más aún, John A. Wheeler ha sugerido que los dos universos paralelos podrían ser, en realidad, uno solo (tal como se muestra en la figura 6), en cuyo caso el puente de Einstein-Rosen uniría dos regiones lejanas del espacio: más que un puente se tendría lo que Wheeler llamó un agujero de gusano.

¿Se puede viajar a través del puente de Einstein-Rosen, o al menos, ver a través de él y atisbar ese hipotético universo paralelo? ¡La respuesta es negativa! No hay que olvidar que la superficie de simultaneidad no es directamente observable. Más bien, debemos plantearnos la pregunta: ¿cómo se ve un agujero eterno? cuya contestación contiene nuevas sorpresas.
Un análisis detallado del espacio-tiempo de un agujero eterno muestra que la singularidad es en realidad doble. Existe una singularidad en el pasado y una singularidad en el futuro. Entre las dos, hay un breve momento en el que deja de existir cualquier singularidad; la superficie de simultaneidad correspondiente a ese momento es la que contiene el puente de Einstein-Rosen (es por esta razón que no aparece la singularidad en la figura 5).
Un observador lejano sólo puede ver la singularidad pasada de un agujero eterno, porque sólo se puede observar el pasado. Esta singularidad se verá rodeada de un horizonte que deja pasar la materia y la luz en un solo sentido, pero, a diferencia del agujero negro, este sentido es de ¡adentro hacia afuera! Todo lo que originalmente se encuentra dentro del horizonte es expelido hacia el exterior: un agujero eterno tiene la apariencia de un agujero negro al revés, o lo que se ha bautizado agujero blanco.
El hecho de que la luz sale de un agujero blanco permite ver su singularidad en el pasado, ya que se puede observar el pasado. Por otra parte, un agujero blanco arroja hacia el exterior todo lo que se encuentra dentro de su horizonte, aunque atrae gravitacionalmente todo cuerpo fuera de su horizonte, tal como lo hace cualquier cuerpo masivo. Cualquier cuerpo dentro del horizonte del agujero blanco tuvo que surgir necesariamente de la singularidad en el pasado; esto es exactamente lo contrario de un agujero negro: cualquier cuerpo que esté dentro de su horizonte termina cayendo a la singularidad en el futuro.
Consideremos ahora un observador que decide viajar hacia el agujero eterno. Si inicialmente se encuentra fuera del horizonte, entonces puede cruzar el horizonte de afuera hacia adentro, tal como si se tratara de un agujero negro. Esto no es contradictorio con el hecho de que un agujero blanco expele su contenido. Lo que sucede es que un agujero eterno posee, en el mismo lugar, un horizonte pasado —el del agujero blanco— y un horizonte futuro —el del agujero negro—. Dado que el tiempo fluye en un solo sentido, se observa el pasado y se "viaja" hacia el futuro. Un agujero eterno es blanco en el pasado y negro en el futuro.
Para aclarar lo anterior, sigamos con nuestro observador que se deja caer al agujero eterno. Él verá que se acerca a un agujero blanco cuya singularidad es visible y de la que fluye todo lo que se encuentra dentro del horizonte. En algún momento llegará al horizonte y penetrará a lo que, en el futuro, actuará para él como un agujero negro. En el instante en que cruza el horizonte tendrá una visión sólo reservada a los que se atreven a penetrar un agujero eterno: a partir de ese momento podrá observar el universo paralelo, cuya luz recibirá a través del puente de Einstein-Rosen. Desgraciadamente no podrá comunicar sus impresiones a su universo de origen; el observador se encuentra en un agujero negro del que no puede salir ninguna señal que emita. Su destino inexorable es la singularidad futura. Después de un breve momento en que observará dos universos simultáneamente, terminará su viaje en la singularidad del agujero negro.
Todo intento de pasar de un universo a otro (o de una región de nuestro universo a otra región) a través del puente de Einstein-Rosen (o de un agujero de gusano) está condenado al fracaso. Sólo una partícula que viaje más rápido que la luz lograría penetrar al agujero eterno, evitar la singularidad y salir en el otro universo. Sin embargo, como hemos señalado anteriormente, la física actual excluye toda posibilidad de viajar a mayor velocidad que la luz.
A pesar de ser, hasta ahora, sólo soluciones matemáticas, los agujeros blancos tienen una misteriosa e irresistible seducción física. Algunos astrónomos han sugerido que los cuasares son agujeros blancos funcionando como fuentes cósmicas de materia. Quizás nuestro universo está lleno de agujeros blancos y las galaxias se han generado a partir de éstos. Estas especulaciones son muy atractivas, pero existen algunos problemas serios relacionados con el concepto de un agujero blanco que hacen dudar de su realidad.
Toda la materia que se encuentra en un agujero blanco tuvo necesariamente que surgir de la singularidad ahí presente. ¿Cuál es el destino de esa materia al cruzar el horizonte y salir a nuestro universo? Para simplificar la discusión, imaginemos un observador (obviamente no terrestre) que haya nacido dentro del agujero blanco. Antes de llegar al horizonte no puede ver ninguno de los universos paralelos en el exterior; la luz que recibe se originó también en la singularidad, por lo que sólo puede observar esa singularidad. En algún momento, nuestro hipotético observador llega al horizonte y se adentra en nuestro propio universo (o al paralelo); a partir de ese instante puede ver lo que sucede fuera de su agujero blanco ... pero en una forma muy especial. Recordemos que si un observador cae a un agujero negro, el tiempo que tarda en llegar al horizonte es finito para él, pero ese mismo tiempo es infinito para un observador lejano que lo ve penetrar al hoyo. En el caso de un agujero blanco, se tiene una situación contraria: lo que es un intervalo de tiempo finito para el observador que emerge del agujero blanco es un intervalo infinito para un observador lejano. En este caso, es el que sale del agujero quien ve a lo lejos lo que ocurrió en el pasado. Al asomarse del horizonte, nuestro hipotético observador presencia, en lo que es un instante para él, el pasado infinitamente remoto de nuestro propio universo.
Empero esta visión de la eternidad pasada tiene un muy alto costo. Debido a la contracción infinita del tiempo de los procesos externos, cualquier radiación emitida en el exterior es recibida con una energía infinita por quien emerge del agujero blanco. Como consecuencia toda materia que intente salir de un agujero blanco es inmediatamente desintegrada y las partículas que la constituían quedan "embarradas" eternamente en el horizonte. Se forma así una especie de cáscara material que envuelve al agujero blanco y éste se vuelve, para todo fin práctico, un agujero negro.
Este fenómeno ha hecho dudar seriamente de la existencia de los agujero blancos o eternos. La implicación de fondo es que, a diferencia de los agujeros negros, tales construcciones teóricas son soluciones inestables de las ecuaciones de Einstein, en el mismo sentido que una canica en equilibrio sobre la punta de un alfiler representa una solución inestable de las ecuaciones de la mecánica clásica.
Por otra parte, hay que aclarar que el análisis que hemos esbozado se refiere al caso idealizado de un agujero eterno en un universo vacío e infinito tanto en extensión como en duración. Por supuesto, esto es sólo una aproximación al universo real, pero las propiedades cualitativas de un agujero eterno en un universo más realista no cambian drásticamente . . . aunque, en física teórica, no siempre se puede decir la última palabra.
ESPACIO-TIEMPO DE REISSNER-NORDSTROM: AGUJEROS NEGROS CARGADOS
Apenas unos meses después de que Schwarzschild descubrió la solución que lleva su nombre, los físicos H. Reissner y G. Nordstrom encontraron, en forma independiente, otra solución de las ecuaciones de Einstein que representa el espacio-tiempo afuera de una esfera que, además de masa, posee una carga eléctrica.

Figura 7. La solución de Reissner-Nordstrom.
La solución de Reissner-Nordstrom (Figura 7) generaliza la de Schwarzschild. Posee dos parámetros, la masa M y la carga Q de la esfera que deforma al espacio-tiempo. En el caso particular en que la carga es cero, la solución se reduce a la de Schwarzschild con masa M.
Al igual que el espacio-tiempo de Schwarzschild, el de Reissner-Nordstrom posee un horizonte que sólo puede ser cruzado en un sentido; es, por lo tanto, un agujero negro eléctricamente cargado.
En principio, tal agujero negro podría formarse por el colapso gravitacional de una esfera masiva eléctricamente cargada. El proceso es esencialmente como en el caso sin carga: visto desde lejos, el tiempo sobre la superficie de la esfera parece congelarse a medida que la superficie de ésta se acerca al horizonte, mientras que un observador montado en la esfera cruza el horizonte en un tiempo finito.
Sin embargo, las estrellas no tienen carga eléctrica, como casi todos los cuerpos macroscópicos en estado natural que poseen tantos electrones negativos como protones positivos. Por esta razón, no es factible que, en una situación real, se forme un agujero negro cargado a consecuencia del colapso gravitacional de una estrella. Una manera más simple de cargar eléctricamente a un agujero negro es inyectarle cargas eléctricas después de que se haya formado. Si, por ejemplo, un agujero negro sin carga atrapa un haz de electrones que atraviesa el espacio, adquiere la carga de esos electrones; el espacio-tiempo alrededor de ese hoyo negro será, entonces, el de Reissner-Nordstrom.
La principal peculiaridad de un agujero negro cargado es que, a diferencia de uno neutro, posee dos horizontes concéntricos, centrados alrededor de la singularidad (Figura 8).

Figura 8. Estructura de un hoyo negro cargado.
Los radios de los horizontes externos e internos, que denotaremos r+ y r- respectivamente, son:

Por supuesto, un observador externo sólo puede ver lo que sucede afuera del horizonte externo.
Si la carga Q del agujero es igual a su masa M multiplicada por raíz cuadrada de G (es decir Q = raíz cuadrada de G M) los dos horizontes se funden en uno solo. Si la carga Q es mayor que raíz cuadrada deG M, simplemente no hay horizonte; en este caso no existe un agujero negro sino una singularidad desnuda.
A partir de las consideraciones anteriores, se podría pensar que una manera de destruir el horizonte de un agujero negro y "liberar" su interior, es arrojar partículas cargadas al agujero hasta que su carga llegue a ser lo suficientemente grande como para que desaparezcan los horizontes. Sin embargo, las partículas cargadas que penetran a un agujero negro poseen energía eléctrica; como la energía es equivalente a la masa, no sólo aumenta la carga del agujero negro sino también su masa y, la carga Q nunca alcanza el valor crítico GM. Sin embargo, no es posible destruir el horizonte de un hoyo negro "manipulándolo" desde afuera. (Como dato curioso, la carga de un electrón es unas 10 20 veces mayor que su masa multiplicada por G, por lo que un electrón no puede parecerse en nada a un agujero negro.)
Al igual que la métrica de Schwarzschild, la de Reissner-Nordstrom describe el espacio-tiempo en el exterior de una esfera de radio arbitrario. Nada impide reducir matemáticamente ese radio a cero y estudiar así, el espacio-tiempo de una masa y una carga concentradas en un punto. Como en el caso sin carga, se obtiene de este modo una solución de las ecuaciones de Einstein que describe un agujero eterno con carga eléctrica. Sin embargo, la presencia de dos horizontes cambia radicalmente la estructura del espacio-tiempo en la vecindad del agujero.
El primer hecho notable es que el espacio-tiempo de Reissner-Nordstrom posee una infinidad de universos paralelos en lugar de los dos que posee el espacio-tiempo de Schwarzschild. Pero aún más interesante, es el hecho de que, en el caso de un agujero eterno cargado, sí es posible pasar de un universo a otro sin toparse con la singularidad. El secreto es penetrar a la región dentro del horizonte interno antes de intentar salir. A diferencia del caso de Schwarzschild, es posible moverse dentro del horizonte interno sin caer a la singularidad (de hecho, en esa región, la singularidad no atrae sino repele gravitacionalmente). Así, una nave espacial puede penetrar a un agujero eterno cargado cruzando su horizonte externo, meterse a la región dentro del horizonte interno y, una vez ahí, teniendo cuidado de no toparse con la singularidad, salir, cruzando primero el horizonte interno y luego el externo (Figura 9). Según este itinerario, los tripulantes de la nave habrán penetrado a un agujero negro en nuestro universo para salir de un agujero blanco en otro universo.

Sin embargo, un viaje entre universos conlleva peligros mortales. Se ha demostrado que el acercarse al horizonte interno del agujero produce un efecto semejante al que ocurre cuando se emerge de un agujero blanco. Una nave espacial que penetre a un agujero cargado seguirá observando el universo exterior, aunque ya no pueda comunicarse con él. A medida que la nave se acerca al horizonte interno, los tripulantes verán el tiempo en el exterior pasar cada vez más y más rápidamente, como si estuvieran viendo a todo el Universo filmado en cámara rápida. En el momento de llegar al horizonte interno habrán presenciado, en lo que es un instante para ellos, toda la historia futura del universo hasta tiempos infinitos. Desgraciadamente, esta misma visión de la eternidad futura implica la destrucción del observador. Toda la radiación emitida en el exterior es recibida por la nave con una energía cada vez mayor a medida que se acerca al horizonte interno: para los tripulantes, el brillo de las estrellas aumenta sin límite y, finalmente, destruye cualquier cuerpo material que se acerque al horizonte interno.
Así, tampoco parece factible viajar a través de un agujero cargado. Una vez más, tenemos una solución matemáticamente válida pero inestable.
EL ESPACIO-TIEMPO DE KERR. HOYOS NEGROS ROTANTES
La Tierra, el Sol, las estrellas y prácticamente todos los cuerpos en el Universo giran sobre sí mismos. En mecánica, el movimiento de rotación de un cuerpo se mide por medio del momento angular, que es esencialmente el producto de tres factores: la masa, el radio y la velocidad de rotación del cuerpo considerado (la relación exacta depende de la distribución de masa del cuerpo). Una de las leyes fundamentales de la mecánica es que el momento angular de un cuerpo se conserva —en ausencia de cierto tipo de fuerzas externas, como la fricción con un medio externo o las fuerzas de marea—. Gracias a esta ley de conservación, la Tierra gira sobre sí misma en un día y alrededor del Sol en un año, sin que estos lapsos hayan variado, apreciablemente, durante millones de años. La misma conservación del momento angular implica que si un cuerpo rotante disminuye su tamaño, debe aumentar su velocidad de rotación en proporción inversa, ya que el producto (masa) x (radio) x (velocidad de rotación) permanece constante.
Debido a la conservación del momento angular, una estrella que se contrae aumenta la velocidad con la que gira . Asimismo, un agujero negro que se forma por el colapso gravitacional de una estrella debe preservar el momento angular inicial del astro.
Antes de seguir, aclaremos una cuestión importante: ¿acaso se puede medir el momento angular de un agujero negro? En contra de lo que podría esperarse, tal medición es posible, aunque de manera indirecta. La relatividad general predice un curioso efecto —descubierto por J. Lense y Hans Thirring en 1918— por el cual un cuerpo masivo en rotación no sólo atrae gravitacionalmente a otros cuerpos masivos en su vecindad sino que también los arrastra en el sentido de su rotación (Figura 10). Así como un objeto al girar en el agua, forma un remolino que arrastra consigo a las partículas del ruedo, análogamente, el efecto de Lense-Thirring hace que el espacio-tiempo alrededor de un cuerpo rotante arrastre la materia a su alrededor.

Este efecto es prácticamente imperceptible si la velocidad de rotación del cuerpo masivo es mucho menor que la velocidad de la luz, razón por la cual no se puede detectar en experimentos terrestres. Sin embargo, permite medir, al menos en principio, el momento angular de un agujero negro observando la trayectoria de una partícula de prueba a su alrededor.
Con esta aclaración, regresemos a los agujeros negros con momento angular. Tanto la solución de Schwarzschild como la de Reissner-Nordstrom describen un espacio-tiempo con una perfecta simetría esférica. Éste, evidentemente, no puede ser el espacio-tiempo de un agujero negro rotante, ya que la rotación define una dirección particular —el eje de rotación— que rompe la simetría esférica.
Es realmente notable que haya pasado casi medio siglo después de la muerte de Schwarzschild para que se encontrara otra solución de las ecuaciones de Einstein que describa el espacio-tiempo de un cuerpo en rotación. Esta solución fue descubierta en 1964 por el campeón de bridge neozelandés Roy P. Kerr, cuando preparaba su tesis doctoral de física en la Universidad de Texas.

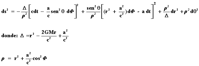
La solución de Kerr describe el espacio-tiempo de un agujero negro rotante. Como tal, posee dos parámetros: la masa M y el momento angular S del hoyo. En el caso particular en que S es cero, la solución de Kerr se reduce exactamente a la de Schwarzschild. En la figura 11 se muestra la forma explícita de la solución; el lector notará que es considerablemente más complicada que la de Schwarzschild.
Cualquier esfera masiva genera en su exterior un espacio-tiempo de Schwarzschild, pero no cualquier cuerpo rotante produce un espacio-tiempo de Kerr. Durante varios años, los físicos y matemáticos trataron infructuosamente de encontrar una configuración de materia que pudiera originar el espacio-tiempo de Kerr; finalmente, se convencieron de que esta solución de las ecuaciones de Einstein sólo puede corresponder a un agujero negro.
La estructura espacio-temporal de un agujero negro rotante es similar, en varios aspectos, a la de un agujero negro cargado. Como este último, también posee dos horizontes concéntricos, si el momento angular entre la masa, a, no excede del valor GM/c. El radio de cada horizonte, r + y r - está dado por las fórmulas:


Figura 12. La estructura de un hoyo negro
rotante.
Si el parámetro de momento angular a es igual al valor crítico GM/c, los dos horizontes se fusionan en uno solo. Si a es mayor que GM/c, no hay horizontes: la singularidad queda desnuda y se puede observar desde una distancia prudente. Sin embargo, como veremos más adelante, es imposible destruir el horizonte de un agujero negro arrojándole partículas para hacerlo girar más rápidamente y aumentar de este modo, su momento angular.
Al igual que el espacio-tiempo de Reissner-Nordstrom, el de Kerr posee una infinidad de universos y es posible viajar de uno a otro utilizando el itinerario que hemos descrito anteriormente: una nave espacial que penetre al agujero negro puede llegar a la región dentro del horizonte interno, evitar la singularidad y salir de un agujero blanco en otro universo. Otra posibilidad es meterse por en medio del anillo de la singularidad, en cuyo caso la nave exploradora penetrará en un extraño universo donde el tiempo fluye tanto hacia el futuro como también hacia el pasado.
El lector probablemente a estas alturas, habrá adivinado que el viaje descrito es imposible por la misma razón que señalamos en el caso de un agujero cargado. Al acercarse al horizonte interno del espacio-tiempo de Kerr, los tripulantes verán el tiempo, en el exterior, fluir cada vez más rápido y, a la vez, la radiación proveniente del exterior aumentar indefinidamente de intensidad. La nave espacial sería destruida en su totalidad, antes de llegar al horizonte interno.
Una de las peculiaridades más interesantes de un agujero negro rotante es la existencia de una zona llamada ergósfera, situada precisamente afuera del horizonte interno, en donde ningún cuerpo puede mantenerse inmóvil, por mucha energía que invierta para aferrarse a una misma posición. La causa de este fenómeno es el efecto de Lense-Thirring llevado al extremo: el arrastre producido por la rotación del agujero negro es tan intenso cerca del horizonte que todos los cuerpos sin excepción se ven forzados a girar junto con él.
Dado que la ergósfera se encuentra fuera del horizonte externo, es posible que una partícula al penetrar esa región pueda salir de ella y se aleje del agujero. Esta posibilidad sugirió a Roger Penrose un curioso mecanismo para extraer energía de un agujero negro rotante. Supongamos que una partícula masiva es arrojada al agujero negro y que, estando en la ergósfera, se rompe en dos pedazos, de tal forma que un pedazo penetra al agujero y el otro se escapa (Figura 13). Penrose demostró que, para algunas trayectorias, es posible que el pedazo que se escapa salga con más energía de la que poseía la partícula entera antes de entrar. Así, en principio, sería posible utilizar un agujero negro rotante como fuente de energía; se mandan partículas a la ergósfera con una trayectoria bien calculada y se recogen los pedazos de esas partículas, arrojados con una energía mayor que la original.

Lo que sucede en el efecto Penrose es que el agujero negro cede parte de su energía a costa de reducir su momento angular. La "explotación" de un hoyo negro puede durar, en principio, hasta que éste agote su momento angular y se reduzca a un agujero negro de Schwarzschild.
Se ha especulado mucho sobre el efecto Penrose: ¿es sólo una curiosidad teórica o, por el contrario, puede ser un mecanismo utilizado por la naturaleza para generar energía en el Universo? Un agujero negro que se encuentre rodeado de materia podría arrojar parte de ésta a lo lejos por el mecanismo descrito. Hasta ahora, los cálculos teóricos no son concluyentes: las condiciones para que se dé el efecto Penrose son demasiado restrictivas para que sea un mecanismo eficiente (sin embargo, también se ha demostrado que esa eficiencia puede aumentar considerablemente si existe un campo magnético cercano).
EL ESPACIO-TIEMPO DE KERR-NEWMAN. AGUJEROS NEGROS ROTANTES Y CARGADOS
Así como la solución de Schwarzschild se puede extender al caso con carga eléctrica, también se puede generalizar la solución de Kerr para describir un agujero negro que, además de rotar, posee carga. Tal solución fue obtenida por E. T. Newman y sus colaboradores dos años después del descubrimiento de Kerr.
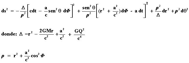
El espacio-tiempo de Kerr-Newman está determinado por tres parámetros: la masa M, el momento angular S y la carga Q. La forma de la solución es parecida a la de Kerr y se muestra en la figura 14 (donde a =S/M). Si la carga Q se hace cero, la solución se reduce a la de Kerr. Si el momento angular S se anula, la solución se reduce a la de Reissner-Nordstrom, como se podría esperar.

El espacio-tiempo de Kerr-Newman posee dos horizontes concéntricos, cuyos radios r+ y r- son

Si la carga y el momento angular son tales que la cantidad c²a² + G Q² es mayor que G²M², los dos horizontes desaparecen y la singularidad queda al descubierto. Por lo demás, el espacio-tiempo de Kerr-Newman posee cualitativamente la misma estructura que el de Kerr, por lo que la descripción de la sección anterior se aplica idénticamente.
© 2001 Javier de Lucas