A principios
del siglo XX se creía que toda la masa del universo residía en las estrellas. Un
siglo más tarde la situación parece bastante más compleja y sorprendente, según
refleja la tabla a continuación:
|
Componente |
Fracción de la masa en función de la densidad crítica |
|
Estrellas |
~ 0.5% |
|
Gas neutro |
~ 0.5% |
|
Gas ionizado |
~ 3% |
|
Total de materia bariónica |
~ 4 a 5% |
|
Neutrinos |
~ 0.1 a 5% |
|
Materia Oscura Fría |
~ 25 a 33% |
|
Constante Cosmológica u otras formas de energía oscura |
~ 60 a 72% |
Desde los años treinta se sabe que las velocidades peculiares de las galaxias en cúmulos corresponden a una masa total del cúmulo de aproximadamente un orden de magnitud mayor que el total de toda la materia luminosa observada dentro de las propias galaxias. ¿Cómo se sabe esto?. Hay una maneras simple de hacer una estimación de la masa del cúmulo. La única fuerza apreciable entre las galaxias de un cúmulo es la gravedad. Cuanto mayor sea la masa de un cúmulo, las galaxias exteriores estarán sometidas a una mayor fuerza graviatoria total y por tanto a una mayor aceleración, alcanzando mayores velocidades. Por tanto, la velocidad media de las galaxias de un cúmulo es una medida de su masa – El lector puede visualizar este hecho utilizando esta simulación java–. Este mismo argumento nos permite calcular la masa utilizando medidas de las mayores velocidades que se observan en el cúmulo. Éstas no pueden ser mucho mayores que la velocidad de escape, o en caso contrario las galaxias se habrían alejado del cúmulo.
Siempre por supuesto, una idea simple en astronomía suele estar acompañada de difucultades observacionales. En este caso, desde luego que no podemos observar las galaxias moviéndose realmente. Sólo podemos obtener una instantánea del cúmulo junto con una medida, a través del desplazamiento doppler, de las velocidades peculiares de cada galaxia. Pero podría pasar que las galaxias con velocidades más elevadas estuvieran realmente escapando del cúmulo, o que no pertenezcan relamente a éste, o que simplemente sean galaxias de fondo atravezando la franja del cielo donde se halla el cúmulo.
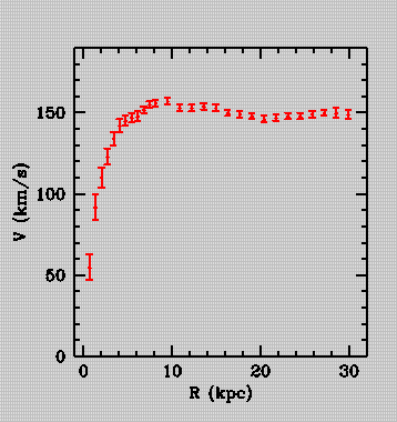
También, desde los años sesenta se ha
observado una situación similar en las partes exteriores de las galaxias espirales y al
menos en algunas elípticas. Si
imaginamos una galaxia a modo de Sistema Solar, con las estrellas girando en
órbitas cerradas alrededor del centro donde se concentra una gran cantidad de
masa, cabría esperar entonces que las velocidad de las estrellas disminuyeran a
medida que nos alejamos del centro siguiendo una ley kepleriana del tipo
del inverso de la raiz cuadrada de la distancia. La representación de la
velocidad de rotación frente a la distancia se denomina curva de rotación. El lector puede
visualizar diferentes tipos de curvas de rotación según la masa central en esta
aplicación java.
Sin embargo, las observaciones indican otra cosa. La velocidad parece mantenerse prácticamente constante hasta el límite observacional externo de la galaxia, como podemos observar en el ejemplo de la curva de rotación de la derecha correspondiente a la galaxia NGC3198 (fuente: Berkeley). Sólo existen dos posibles explicaciones a este fenómeno:
1. Existe una cantidad de materia distribuída de manera diferente a la materia visible2. Bien las leyes dinámicas o bien la teoría gravitatoria que aplicamos a esas escalas no son correctas.
Aunque existe al menos una teoría dinámica alternativa (MOND) y alguna teoría gravitatoria alternativa (Gravedad Conforme por ejemplo), éstas tienen algunos problemas y de momento nadie ha encontrado ninguna desviación de las predicciones de la Teoría General de la Relatividad. Por tanto, antes de abandonar sin motivos suficientes una teoría consistente de tal éxito observacional como la Relatividad General tenemos que probar con la alternativa más simple.
Antes de 1980 se asumía habitualmente que esta "materia oscura" era materia ordinaria en alguna forma no detectable como gas, estrellas de baja masa y cadáveres estelares del tipo enana blanca o agujero negro. Sin embargo, los años ochenta trajeron a escena otra fascinante idea: que la materia oscura está formada por neutrinos o alguna forma más exótica de partículas aún no descubierta en los laboratorios de altas energías. ¿Por qué piensan los cosmólogos en estos tipos de materia exótica?. La razón es que muchas observaciones convergen a un valor del parámetro de densidad del orden de un 30% de la densidad crítica. Pero la nucleosíntesis primigénea, es decir, el modelo de formación de los elementos químicos ligeros en los primeros instantes del universo, indica que la cantidad de materia bariónica (aquella formada por protones y neutrones) no puede ser muy diferente de un 4 a 5% de la densidad crítica. El total de materia luminosa visible está por debajo de esta cantidad, lo que implica que debe haber mucha materia no detectada en forma de objetos compactos denominados habitualmente MACHOS (del inglés Objetos Compactos del Halo [Galáctico]). Todo esto nos lleva a que al menos un 85% de la materia está formada por algún tipo de materia exótica.
La primera partícula que se pensó podía formar parte de esta materia oscura fue el neutrino. El neutrino es una partícula emitida en la desintegración beta donde un protón (p) reacciona con un antineutrino (n-)convirtiéndose en un neutrón (n) y un positrón (e+) [reaction#1] ó un protón (p) interacciona con un electrón (e-) para producir un neutrón (n) y un neutrino (n).

En el Modelo Estándar de la física de partículas, el neutrino es una partícula que no tiene masa. Sin embargo se pueden hacer modificaciones en la teoría que permita la existencia de neutrinos masivos de forma que tienen que ser las observaciones o los experimentos los que decidan cuál es el caso. Al ser el neutrino una partícula sin masa o tremendamente ligera se mueve a la velocidad de la luz o a velocidades muy cercanas, lo que los convierte en lo que se denominan partículas relativistas. Actualmente se denomina a cualquier tipo de partículas relativistas en cosmología materia oscura caliente (del inglés Hot Dark Matter ó abreviado HDM)
La nucleosíntesis primigénea establece que el número de tipos de neutrinos sólo puede ser tres (hecho que confirman los experimentos del CERN) y que su número actual tiene que ser del orden de unos 115 neutrinos de cada especie por centímetro cúbico. Teniendo en cuenta que la densidad crítica es del orden del peso de 2 ó 3 átomos de hidrógeno por metro cúbico, si los neutrinos tienen que contribuir con algo así como del orden de la densidad detectada (1/3 de la densidad crítica aprox.) tendríamos que unos 100 millones de neutrinos tendrían que pesar algo así como un átomo de hidrógeno. Un átomo de hidrógeno pesa (en unidades de energía) unos 1000 MeV. Por tanto la masa del neutrino tendría que ser del orden de unos 10 eV para que pudiera constituir el resto de la masa oscura.
Pero si los neutrinos constituyen la masa dominante de estructuras como galaxias podemos hacer una nueva estimación de la masa del neutrino de la siguiente manera: Las galaxias tienen unas masas dinámicas que podemos deducir aproximadamente del simple hecho de que las estrellas estén unidas gravitacionalmente al cuerpo de la galaxia. Se debe cumplir entonces que la energía de ligadura gravitacional (G m M/r) sea como muy poco del orden de la energía cinética de las estrellas (1/2 m v2), con objeto de que éstas no escapen de sus órbitas. Por ejemplo, para nuestra galaxia, con el Sol situado a unos 10 kpc gira con una velocidad de unos 220 km/s implica una masa mínima de algo más de 5 ×109 masas solares. Los neutrinos son fermiones (partículas de spin semientero) y el principio de exclusión de Pauli establece un máximo de densidad de neutrinos del orden de un millón por centímetro cúbico. Esto establece una masa mínima para el neutrino de unos 30 eV, lo que es incompatible con el cálculo anterior que establecía un límite superior de unos 10 eV.
Las medidas del experimento Super-Kamiokande de 1999 indican que la masa del neutrino es probablemente mucho menor que esta cantidad. La medidas del CERN ponen un límite superior a la masa del neutrino más pesado de unos 9 eV. Medidas más recientes estiman la suma de los tres tipos de neutrinos en algún lugar entre 0.05 y 8.4 eV . Esto implicaría una contribución escasa a la densidad de materia del universo, situada en algún lugar entre 0.001 y 0.18 de la densidad crítica. Las observaciones de la supernova 1987A también son compatibles con la existencia de tres tipos de neutrinos y con un límite superior de la masa del neutrino electrónico de unos 25 eV.
|
Pero hay un problema más grave que todo esto. Cuando ponemos tanta masa de neutrinos en el universo, las grandes estructuras galácticas como los supercúmulos tienden a formarse primero que las pequeñas estructuras como los cúmulos de galaxias (que se suele denominar formación de arriba a abajo), lo que contradice las observaciones que indican una formación relativamente reciente de las grandes estructuras (más compatible con una formación de estructuras jerarquizada de abajo a arriba). Además las concentraciones de materia en los grandes supercúmulos sería considerablemente mayor de lo observado (ver modelos de formación galáctica para más detalles). |
Comparación entre la distribución de galaxias observada (c), y una simulación numérica de las estructuras galácticas resultantes en un modelo de universo con neutrinos (b) y un modelo de universo con partículas más masivas y lentas (a) |
Se denomina materia oscura fría (del inglés Cold Dark Matter, abreviada CDM) a cualquier tipo de partículas relativamente masivas que se mueven a velocidades mucho menores que la velocidad de la luz. La búsqueda de este tipo de partículas como parte de la materia oscura tienes dos motivaciones básicas:
1. Su existencia es una característica general de las teorías de gran unificación que intentan unificar todas las interacciones a excepción de la gravedad.
2. Su inserción en las simulaciones de la formación de las estructuras galácticas consigue mejorar la semejanza con los observado (ver comparación en la figura anterior)
Las partículas que podrían formar la materia oscura fría podrían tener masas que rondan el Gigaelectrónvoltio e interactuarían sólo a través de la interacción débil y de la gravedad. Por ello se les suele llamar WIMPs (de Weak Interacting Massive Particles o partículas masivas débilmente interactuantes). Algunos de estos tipos de partículas han sido propuestas desde la teoría pero nunca observadas hasta la fecha.
Tanto la Relatividad General como la mismísima gravitación Newtoniana permiten la existencia de un término que puede producir una repulsión gravitatoria a gran escala, implicando un universo que podría estar incluso acelerando su expansión. Lo intrigante del caso es que existe evidencia de que ésta podría ser de hecho la situación, procedente de tres observaciones independientes:
1. De la relación desplazamiento al rojo-distancia aplicada al brillo de supernovas tipo Ia.
2. De las anisotropías de la radiación de fondo cósmico (ver noticia del 10 de Mayo de 2000)
3. Del estudio estadístico de lentes gravitatorias.
Todos estos estudios indican que esta componente de energía oscura contribuye con unos 2/3 de la masa del universo, implicando un universo muy cercano o justo con la densidad crítica, y por tanto de geometría espacial plana (ver noticia del 11 de febrero de 2003)
¿Qué podría constituir esta energía oscura?. Se están explorando actualmente dos posibilidades:
1. Constante Cosmológica.
2. Quintaesencia
Cuando un objeto compacto del Halo Galáctico como un planeta gigante, enana marrón, enana blanca, etc. pasa por delante de una estrella distante (por ejemplo situada en las Nubes de Magallanes), se produce un fenómeno que denominamos microlente gravitatoria, similar a las lentes gravitatorias producidas por la interposición de una galaxia ó un cúmulo de galaxias en nuestra línea de visión a un cuásar.
El efecto de interposición de un MACHO produce una concentración
de la luz de la estrella distante que se manificesta como un aumento de brillo.
Teóricamente, si el MACHO y la estrella están prácticamente alineados en la
línea de visión desde la Tierra se forma un anillo luminoso alrededor del objeto
formado por todos los rayos de luz que convergen en el observador. Este anillo
de denomina de Einstein
El radio del anillo de Einstein RE
depende de la masa M del objeto y de las distancias
L a la estrella y l al MACHO (ver figura)
RE = 2/c Raiz [G M L x (1-x)]
Donde c es la velocidad de la luz, G la constante de gravitación universal y
x = [distancia la Macho] / [distancia a la estrella] = l / L
El factor de amplificación A viene dado por A = ( u2 + 2 ) / (u (u2+4)½)
con u = [parámetro de impacto] / [radio del anillo de Einstein] = r / RE
y es típicamente del orden de 1 a 1,5 magnitudes para estrellas de la Gran Nube de Magallanes.
El tiempo que dura el evento está relacionado con la masa del MACHO implicado; Para estrellas de la Gran Nube de Magallanes es del orden de media hora si el MACHO interpuesto se trata de un cuerpo de masa planetaria, unas 3 semanas si se trata de un enana marrón y de 5 a 8 semanas si se tratara de una enana blanca.Es importante señalar que el problema de conocer los parámetros que intervienen en el fenómeno de microlente gravitatorioes un problema mal definido, porque en principio existen infinitas configuraciones de objetos que podrían llevar a la misma curva de luz. El problema sólo queda definido cuando hacemos alguna hipótesis de la posible posición de los objetos. Cuando miramos a estrellas de la Nube de Magallanes hay dos hipótesis que parecen razonables:
1) Que el fenómeno se produce debido a un objeto del Halo galáctico.
2) Que el el fenómeno se produce a consecuencia de un objeto perteneciente a la propia Gran Nube de Magallanes.
Existen varios proyectos de observación que buscan eventos de este tipo, entre ellos el proyecto MACHO, el proyecto EROS, y el proyecto OGLE .

Curvas de luz teóricas para un fenómeno de microlente de una estrella perteneciente a la Gran Nube de Magallanes producida por un MACHO con una masa 100 veces menor que la del Sol y una velocidad transversal vr de 200 km/s. La curva de arriba es para un parámetro de impacto r igual la mitad del radio del anillo de Einstein y la de abajo para un parámetro de impacto igual al radio del anillo de Einstein. -Dm representa la variación de magnitud de la estrella durante el evento.
Las conclusiones básicas que se pueden extraer de las observaciones de estos tres proyectos son:
1. Varios eventos correspondientes a microlentes gravitatorias han sido observados. La independencia de las curvas con el color demuestran que la interpretación de microlente gravitatoria de las curvas de luz es perfectamente factible.
2. El número de eventos observados implica que el halo galáctico no puede estar formado enteramente de MACHOs de masa subestelar.
3. Parece de nuevo inevitable la existencia de materia no bariónica en nuestra galaxia.

Uno de
los eventos detectados por el proyecto MACHO. Las curvas de luz con filtro azul
(blue) y con filtro rojo (red). Fuente: The MACHO
project.
Nadie ha detectado todavía una WIMP, pero su existencia está bien motivada por dos razones básicas
1. Las observaciones de la estructura del universo a gran escala y de las propias galaxias como la nuestra parecen implicar la existencia de materia no bariónica de manera inevitable
2. Las teorías de gran unificación predicen la existencia de gran número de partículas exóticas que interaccionan con el resto de la materia sólo a través de la interacción débil y de la gravedad con masas del orden de algunos GeV hasta algunos cientos de GeV.
WINPS podrían haber sido producidas en el universo temprano en reacciones del tipo
positrón+electrón® WIMP + anti WIMP
e+ e- ® X X+
Por supuesto que también se aniquilarían vía la reacción inversa X X+®e+ e-
El número de WIMPs que podrían atravesar un detector es bastante grande, del orden de un millón por cm2 de superficie del detector y por segundo para WIMPs de 1 GeV, disminuyendo la cantidada proporcionalmente a la masa de la partícula. La dificultad principal reside en que estas partículas, en caso de existir, interaccionarían muy débilmente con la materia produciendose pocos eventos de baja energía (unos pocos keV). Es exactamente el mismo problema que para la detección de neutrinos y así uno necesita construir detectores con gran cantidad de material.
Existen dos peculiaridades que podrían intentar ser detectadas.
1. Variación del orden del 10% en la cantidad de interacciones con una periodicidad anual, debida al movimiento de traslación de la Tierra.
2. Variación asimétrica del orden del 50% en la dirección del flujo de WIMPs debida al movimiento del Sol a través del halo galáctico.
Existen varios proyectos en funcionamiento que son teóricamente capaces de detectar estas variaciones e incluso algunos son sensibles a propiedades de la partícula interactuante. Algunos de estos experimentos son:
DAMA EDELWEISS CDMS CRESST UKDMC PICASSO GENIUS HDMS
Javier de Lucas