ILUSION Y REALIDAD

RELATIVIDAD: PARADOJAS, ILUSIONES Y REALIDAD

El mundo cotidiano que observamos a nuestro alrededor es solo una pequeñísima parte de la realidad física que nos ofrece nuestro Universo. De hecho, parece increíble que nuestra realidad cotidiana sea el resultado de fenómenos completamente contraintuitivos que ocurren a escalas pequeñísimas, casi imposibles de imaginar. Además existen otros fenómenos que involucran altas energías y/o altas velocidades que normalmente no detectamos en nuestro día a día. Sin embargo, muy de vez en cuando, nuestro mundo macroscópico se encuentra de golpe con estos extraños fenómenos: cuando tratamos de posicionar de forma muy precisa las coordenadas GPS de un objeto, cuando tratamos de explicar la órbita del planeta más cercano al Sol, cuando tratamos de explicar por qué el mercurio es líquido a temperatura ambiente... entonces aparecen unas "pequeñas y extrañas distorsiones". Estas anomalías parecen las sombras de otro mundo, un mundo que se comporta de forma extraña y fascinante: el mundo de la relatividad.

Este artículo no propongo revisar los conceptos y fórmulas matemáticas de la relatividad especial sino solamente ofrecer unas breves pero profundas reflexiones sobre el significado físico de estos fascinantes fenómenos. Para ello utilizaré la conocida como "paradoja de la escalera y el granero".

La escalera y el granero relativistas

Un granjero tiene un granero de 4 metros de longitud y su hijo porta una escalera de 5 metros. El hijo que sabe relatividad se ha propuesto mostrar a su padre que existe una forma de guardar la escalera dentro del granero: si consigue alcanzar una velocidad relativista la escalera sufrirá una contracción de longitud y cabrá dentro del granero. Por supuesto, el padre al oír esto piensa que su hijo ha perdido la cabeza, pero, ¿Tiene esto algo de sentido?

Por el principio de la relatividad todo sistema de referencia (SR) inercial (con velocidad constante) es equivalente a cualquier otro y por tanto, puede considerarse así mismo en reposo mientras considera que es el otro SR el que se está moviendo. Debido a esto, para el granjero, es la escalera la que se mueve hacia él mientras que para su hijo es el granero el que está en movimiento. Así tenemos que desde el punto de vista del granjero:


Mientras que desde el punto de vista de su hijo tenemos:



Lo y lo son la longitud en reposo de la escalera y del granero respectivamente. En el SR del granjero es la escalera la que se contrae y por tanto podría caber en el granero pero desde el SR de su hijo es el granero el que se contrae lo que haría la situación mucho peor: ¿Es posible que la escalera quepa en el granero desde el punto de vista del hijo del granjero?

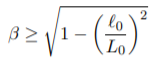
Siguiendo las transformadas de Lorentz para una escalera de longitud Lo la contracción relativista será:


Para que quepa en el granero debe cumplirse que Lo'< Lo por tanto:


Para una escalera de 5 metros B debe ser mayor o igual a 0.6, es decir, el 60% de la velocidad de la luz. Para tratar de entender más fácilmente que es lo que sucede consideraremos solo dos eventos de referencia:

1) El borde delantero de la escalera llega a la puerta trasera del granero:


2) El borde trasero de la escalera entra en el granero:



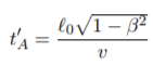
Evento 1: Este evento coincide con el tiempo que tarda la escalera en atravesar el granero. Para el granjero este tiempo será: tA= lo/v  mientras que para su hijo el tiempo es:



Evento 2: Para el hijo del granjero el instante en el que la parte trasera de la escalera atraviesa la puerta delantera del granero coincide con el tiempo que tarda en entrar dentro del granero la longitud total de la escalera o sea: t´B=Lo/v mientras que para el granjero esto sucede en el instante:

 


El "factor de correción relativista" es el término de la raiz cuadrada y siempre es menor que uno, por tanto, comparando las expresiones anteriores se ve fácilmente que
para el granjero el evento 2 sucede primero mientras que para su hijo el evento 1 es el que sucede primero. La conclusión de esto es demoledora para nuestro sentido común: el concepto de simultaneidad que damos por hecho en nuestra vida cotidiana no existe cuando consideramos velocidades relativistas.

La respuesta a la aparente paradoja está en los detalles del concepto "caber": para conocer si la escalera cabe en el granero tenemos que comparar varios eventos independientes: puerta delantera y puerta trasera del granero y parte delantera y parte trasera de la escalera. Para que la escalera quepa en el granero debe haber un instante en el que ambos extremos de la escalera estén simultáneamente para ambos observadores en cierta posición (dentro del espacio delimitado por las puertas del granero) pero, como hemos visto, este concepto no existe en relatividad, por tanto no hay paradoja puesto que en relatividad cada observador ve una secuencia de eventos diferente. De hecho, como veremos, no tiene sentido preguntarnos si la escalera cabe en el espacio delimitado por el granero sino si la escalera "cabe" en el espacio-tiempo cuatridimensional. A continuación procedemos a enumerar las profundas reflexiones que pueden derivarse de la teoría de la relatividad especial :

Reflexión 1: Espacio-tiempo dinámico

Debido a que la velocidad de la luz es finita, la luz tardará más o menos en llegar de un objeto a otro dependiendo de su posición. Este hecho, puede hacernos pensar que los efectos relativistas son una especie de ilusión, es decir, que son debidos solamente a que la luz tarda un tiempo en llegar de un sitio a otro. Sin embargo, la realidad es más compleja y fascinante: los relojes en movimiento realmente se mueven más despacio (la dilatación temporal relativista ha sido comprobada por multitud de experimentos) y esto es debido a la dilatación del propio espacio-tiempo. De hecho, en relatividad general (derivada a partir de la relatividad especial) la fuerza de la gravedad es debida exclusivamente al movimiento del propio espacio-tiempo. Por supuesto, la contracción espacial también es debida a este fenómeno: no se acorta la distancia entre los átomos de la escalera (o la longitud entre las marcas de una regla) sino que es el propio espacio-tiempo contenido entre los átomos de la escalera lo que se contrae. Es cierto que esto parece difícil de creer, pero ha sido contrastado experimentalmente en gran variedad de experimentos. De hecho, para calcular correctamente la distancia de galaxias lejanas no solo hay que tener en cuenta el tiempo que tarda la luz en llegar hasta nosotros sino también la dilatación temporal relativista.

Reflexión 2: La simultaneidad absoluta no existe

Aunque el concepto de simultaneidad no existe en relatividad es evidente que la Física no puede verse afectada y los fenómenos físicos deben ser coherentes: en los puntos donde ambos SR se encuentran en el mismo punto del espacio-tiempo, si comparamos las mediciones de ambos observadores, ambos deben de estar de acuerdo en sus mediciones ya que ambos observadores no pueden ver historias diferentes. Si por ejemplo intentamos cerrar ambas puertas justo cuando el extremo posterior de la escalera ha cruzado la puerta delantera, ambas puertas no se cerrarán simultáneamente desde el SR del hijo del granjero: primero bajará la puerta posterior y luego la anterior de forma que la puerta nunca golpeará la escalera y por tanto nunca sucederá que ambos observadores vean fenómenos diferentes (como sería una escalera rota y una escalera entera).

Reflexión 3: La rigidez absoluta no existe

Acelerar objetos macroscópicos hasta velocidades cercanas a c es prácticamente imposible ya que requeriría una cantidad de energía inmensa; por esto, los fenómenos relativistas reales involucran objetos minúsculos como partículas o átomos. Utilizar objetos macrocópicos como escaleras a menudo contribuye a la aparición de supuestas "paradojas". Como sabemos, los objetos sólidos están compuestos por átomos que se mantienen unidos por fuerzas electromagnéticas. Estas fuerzas se transmiten por intercambio de fotones que viajan a la velocidad de la luz. Por esto, ningún objeto macroscópico responderá instantaneámente ante cualquier evento, de hecho, entre los átomos del extremo delantero y trasero de la escalera existe un tiempo Lo/c durante el cual nada de lo que suceda en un extremo puede afectar al otro extremo. De hecho, si la puerta trasera del granero estuviese cerrada, desde el SR del hijo, mientras que el extremo delantero de la escalera ha chocado con la puerta trasera el extremo trasero seguiría entrando en el granero a velocidad v durante un tiempo Lo/c (de hecho al hijo también le parecería que la escalera ha cabido en el granero) como si la escalera fuese flexible y estuviese formada por partes diminutas. La reflexión número 3 nos dice que en relatividad los objetos macroscópicos no son completamente sólidos sino que tienen cierta "elasticidad" debido a que no hay transimisión instantánea de información entre sus partes.

Reflexión 4: El espacio-tiempo es cuatridimensional

El mundo que habitamos no es el mundo tridimensional que detectamos con nuestros sentidos sino que es un mundo cuatridimensional con tres dimensiones espaciales y una dimensión temporal que pueden "mezclarse" o "intercambiarse" dependiendo del estado de movimiento del observador. Este será el objeto del próximo apartado.

Nuestro mundo cuatridimensional

Tanto la escalera como el granero pueden considerarse objetos físicos en un espacio-tiempo cuatridimensional. Diferentes SR miden diferentes valores de espacio y de tiempo de un mismo objeto o evento en cuatro dimensiones. Uno medirá mayor valor de tiempo y menor de espacio y el otro menor valor de tiempo y mayor de espacio. Los objetos con masa no podrán jamás alcanzar la velocidad de la luz y solo los objetos muy ligeros como partículas elementales pueden viajar a velocidades relativistas. Esto implica que los objetos masivos viajan casi exclusivamente en la dimensión temporal y solo los objetos muy ligeros pueden viajar en las dimensiones espaciales.


Cuando la velocidad relativa entre dos SR es una fracción importante de c los dos observadores ven distintas "rodajas" o cortes tridimensionales del mismo objeto cuatridimensional. Como si estuviésemos en la famosa cueva de Platón nosotros solo observamos las "proyecciones" de una entidad de dimensión mayor y necesitamos la Física y las Matemáticas para deducir como es ese objeto de cuatro dimensiones. Esto se puede ver de forma simplificada en la siguiente figura (solo representamos la dimensión temporal):


En el primer SR, considerado el SR en reposo, las "rodajas" temporales son rectas, los eventos en rojo son simultáneos y los eventos en amarillo suceden en tiempos diferentes. En el segundo SR, considerado como el SR en movimiento, las "rodajas" están giradas, los eventos en rojo ahora no son simultáneos y los eventos en amarillo ahora si suceden al mismo tiempo.

Volvamos de nuevo a la "paradoja" de la escalera: consideremos que el primer SR anterior es el SR del granjero y el segundo SR el del hijo del granjero. Consideremos que los puntos rojos son las dos puertas del granero y los puntos amarillos los dos extremos de la escalera. Desde el punto de vista del granjero, el granero y todo lo que hay dentro está en reposo con respecto a él y por tanto todo lo que sucede es simultáneo: las dos puertas del granero se abren o se cierran simultáneamente, sin embargo, la escalera no está en reposo y por tanto lo que sucede en los extremos de la escalera no es simultáneo: primero ve el extremo posterior entrar en la puerta anterior y después ve el extremo anterior de la escalera llegar a la puerta posterior. Desde el punto de vista del hijo que porta la escalera, son los dos extremos de la escalera los que son simultáneos pero
¡la puerta trasera se cierra antes que la delantera! Esto nos lleva a la última y quizás la más profunda reflexión: Ambos observadores están viendo la misma realidad cuatridimensional desde diferentes "ángulos" o "rodajas" tridimensionales.


Ahora ya estamos en disposición de conocer la verdadera resolución de la "paradoja": el granjero y su hijo ven diferentes porciones de espacio y de tiempo del mismo objeto cuatridimensional, mientras que el granjero observa una reducción de espacio de la escalera el hijo observa una reducción (dilatación) del tiempo de la escalera. La escalera cabe dentro de la hoja de mundo cuatridimensional del granero para ambos observadores ya que lo que para un observador es espacio para otro es tiempo y viceversa:

 



El granjero y el hijo miden diferentes cantidades de espacio y de tiempo del mismo objeto cuatridimensional (segmentos verdes y azules). De esta forma solo vemos diferentes proyecciones tridimensionales de un mismo objeto cuatridimensional.

                                                                                                                                                                                                                                                                                                                ©                                                                                                                                                                         © 2007 JAVIER DE LUCAS