LOS ABISMOS NEGROS

SEGUNDA PARTE
5. Agujero negro de Kerr
Casi medio siglo después de los descubrimientos de Schwarzschild, Reissner y Nordstrom, el físico neozelandés Roy Kerr encontró una solución exacta para el espacio-tiempo de un agujero negro con momento angular (rotación). El agujero negro de Kerr es el más realista, ya que todos los objetos del Universo tienen algún grado de rotación. No obstante, cuando la velocidad angular es pequeña, el agujero de Schwarzschild puede ser una buena aproximación para los agujeros negros astrofísicos.
Al igual que el caso analizado en la sección anterior, el agujero negro de Kerr tiene dos horizontes esféricos concéntricos, uno interno y otro externo (ver Figs. 3 y 4). Nuevamente, un observador en el exterior solo puede ver lo que sucede fuera del horizonte externo. Para un agujero de Kerr con momento angular J, el radio del horizonte externo se escribe :
(6)
El radio del horizonte interno es:
(7)
Vemos que R+ es mayor o igual que R_. Estas dos ecuaciones pueden sintetizarse como:
(8)
Se observa que para J = 0, el agujero de Kerr se convierte en estático, ya que R_ = 0 y R+ = RS. La estructura de un agujero negro de Kerr es más compleja que las analizadas antes. En primer lugar, la singularidad central no es un punto sino un anillo localizado sobre el plano ecuatorial. En segundo lugar, además de sus dos horizontes concéntricos, tiene una región que se encuentra fuera del horizonte exterior llamada ergosfera, donde ningún objeto puede mantenerse estático (Fig. 3). De acuerdo con el efecto Lense-Thirring, el espacio-tiempo en las proximidades del agujero de Kerr es arrastrado por la rotación de este, arrastrando consigo a todos los objetos situados en la ergosfera, impidiendo que permanezcan estáticos.
Por esta razón, al límite exterior de la ergosfera se le conoce como límite estático. Como la ergosfera está fuera del horizonte, un objeto que se desplace suficientemente rápido hacia el exterior puede escapar del agujero negro, siempre que se encuentre fuera del horizonte externo.
El radio del límite estático se calcula como [5]:
(9)
donde θ es el ángulo polar (Fig. 5). Esta ecuación muestra que en los polos (donde θ = 0 y θ = 180o), r = R+, y en el ecuador (donde θ = 90o), r = RS.

Figura 3: Agujero negro de Kerr visto paralelamente a su eje de giro.
El ensanchamiento de la ergosfera en el ecuador se debe a la rotación.
Como la rotación es una forma de energía cinética, los agujeros de Kerr pueden almacenar una gran cantidad de energía en la ergosfera, y como esta región se encuentra fuera del horizonte externo, puede ser extraída. Se han propuesto diversos mecanismos para efectuar dicha extracción. Uno de los más populares es el proceso de Penrose, propuesto por Penrose en 1967.
Cálculos detallados revelan que la energía máxima que puede extraerse de un agujero de Kerr es un 29% de su masa inicial. Para tener una base de comparación, recordemos que la eficiencia de una reacción de fusión nuclear es del orden del 1 %. Una vez que se ha extraído toda la energía rotacional, el agujero de Kerr deja de girar y se convierte en estático, como se demuestra al tomar J = 0 en la ecuación (8). Cuando ello ocurre, según la Física clásica no es posible extraer más energía del agujero de Kerr.

Figura 4: Agujero negro de Kerr visto desde uno de sus polos.

Figura 5: Radio del límite estático en función del ángulo polar
Es evidente que J no puede aumentar indefinidamente, pues la rotación genera una fuerza centrífuga que se opone a la gravedad. Si la fuerza centrífuga superara a la gravedad, el agujero negro desaparecerá y se formará una singularidad desnuda. Para calcular el valor máximo de J anulamos la cantidad subradical en la ecuación (8):
(10)
Cuando se alcanza este momento angular, se habla de un agujero de Kerr extremal. En este estado, la velocidad de rotación del horizonte es cercana a la velocidad de la luz "c". Los agujeros de Kerr permiten modelar los fenóomenos más energéticos del Universo, como los núcleos activos de galaxias, cuyas fantásticas emisiones de energía se explican mediante un modelo donde un agujero negro supermasivo que está próximo al estado extremal, actuando como un motor gravitacional cuyo combustible es un disco de acreción.
6. Agujero negro de Kerr-Newman
Dos años después de que Kerr encontrara la solución que lleva su nombre, el físico Ezra T. Newman y sus colaboradores descubrieron una solución exacta a la ecuación de Einstein que representa el espacio tiempo de un agujero negro cargado y rotante. Debido a la presencia de carga, esta solución tiene escaso interés astrofísico.
En analogía con las soluciones de Reissner-Nordstrom y de Kerr, el agujero negro de Kerr-Newman posee dos horizontes concéntricos cuyos radios son:
(11)
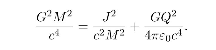
La condición para que Q y J combinados tengan el valor máximo permitido se obtiene anulando la cantidad subradical:
(12)
Fuera de esto, el agujero de Kerr-Newman posee cualitativamente la misma estructura que el de Kerr.
© 2021 JAVIER DE LUCAS