Efecto Doppler acústico

prev.gif (1231 bytes)home.gif (1232 bytes)next.gif (1211 bytes)

Movimiento ondulatorio

Acústica
Ondas estacionarias
en tubos
Velocidad del sonido
en una barra
Velocidad del sonido
en un gas
El resonador de
Helmholtz
Análisis de Fourier
marca.gif (847 bytes)Efecto Doppler (I)
Efecto Doppler (II)
Efecto Doppler (III)
java.gif (886 bytes) El observador en reposo

java.gif (886 bytes) El observador está en movimiento

Deducción de la fórmula del efecto Doppler

Procedimiento geométrico para dibujar los sucesivos frentes de onda

 

Cuando la fuente de ondas y el observador están en movimiento relativo con respecto al medio material en el cual la onda se propaga, la frecuencia de las ondas observadas es diferente de la frecuencia de las ondas emitidas por la fuente. Este fenómeno recibe el nombre de efecto Doppler en honor a su descubridor.

En primer lugar, vamos a observar el fenómeno, y después obtendremos la fórmula que relaciona la frecuencia de las ondas observadas con la frecuencia de las ondas emitidas, la velocidad de propagación de las ondas vs, la velocidad del emisor vE y la velocidad del observador vO.

Consideraremos que el emisor produce ondas de forma continua, pero solamente representaremos los sucesivos frentes de ondas, circunferencias centradas en el emisor, separados por un periodo, de un modo semejante a lo que se puede observar en la experiencia en el laboratorio con la cubeta de ondas. En la simulación más abajo, fijaremos la velocidad de propagación del sonido en una unidad vs=1, y el periodo de las ondas sea también la unidad, P=1, de modo que los sucesivos frentes de onda se desplazan una unidad de longitud en el tiempo de un periodo, es decir, la longitud de las ondas emitidas es una unidad, l =vsP.

 

El observador en reposo

Empezamos por el caso más sencillo, en el que el observador está en reposo, a la izquierda o a la derecha del emisor de ondas. Vamos a estudiar diversas situaciones dependiendo de la velocidad del emisor.

Recordaremos que en el estudio de las del movimiento ondulatorio armónico, se estableció la relación entre longitud de onda y periodo, l =vsP.

El emisor está en reposo (vE=0)

Se dibujan los sucesivos frentes de ondas que son circunferencias separadas una longitud de onda, centradas en el emisor. El radio de cada circunferencia es igual al producto de la velocidad de propagación por el tiempo transcurrido desde que fue emitido. La separación entre dos frentes de onda es una longitud de onda, l=vsP, siendo P el periodo o tiempo que tarda en pasar dos frentes de onda consecutivos por la posición del observador.
  • La longitud de onda medida por el emisor y por el observador es la misma, una unidad, lE=lO=1.

 

Cuando el emisor está en movimiento (vE<vs)

Consideramos primero el caso de que la velocidad del emisor vE sea menor que la velocidad de propagación de las ondas en el medio vs (vE<1).

Si el movimiento del emisor va de izquierda a derecha (velocidades positivas), la longitud de onda medida por el observador situado a la derecha es más pequeña que la unidad, y la longitud de onda medida por el observador situado a la izquierda del emisor es mayor que la unidad.

 
  • Observador situado a la derecha del emisor lO<lE
  • Observador situado a la izquierda del emisor lO>lE

Como l =vP, o bien l =v/f , hay una relación inversa entre longitud de onda l y la frecuencia f.

  • Observador situado a la derecha del emisor fO>fE
  • Observador situado a la izquierda del emisor fO<fE

Si el emisor emite ondas sonoras, el sonido escuchado por el observador situado a la derecha del emisor, será más agudo y el sonido escuchado por el observador situado a la izquierda será más grave. En otras palabras, cuando el emisor se acerca al observador, éste escucha un sonido más agudo, cuando el emisor se aleja del observador, éste escucha un sonido más grave.

Cuando el emisor está en movimiento (vE=vs)

Cuando la velocidad del emisor vE sea igual que la velocidad de propagación de las ondas en el medio vs (vE=1), la longitud de onda medida por el observador situado a la derecha del emisor es cero. Si el emisor es un avión que va a la velocidad del sonido, los sucesivos frentes de las ondas emitidas se agrupan en la punta o morro del avión.

 

Cuando el emisor está en movimiento (vE>vs)

Cuando la velocidad del emisor vE sea mayor que la velocidad de propagación de las ondas en el medio vs (vE>1), el movimiento ondulatorio resultante es entonces una onda cónica (la envolvente de los sucesivos frentes de onda es un cono con el vértice en el emisor), esta onda se llama onda de Mach u onda de choque, y no es más que el sonido repentino y violento que oímos cuando un avión supersónico pasa cerca de nosotros. Estas ondas se observan también en la estela que dejan los botes que se mueven con mayor velocidad que las ondas superficiales sobre el agua.

La envolvente, es la recta tangente común a todas las circunferencias. En el espacio, los frentes de onda son esferas y la envolvente es una superficie cónica.

En el instante t=0, el emisor se encuentra en B, emite una onda que se propaga por el espacio con velocidad vs. En el instante t el emisor se encuentra en O, y se ha desplazado vE·t, En este instante, el frente de onda centrado en B tiene una radio vs·t.

En el triángulo rectángulo OAB el ángulo del vértice es sen θ=vE/vs. Este cociente se denomina número de Mach.

Actividades

Se introduce

  • La velocidad del emisor, actuando en la barra de desplazamiento titulada Velocidad del emisor
  • La velocidad de propagación del sonido se ha fijado en vs=1.0

Se pulsa el botón titulado Empieza

Si pulsamos el botón titulado Pausa, la imagen congelada de los sucesivos frentes de onda puede ser fácilmente reproducida en papel utilizando la regla y el compás.

Pulsando varias veces en el botón titulado Paso, podemos medir el periodo o intervalo de tiempo que transcurre para el observador, el paso de dos frentes de ondas consecutivos. La inversa de las cantidades medidas nos dará las frecuencias de las ondas para el observador situado a la izquierda del emisor y para el situado a su derecha.

 

                 
 

El observador está en movimiento (vE<vs y vO<vs)

Consideramos solamente el caso en el que la velocidad del emisor y la velocidad del observador es menor que la velocidad de propagación de las ondas en el medio.

Actividades

Se introduce

  • La velocidad del emisor (positiva), actuando en la barra de desplazamiento titulada V. emisor
  • La velocidad del observador (positiva o negativa), actuando en la barra de desplazamiento titulada V. observador
  • La velocidad de propagación del sonido se ha fijado en vs=1.0

Se pulsa el botón titulado Empieza

Podemos comprobar que el efecto Doppler se debe al movimiento relativo del observador con respecto al emisor, haciendo que el observador y el emisor se muevan con la misma velocidad y en la misma dirección. Medimos el tiempo que tarda en pasar por el emisor, dos frentes de ondas consecutivos, y lo comparamos con el periodo de las ondas emitidas (una unidad de tiempo). ¿Coinciden ambas cantidades?. Para medir dichos intervalos de tiempo, utilizar los botones Pausa/Continua y Paso

                
 

Deducción de la fórmula del efecto Doppler

A partir de la observación del movimiento del emisor, del observador y de los sucesivos frentes de onda, vamos a obtener la fórmula que describe el efecto Doppler.

Doppler5.gif (2203 bytes)

Doppler2.gif (3391 bytes)

En la parte superior de la figura, tenemos dos señales, que pueden corresponder a dos picos consecutivos de una onda armónica, separados un periodo P. En la parte inferior, los dos puntos coloreados representan las posiciones del emisor (en rojo) y del observador (en azul). En el instante inicial t=0 en el que se emite la primera señal, el emisor y el observador están separados una distancia d desconocida, que no afecta al fenómeno en cuestión.

La primera señal es recibida por el observador en el instante t. La señal se desplaza el camino marcado en trazo grueso negro en la parte superior de la figura, desde que se emite hasta que se recibe, podemos por tanto, escribir la ecuación

vs·t=d+vO·t

La segunda señal se emite en el instante P, y se recibe en el instante t’. En el intervalo de tiempo entre la primera y la segunda señal, el emisor se desplaza vEP. La segunda señal recorre desde que se emite hasta que se recibe, el camino señalado en trazo grueso negro en la parte inferior de la figura. Por tanto, podemos escribir la ecuación

d-vE·P+vO·t’=vs·(t’-P)

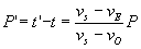
Eliminando la cantidad desconocida d entre las dos ecuaciones, relacionamos el periodo P’=t’-t, de las ondas recibidas, con el periodo P de las ondas emitidas.

Teniendo en cuenta que la frecuencia es la inversa del periodo, obtenemos la relación entre frecuencias, o fórmula del efecto Doppler.

Image8.gif (333 bytes)

Ejercicio:

Un silbato emite sonido de frecuencia 500 Hz se mueve con una máquina de tren a velocidad de 90 km/h. Un conductor se mueve  en la misma dirección pero en sentido contrario en un vehículo con una velocidad de 144 km/h acercándose al tren. Calcular la frecuencia del sonido escuchado por el conductor

doppler3.gif (1807 bytes) vE=25 m/s
vs=340 m/s
vO=-40 m/s

La frecuencia del sonido escuchado es f '= 603 Hz

doppler4.gif (1830 bytes) vE=-25 m/s
vs=-340 m/s
vO=40 m/s

La frecuencia del sonido escuchado es f ' =603 Hz

 

Procedimiento geométrico para dibujar los sucesivos frentes de onda

En el applet que viene a continuación, se muestra el procedimiento geométrico para dibujar con la regla y el compás los sucesivos frentes de onda, del sonido emitido por un vehículo en movimiento.

  • Se dibuja una línea horizontal proporcional a la velocidad vE del emisor.
  • Con el mismo origen, se dibuja una línea vertical proporcional a la velocidad del sonido vs
  • Se unen los extremos de ambas líneas, formando un triángulo rectángulo
  • Se divide la línea horizontal en varias partes iguales, poniendo una marca en cada una de las divisiones
  • Se traza una línea vertical desde la marca hasta su intersección con la hipotenusa del triángulo rectángulo.
  • Con centro en la marca y radio igual a la longitud de dicha línea vertical, se traza una circunferencia
  • Se procede de la misma manera con todas las marcas de la línea horizontal.

Nota: Cuando vE > vs la hipotenusa del triángulo no es la envolvente de los sucesivos frentes de onda .

 

Actividades

Se introduce

  • La velocidad del emisor vE proporcional a la velocidad vs del sonido

Se pulsa el botón titulado Empieza

Comienza una animación que muestra el procedimiento geométrico para dibujar los sucesivos frentes de ondas del sonido emitido por un vehículo en movimiento.

 

Referencias

Del apartado Procedimiento geométrico para dibujar los sucesivos frentes de onda

Alt R., Wiley S., A generalized wave diagram for moving sources. The Physics Teacher Vol 42, December 2004, pp. 526-527