PATRONES DEL AZAR

Distribución normal
La probabilidad de observar un valor concreto de un dato es mayor cerca del valor de la media y se desvanece rápidamente a medida que la diferencia con la media incrementa. Cómo de rápido se desvanece depende de una cantidad llamada desviación estándar. ¿Por qué es importante? Define una familia especial de distribuciones de probabilidad con forma de campana, que son, con frecuencia, modelos buenos para observaciones comunes del mundo real. ¿Qué provocó? El concepto de «hombre medio», tests de la importancia de los resultados experimentales, como pruebas médicas, y una tendencia desafortunada a tomar por defecto la campana de Gauss como si nada más existiese.
Las matemáticas tratan sobre patrones. El funcionamiento aleatorio del azar parece estar tan alejado de los patrones como te puedas imaginar. De hecho, una de las definiciones actuales de «aleatorio» se reduce a «carencia de cualquier patrón apreciable». Los matemáticos han estado investigando patrones en geometría, álgebra y análisis durante siglos antes de darse cuenta de que incluso la aleatoriedad tiene sus propios patrones. Pero los patrones del azar en absoluto están en conflicto con la idea de que los sucesos aleatorios no tienen patrón, porque las regularidades de los sucesos aleatorios son estadísticas. Son características de toda una serie de sucesos, tales como el comportamiento medio a largo plazo de ensayos. No nos dicen nada sobre qué suceso ocurre en cada instante. Por ejemplo, si tiras un dado1 repetidamente, entonces alrededor de un sexto de las veces obtendrás 1, y lo mismo se cumple para 2, 3, 4, 5 y 6 —un patrón estadístico claro—.
Pero esto no nos dice nada sobre qué número aparecerá en el próximo lanzamiento. No fue hasta el siglo XIX cuando los matemáticos y científicos se dieron cuenta de la importancia de los patrones estadísticos en los sucesos del azar. Incluso las acciones humanas, como el suicidio o el divorcio, están sujetas a leyes cuantitativas, en promedio y a largo plazo. Llevó tiempo acostumbrarse a lo que parece en un principio contradecir el libre albedrío. Pero en la actualidad estas regularidades estadísticas conforman las bases de ensayos médicos, políticas sociales, primas de seguros, evaluación de riesgos y el deporte profesional. Y los juegos de azar, que es donde todo empezó.
Todo fue iniciado, de manera apropiada, por el académico ludópata Girolamo Cardano. Cardano ganaba el dinero que necesitaba apostando en partidas de ajedrez y juegos de azar. Aplicaba su poderoso intelecto a ambos. El ajedrez no depende del azar, ganar depende de una buena memoria para posiciones estándar y movimientos, y un sexto sentido para flujo total del juego. En un juego de azar, sin embargo, el jugador está sujeto a los caprichos de la diosa Fortuna. Cardano se dio cuenta de que podía aplicar su talento matemático con buenos resultados incluso en esta relación tempestuosa. Podía mejorar su rendimiento en los juegos de azar adquiriendo una mejor comprensión de las probabilidades —las posibilidades de ganar o perder— de la que sus oponentes tenían.
Escribió un libro sobre el tema, Liber de Ludo Aleae (Libro sobre los juegos de azar). No se publicó hasta 1633. Su contenido académico es el primer tratamiento sistemático de las matemáticas de la probabilidad. Su contenido menos honroso es un capítulo sobre cómo engañar y salir impune de ello. Uno de los principios fundamentales de Cardano era que en una apuesta justa, las apuestas deberían ser proporcionales al número de modos en el cual cada jugador puede ganar. Por ejemplo, supón que los jugadores tiran un dado, y el primer jugador gana si sale un 6, mientras el segundo jugador gana si sale cualquier otro resultado. El juego sería sumamente injusto si cada uno apuesta la misma cantidad para jugar al juego, porque el primer jugador tiene solo un modo de ganar, mientras que el segundo tiene cinco. Sin embargo, si el primer jugador apuesta 1 € y el segundo apuesta 5 €, las probabilidades se hacen equitativas.
Cardano era consciente de que este método de cálculo de probabilidades justas dependía de que los distintos modos de ganar fuesen igualmente posibles, y en juegos de dados, cartas o lanzamiento de monedas estaba claro cómo garantizar que se aplicaba esta condición. Lanzar una moneda tiene dos resultados, cara o cruz, y estas son igualmente posibles si la moneda es justa. Si la moneda tiende a sacar más caras que cruces, está claramente predispuesta de modo no justo. De manera similar los seis resultados de un dado no trucado sonigualmente posibles, como lo son los 48 resultados para extraer una carta de una baraja española.
La lógica tras el concepto de imparcialidad aquí es ligeramente circular, porque deducimos parcialidad a partir de un fracaso en la obtención de las condiciones numéricas obvias. Pero estas condiciones están apoyadas en más que un mero conteo. Están basadas en un sentimiento de simetría. Si la moneda es un círculo de metal plano, de densidad uniforme, entonces los dos resultados están relacionados por la simetría de la moneda (dale la vuelta). Para el dado, los seis resultados están relacionados por las simetrías del cubo. Y para las cartas, la simetría relevante es que ninguna carta difiere de manera significativa de otra, excepto por el valor escrito en su cara. Las frecuencias 1/2, 1/6 y 1/48 para cualquier resultado dado dependen de estas simetrías básicas. Una moneda trucada o un dado trucado pueden crearse insertando pesos encubiertos, una carta trucada puede crearse usando marcas sutiles en el reverso que revelen su valor a aquellos que las conocen.
Hay otros modos de engañar, que involucran juegos de manos, por ejemplo, introducir y sacar un dado trucado del juego antes de que nadie note que siempre da como resultado 6. Pero el modo más seguro de «engañar» —ganar usando subterfugios— es ser totalmente honesto, pero saber las probabilidades mejor que tu oponente. En cierto sentido, estás tomando la instancia moral suprema, pero puedes mejorar tus oportunidades encontrando un oponente lo suficientemente inocente y amañando, no las probabilidades, sino las expectativas de tu oponente sobre las probabilidades. Hay muchos ejemplos donde las probabilidades reales en el juego de azar son significativamente diferentes de las que mucha gente asumiría de manera natural.
Un ejemplo es el juego de la corona y el ancla, al que jugaban mucho los marinos británicos en el siglo XVIII. Usa tres dados, los cuales no tienen los números del 1 al 6, sino seis símbolos: una corona, un ancla, y los cuatro palos de la baraja inglesa: diamantes, picas, tréboles y corazones. Estos símbolos son también marcados en un tapete. Los jugadores apuestan colocando dinero en el tapete y lanzando los tres dados. Si cualquiera de los símbolos a los que han apostado aparece, la banca les paga su apuesta multiplicada por el número de dados en los que aparece el símbolo. Por ejemplo, si apuestan 1 € a la corona y salen dos coronas, entonces gana 2 € en suma a su apuesta. Todo suena muy razonable, pero la teoría de la probabilidad nos dice que a la larga un jugador puede esperar perder un 8 % de su apuesta.
La teoría de la probabilidad empezó a tener éxito cuando atrajo la atención de Blaise Pascal. Pascal era hijo de un recaudador de impuestos de Ruan y un niño prodigio. En 1646 se convirtió al jansenismo, una secta del catolicismo romano que el papa Inocencio X declaró herética en 1655. Un año antes, Pascal había experimentado lo que él llamaba su «segunda conversión», probablemente provocada por un accidente casi fatal cuando sus caballos cayeron por el borde del puente Neuilly y a su carruaje casi le pasa lo mismo. La mayoría de su producción a partir de entonces fue en filosofía religiosa. Pero justo antes del accidente, él y Fermat se estuvieron escribiendo para tratar un problema matemático que tenía que ver con el juego. El Caballero de Meré, un escritor francés que se llamaba a sí mismo caballero aunque no lo era, era un amigo de Pascal, y le preguntó cómo deberían dividirse las apuestas en una serie de juegos de azar si el concurso tenía que abandonarse en mitad del juego. Esta pregunta no era nueva, se remonta a la Edad Media. Lo que fue nuevo fue la solución. En un intercambio de cartas, Pascal y Fermat encontraron la respuesta correcta. Y por el camino, crearon una nueva rama de las matemáticas: la teoría de la probabilidad.
Un concepto central en su solución era lo que ahora llamamos «esperanza». En un juego de azar, esto es beneficio medio de un jugador a la larga. Por ejemplo, sería 92 céntimos para la corona y el ancla con una apuesta de 1 €. Después de esta segunda conversión, Pascal dejó su pasado en el juego tras él, pero lo usó como ayuda en una famosa argumentación filosófica, la apuesta de Pascal. Pascal asumió, jugando a abogado del diablo, que alguien podría considerar la existencia de Dios como muy poco probable. En su Pensées (Pensamientos) de 1669, Pascal analiza las consecuencias desde el punto de vista de las probabilidades. Consideremos el peso de ganar y perder apostando que Dios es (existe). Estimemos estas dos opciones. Si ganas, lo ganas todo, si pierdes, no pierdes nada. Apuesta, entonces, sin duda, a que Él es ... Hay por ganar una infinidad de una vida infinitamente feliz, una oportunidad de ganar contra un número finito de oportunidades de perder y lo que apuestas es finito. Y así nuestra proposición es de fuerza infinita, cuando se apuesta algo finito en un juego donde hay riesgos iguales de ganar y perder, y el infinito por ganar.
La teoría de la probabilidad triunfó como un área de las matemáticas completamente desarrollada en 1713 cuando Jacob Bernoulli publicó su Ars Conjectandi (El arte de hacer conjeturas). Empezó con la definición de probabilidades de un suceso que funciona habitualmente: la proporción de ocasiones en las que sucederá, a la larga, casi siempre. Digo «definición que funciona» porque esta aproximación a las probabilidades da problemas si tratas de hacerla fundamental. Por ejemplo, supongamos que tengo una moneda no trucada y la lanzo una y otra vez. La mayoría de las veces obtengo una secuencia de aspecto aleatorio de caras y cruces, y si sigo lanzándola durante el tiempo suficiente obtendré cara aproximadamente la mitad de las veces. Sin embargo, rara vez obtengo caras exactamente la mitad de las veces: esto es imposible en un número de lanzamientos impares, por ejemplo. Si trato de modificar la definición tomando inspiración del cálculo, de modo que la probabilidad de obtener caras es el límite de la proporción de caras a medida que el número de lanzamientos tiende a infinito, tengo que probar que este límite existe. Pero solo existe a veces.
Por ejemplo, supón que la secuencia de caras y cruces es la siguiente:
+CC+++CCCCCC++++++++++++...
Con una cruz, dos caras, tres cruces, seis caras, doce cruces, etcétera, el número se dobla en cada etapa después de tres cruces. Después de tres lanzamientos la proporción de caras es 2/3, después de seis lanzamientos es 1/3, después de doce lanzamientos vuelve a ser 2/3, después de veinticuatro es 1/3, ... de modo que la proporción oscila de un lado a otro, entre 2/3 y 1/3, y por lo tanto no tiene un límite bien definido. De acuerdo que dicha secuencia de lanzamientos es muy poco probable, pero para definir «poco probable», necesitamos primero definir probabilidades, que es lo que el límite se supone que tiene que lograr. Así que la lógica es circular. Además, incluso si el límite existe, quizá no sea el valor «correcto» de 1/2. Un caso extremo ocurre cuando la moneda siempre cae con cara. Ahora el límite es 1. De nuevo, esto es improbabilísimo, pero...
Bernoulli decidió aproximarse a todo el tema desde la dirección opuesta. Empezó simplemente definiendo la probabilidad de caras y cruces como algún número entre 0 y 1. Digamos que la moneda es justa si p = 1/2, y está trucada en caso contrario. Ahora Bernoulli probó un teorema básico, la ley de los grandes números. Introduce una regla razonable para asignar probabilidades a una sucesión de sucesos repetidos. La ley de los grandes números afirma que a la larga, con la excepción de una fracción de ensayos que se hace arbitrariamente pequeña, la proporción de caras tiene límite y probabilidades —esto es, números— de un modo natural, la interpretación «proporción de casos que se dan a la larga ignorando excepciones raras» es válida. De modo que Bernoulli consideró el punto de vista de que los números asignados como probabilidades proporcionan un modelo matemático consistente del proceso de lanzar una moneda una y otra vez.
Esta prueba depende de un patrón numérico que era muy familiar a Pascal. Es normalmente llamado el triángulo de Pascal, incluso aunque él no fue la primera persona en fijarse en él. Los historiadores han rastreado suorigen hasta el Chandas Shastra, un texto sánscrito atribuido a Pingala, escrito en algún momento entre el 500 a.C. y el 200 a.C. El original no ha sobrevivido, pero el trabajo es conocido a través de comentarios hindúes del siglo X. El triángulo de Pascal tiene este aspecto:
1
1 1
1 2 1
1 3 3 1
1 4 6 4 1
Donde todas las filas empiezan y acaban en 1 y cada número es la suma de los dos que están justo encima suyo. Ahora llamamos a estos números coeficientes binomiales, porque aparecen en el álgebra de la expresión binomial (de dos variables) (p + q)n. Concretamente:
(p + q)0 = 1
(p + q)1 = p + q
(p + q)2 = p2 + 2pq + q2
(p + q)3 = p3 + 3p2q + 3pq2 + q3
(p + q)4 = p4 + 4p3q + 6p2q2 + 4pq3 + q4
Y el triángulo de Pascal se forma con los coeficientes de términos separados. La clave del entendimiento de Bernoulli es que si lanzamos una moneda n veces, con una probabilidad p de obtener caras, entonces la probabilidad de un número específico de lanzamientos obteniendo cara es el término correspondiente de (p + q)n donde q = 1 – p. Por ejemplo, supongamos que lanzo la moneda tres veces. Entonces los ocho posibles resultados son:
CCC
CC+ C+C +CC
C++ +C+ ++C
+++
Donde he agrupado las secuencias según el número de caras. De modo que de las ocho secuencias posibles hay:
1 secuencia con 3 caras
3 secuencias con 2 caras
3 secuencias con 1 cara
1 secuencia con 0 caras
El vínculo con los coeficientes binomiales no es coincidencia. Si expandes la fórmula algebraica (C + (+))3 pero no juntas los términos unos con otros, tienes
CCC + CC(+) + C(+)C + (+)CC + C(+)(+) + (+)C(+) + (+)(+)C +
(+)(+)(+)
Agrupando los términos según el número de Cs, tenemos entonces:
C3 + 3C2(+) + 3C(+)2 + (+)3
Después de eso, se trata de remplazar cada C y (+) por su probabilidad, p o q, respectivamente. Incluso en este caso, cada extremo CCC y +++ se da solo una vez en ocho pruebas, y números más equitativos se dan en los otros seis. Un cálculo más sofisticado usando propiedades estándar de los coeficientes binomiales prueba la ley de Bernoulli de los grandes números. Los avances en las matemáticas con frecuencia son provocados por la ignorancia. Cuando los matemáticos no sabían cómo calcular algo importante, encontraban un modo de acercarse sigilosamente a ello indirectamente. En este caso, el problema es calcular estos coeficientes binomiales. Hay una fórmula explícita, pero si, por ejemplo, quieres saber la probabilidad de obtener exactamente 42 caras cuando lanzas una moneda 100 veces, tienes que hacer 200 multiplicaciones y luego simplificar una fracción muy complicada. (Hay atajos, pero son también liosos.) Mi ordenador me dice en una fracción de segundo que la respuesta es: 28.258.808.871.162.574.166.368.460.400p42q58.
Pero Bernoulli no tenía este lujo. Nadie lo tuvo hasta la década de los sesenta del siglo xx y los sistemas de álgebra computacional no estuvieron realmente disponibles de manera general hasta finales de la década de los ochenta de ese mismo siglo. Como este tipo de cálculo directo no era viable, los sucesores inmediatos de Bernoulli trataron de encontrar buenas aproximaciones.
Alrededor de 1730, Abraham De Moivre obtuvo una fórmula aproximada para las probabilidades involucradas en lanzamientos repetidos de una moneda trucada. Esto llevó a la función error o a la distribución normal, a la que con frecuencia se hace referencia como la «curva de campana» o «campana de Gauss» a causa de su forma. Lo que él probó fue esto. Define la distribución normal F(x) con media µ y varianza s2 con la fórmula:

Entonces para una n grande, la probabilidad de obtener m caras en n lanzamientos de una moneda trucada está muy cercana a F(x) cuando: x = m/n – p µ = np s = npq Aquí «media» se refiere al promedio, y «varianza» es una medida de cómo de dispersos están los datos, el ancho de la campana de Gauss. La raíz cuadrada de la varianza, s sin más, se llama la desviación estándar. La figura siguiente (izquierda) muestra cómo el valor de F(x) depende de x. La curva se parece un poco a una campana, de ahí el nombre que recibe de manera informal. La campana de Gauss es un ejemplo de una distribución de probabilidad, lo que significa que la probabilidad de obtener datos entre dos valores dados es igual al área bajo la curva y entre las líneas verticales que se corresponden con esos valores. El área total bajo la curva es 1, gracias a ese factor inesperado v2p .
La idea se entiende mucho más fácilmente usando un ejemplo. La figura (derecha) muestra un gráfico de probabilidades de obtener varios números de caras cuando se lanza una moneda no trucada 15 veces seguidas (barras rectangulares) junto con la curva de campana aproximada.

FIGURA. A la izquierda: campana de Gauss. A la derecha: cómo aproximar el número de caras en 15 lanzamientos de una moneda no trucada.
La campana de Gauss empezó a adquirir un estatus icónico cuando empezó a aparecer en datos empíricos en las ciencias sociales, no tan solo en las matemáticas teóricas. En 1835 Adolphe Quetelet, un belga quienentre otras cosas fue pionero en métodos cuantitativos en sociología, recogió y analizó grandes cantidades de datos de crímenes, la proporción de divorcios, suicidios, nacimientos, muertes, altura de los humanos, peso, etcétera. Variables que nadie esperaba que se ajustasen a una ley matemática, porque sus causas subyacentes eran demasiado complejas e implicaban elecciones humanas. Considera, por ejemplo, el tormento emocional que lleva a alguien a cometer suicidio. Parece ridículo pensar que esto podría reducirse a una simple fórmula.
Estas objeciones tienen mucho sentido si quieres predecir exactamente quién se matará a sí mismo y en qué momento. Pero cuando Quetelet centró la atención en cuestiones estadísticas, tales como la proporción de suicidios en varios grupos de gente, varias localizaciones y diferentes años, empezó a ver patrones. Esto resultó controvertido: si predices que habrá seis suicidios en París el próximo año, ¿cómo puede tener sentido cuando cada persona involucrada actúa según su propia voluntad? Podrían todos cambiar sus pensamientos. Pero la población formada por aquellos que se matarán no está especificada de antemano, aparece como una consecuencia de las elecciones hechas no solo por aquellos que cometen suicidio, sino por aquellos que piensan sobre ello y no lo hacen. El ejercicio de libre voluntad de la gente en el contexto de muchas otras cosas, las cuales influyen en que decidan libremente; aquí las limitaciones incluyen problemas financieros, problemas de relación, estado mental, formación religiosa... En cualquier caso, la campana de Gauss no hace predicciones exactas, solo expone qué cifra es más probable. Quizá ocurran cinco o siete suicidios, dejando espacio de sobra para que cualquiera ejerza su libre voluntad y cambie de opinión.
Los datos finalmente triunfan: por la razón que sea, la gente en masa se comporta más predeciblemente que los individuos. Quizá el ejemplo más simple sea la altura. Cuando Quetelet determinó las proporciones de gente con una altura dada, obtuvo una bella campana de Gauss como la de la siguiente figura. Obtuvo la misma forma de curva para muchas otras variables sociales.

FIGURA. El gráfico de Quetelet de cuánta gente (eje vertical) tiene una altura dada (eje horizontal).
Quetelet estaba tan impresionado con sus resultados que escribió el libro "Sur l’homme et le développement de ses facultés" (Sobre el hombre y el desarrollo de las facultades humanas), publicado en 1835. En él, introduce la noción del «hombre medio», un individuo ficticio que estaba en todos los aspectos en la media. Hace tiempo que se percibió que esto no funcionaba del todo; el «hombre» medio, esto es, una persona, de modo que el cálculo incluye hombres y mujeres, tiene (ligeramente menos que) un pecho, un testículo, 2,3 hijos, etcétera. No obstante, Quetelet vio su hombre medio como el objetivo de la justicia social, no solo una ficción matemática llamativa. No es tan absurdo como suena. Por ejemplo, si la riqueza humana se reparte por igual a todos, entonces todo el mundo tendrá la riqueza media. No es un objetivo práctico, a menos que ocurran cambios sociales enormes, pero alguien con fuertes visiones igualitarias podría defenderlo como un objetivo deseable.
La campana de Gauss rápidamente pasó a ser un icono en teoría de la probabilidad, especialmente su rama aplicada, la estadística. Había dos razones principales: la campana de Gauss era relativamente simple de calcular, y había una razón teórica para que se diese en la práctica. Una de las principales fuentes para este modo de pensamiento era la astronomía del siglo XVIII. Los datos que se observaban estaban sujetos a errores, causados por ligeras variaciones en aparatos, errores humanos, o simplemente el movimiento del aire de ese momento en la atmósfera. Los astrónomos de la época querían observar los planetas, cometas y asteroides, y calcular sus órbitas, y esto requería encontrar la órbita que encajase mejor con los datos. Cómo encajaba no sería nunca perfecto.
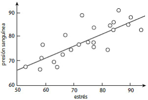
Primero apareció la solución práctica a este problema. Se reducía a lo siguiente: dibuja una línea recta a través de los datos y escoge esta línea de manera que el error total sea lo más pequeño posible. Los errores aquí tienen que considerarse positivos y el modo más fácil de lograr esto mientras mantenemos el álgebra agradable es elevarlos al cuadrado. Así el error total es la suma de los cuadrados de las desviaciones de las observaciones a partir de la línea recta trazada, y la línea deseada minimiza este error. En 1805 el matemático francés Adrien-Marie Legendre descubrió una fórmula simple para esta línea, haciendo fácil su cálculo. El resultado es el llamado método de los mínimos cuadrados. La siguiente figura ilustra el método con datos artificiales relacionados con el estrés (medidos con un cuestionario) y la presión sanguínea. La línea en la imagen, calculada usando la fórmula de Legendre, es la que se ajusta mejor a los datos según la medida del error cuadrático. En diez años, el método de los mínimos cuadrados era estándar entre los astrónomos en Francia, Prusia e Italia. Pasados otros veinte años era estándar en Inglaterra.

FIGURA. Utilización del método de los mínimos cuadrados para relacionar la presión sanguínea y el estrés. Los puntos: los datos. La línea: la línea recta que se ajusta mejor.
Gauss hizo del método de los mínimos cuadrados una piedra angular de su trabajo en mecánica celeste. Llegó al área en 1801, mediante una predicción con éxito de la vuelta del asteroide Ceres después de que se escondiese tras el resplandor del Sol, cuando la mayoría de los astrónomos pensaban que los datos disponibles eran demasiado limitados. Este triunfo selló su reputación matemática entre el público y lo instaló de por vida como profesor de astronomía en la Universidad de Gotinga. Gauss no usó los mínimos cuadrados para esta predicción en particular, su cálculos se reducen a resolver ecuaciones algebraicas de grado ocho, las cuales obtuvo por un método numérico inventado expresamente. Pero en su trabajo posterior, culminando en su "Theoria Motus Corporum Coelestium in Sectionibus Conicis Solem Ambientum" (Teoría del movimiento de cuerposcelestes moviéndose en secciones cónicas alrededor del Sol) de 1809, hacía gran énfasis en el método de los mínimos cuadrados. También afirmó que había desarrollado, y usado, la idea diez años antes de Legendre, lo cual causó un poco de revuelo. Sin embargo, era muy probable que fuese cierto y la justificación de Gauss del método era bastante diferente. Legendre lo había visto como un ejercicio en el ajuste de curvas, mientras que Gauss lo vio como un modo de ajustar una distribución de probabilidad. Su justificación de la fórmula asumía que los datos subyacentes, para los cuales se ajustaba la línea recta, seguían una campana de Gauss.
Quedaba justificar la justificación. ¿Por qué deberían estar los errores de observación distribuidos normalmente? En 1810, Laplace aportó una respuesta asombrosa, también motivada por la astronomía. En muchas ramas de la ciencia es normal hacer la misma observación varias veces independientemente y luego tomar la media. De manera que es naturalhacer un modelo matemático de este procedimiento. Laplace usó la transformada de Fourier para probar que el promedio de muchas observaciones se describe con una campana de Gauss, incluso si las observaciones individuales no lo hacen. Su resultado, el teorema central del límite, fue un punto de inflexión muy importante en probabilidad y estadística, porque proporcionó una justificación teórica para usar la distribución favorita de los matemáticos, la campana de Gauss, en el análisis de los errores experimentales.
El teorema central del límite distingue la campana de Gauss como la única distribución de probabilidad apropiada para la media de muchas observaciones repetidas. De ahí que adquiriese el nombre de «distribución normal», y se vio como la elección por defecto para una distribución de probabilidad. No solo la distribución normal tiene unas propiedades matemáticas gratas, sino que hay también razones sólidas para asumirlas como modelo para datos reales. Esta combinación de atributos resultó ser muy atractiva para los científicos que deseaban comprender mejor los fenómenos sociales que habían interesado a Quetelet, ya que ofrecía un modo de analizar los datos a partir de registros oficiales.
En 1865, Francis Galton estudió cómo la altura de un niño se relaciona con la altura de sus padres. Esto era parte de un objetivo más amplio: comprender la herencia, cómo las características humanas pasan de padres a hijos. Irónicamente, al principio el teorema central del límite de Laplace llevó a Galton a dudar de la existencia de este tipo de herencia. Y, aunque existiese, probarla sería difícil, porque el teorema central del límie era una espada de doble filo.

Francis Galton
Quetelet había encontrado una bella campana de Gauss para las alturas, pero parecía decir muy poco sobre los diferentes factores que afectaban a la altura, porque el teorema central del límite predecía una distribución normal en cualquier caso, para cualquier distribución posible de estos factores. Incluso si las características de los padres estaban entre estos factores, podrían ser aplastadas por las otras, tales como la nutrición, salud, estatus social, etcétera. En 1889, sin embargo, Galton había encontrado una respuesta a este dilema. La prueba del maravilloso teorema de Laplace se apoyaba en calcular el promedio de los efectos de muchos factores distintos, pero estos tienen que satisfacer algunas condiciones rigurosas. En 1875, Galton describió estas condiciones como «sumamente artificiales» y señaló que las influencias al ser una media, deben ser (1) todas independientes en sus efectos, (2) todas iguales (teniendo la misma distribución de probabilidad), (3) todas admiten ser tratadas como alternativas simples «sobre el promedio» o «bajo el promedio», y (4) ... calculadas sobre la suposición de que las influencias de la variable son infinitamente numerosas.
Ninguna de estas condiciones se aplica a la herencia humana. La condición (4) corresponde a la suposición de Laplace de que el número de factores que se añaden tiende a infinito, de modo que «infinitamente numerosas» es un poco exagerado; no obstante, lo que establecieron los matemáticos era que para obtener una buena aproximación a la distribución normal, tienes que combinar un número de factores grande. Cada uno de ellos contribuye en una pequeña cantidad al promedio; con, por ejemplo, una centena de factores, cada uno contribuye una centésima de su valor. Galton se refiere a dichos factores como «insignificantes». Cada uno por sí mismo no tiene un efecto significativo.
Había una salida potencial, y Galton la aprovechó. El teorema central del límite proporciona una condición suficiente para que una distribución sea normal, no una necesaria. Aunque estas suposiciones no se cumplan, la distribución que nos ocupa podría todavía ser normal por otras razones. La tarea de Galton era averiguar cuáles podrían ser estas razones. Para tener alguna esperanza de vincularlo con la herencia, tenían que aplicarse a la combinación de una pocas influencias grandes y dispares, no a un número enorme de influencias insignificantes. Lentamente buscó a tientas su camino hacia una solución y lo encontró a través de dos experimentos, ambos datan de 1877. Una fue un artilugio, la máquina de Galton, en el cual una bolas caen por una pendiente, rebotando contra un grupo de clavos con las mismas posibilidades de ir a la izquierda y a la derecha. En teoría las bolas deberían apilarse en la parte baja según una distribución binomial, una aproximación discreta a la distribución normal, así que debería, y lo hacen, formar, aproximadamente, un montón con forma de campana, como en la figura vista anteriormente (derecha). La clave para comprenderlo fue imaginar que las bolas se detienen temporalmente cuando están bajando. Todavía formarán una campana de Gauss, pero sería más estrecha que la final.
Imagina liberar tan solo un compartimento de bolas. Caerían al fondo, distribuyéndose en una campana de Gauss minúscula. Lo mismo ocurre para cualquier otro compartimento. Lo que significa que, al final, la campana de Gauss grande podría verse como una suma de muchas pequeñitas. La campana de Gauss se reproduce a sí misma cuando varios factores, cada uno siguiendo su propia campana de Gauss por separado, se combinan.
El factor decisivo llegó cuando Galton crió guisantes. En 1875, distribuyó semillas entre siete amigos. Cada uno recibió 70 semillas, pero uno recibió semillas muy ligeras, otro unas ligeramente más pesadas, etcétera. En 1877, midió los pesos de las semillas de la progenie resultante. Cada grupo está normalmente distribuido, pero el peso medio difería en cada caso, siendo comparable al peso de cada semilla en el grupo original. Cuando combinó los datos para todos los grupos, los resultados de nuevo estaban normalmente distribuidos, pero la varianza era mayor, la campana de Gauss era más ancha. De nuevo, esto sugería que combinando varias curvas de campana se llegaba a otra campana de Gauss. Galton buscó el origen de la razón matemática para esto. Supón que dos variables aleatorias están normalmente distribuidas, no necesariamente con la misma media o la misma varianza. Entonces su suma está también normalmente distribuida; esto quiere decir que es la suma de las dos medias y su varianza es la suma de dos varianzas. Obviamente lo mismo aplica para la suma de tres, cuatro o más variables aleatorias normalmente distribuidas.
Este teorema funciona cuando un número pequeño de factores se combinan y cada factor puede multiplicarse por una constante, así que realmente funciona para cualquier combinación lineal. La distribución normal es válida incluso cuando el efecto de cada factor es grande. Ahora Galton podía ver cómo este resultado se aplicaba a la herencia. Supongamos que la variable aleatoria dada para la altura de un niño es alguna combinación de las variables aleatorias correspondientes para las alturas de sus padres, y estas siguen una distribución normal. Asumiendo que los factores hereditarios funcionan para la suma, la altura del niño seguirá también una distribución normal.
Galton escribió sus ideas en 1889 bajo el título de "Natural Inheritance" (Herencia natural). En particular, discutió una idea que llamó regresión. Cuando un progenitor alto y uno bajo tienen un niño, la altura media del niño debería ser intermedia, de hecho, debería ser la media de la altura de los padres. Asimismo la varianza debería ser el promedio de las varianzas, pero las variazas para los padres parecían ser aproximadamente iguales, así que la varianza no cambiaba mucho. A medida que pasaban generaciones sucesivas, la altura media debería «regresar» a un valor fijo a mitad de camino, mientras que la varianza debería permanecer sin demasiados cambios. De modo que la nítida campana de Gauss de Quetelet podía sobrevivir de una generación a otra. Su pico rápidamente se asentaría en un valor fijo, la media total, mientras que su ancho sería igual. Por tanto cada generación debería tener la misma diversidad de alturas, a pesar de la regresión a la media. La diversidad se mantendría gracias a individuos raros cuya regresión fracasase y era autosuficiente en una población suficientemente grande
Con el papel central de la campana de Gauss firmemente fundamentado en lo que, con el tiempo, se consideraron cimientos sólidos, los estadísticos podían trabajar sobre la percepción de Galton y los trabajadores en otros campos podían aplicar los resultados. Las ciencias sociales fueron uno de los primeros beneficiarios, pero la biología pronto le siguió y las ciencias físicas ya estaban adelantadas en este juego gracias a Legendre, Laplace y Gauss. Pronto una caja de herramientas estadísticas completa estuvo disponible para cualquiera que quisiera extraer patrones a partir de datos. Me centraré tan solo en una técnica, porque se usa de manera rutinaria para determinar la eficacia de medicamentos y procedimientos médicos, además de tener muchas otras aplicaciones. Se llama contraste de hipótesis y su objetivo es evaluar la importancia de patrones aparentes en los datos. Fue descubierta por cuatro personas: los ingleses Ronald Aylmer Fisher, Karl Pearson, su hijo Egon, y el polaco nacido en Rusia y que pasó la mayoría de su vida en América, Jerzy Neyman. Me centraré en Fisher, quien desarrolló las ideas básicas cuando estaba trabajando como estadístico agrícola en la Estación Experimental de Rothamstead, analizando nuevas variedades de plantas.
Supongamos que estás cultivando una variedad nueva de patata. Tus datos sugieren que esta variedad es más resistente a algunas plagas. Pero dichos datos están sujetos a muchas fuentes de error, de modo que no puedes estar completamente seguro de que los números apoyen esa conclusión, ciertamente no tan seguro como un físico que puede hacer medidas muy precisas para eliminar la mayoría de los errores. Fisher se dio cuenta de que el asunto clave era distinguir una diferencia genuina de una que surgiese puramente por casualidad, y que el modo de hacer esto es preguntar cuán probable sería esa diferencia si solo una casualidad estuviese involucrada.
Asume, por ejemplo, que la variedad nueva de patata parece conferir el doble de resistencia, en el sentido de que la proporción de la nueva variedad que sobrevive a las plagas es el doble de la proporción para la variedad antigua. Es concebible que este efecto sea debido al azar y puedas calcular su probabilidad. De hecho, lo que calculas es la probabilidad de un resultado al menos tan extremo como el observado en los datos. ¿Cuál es la probabilidad de que la proporción de la nueva variedad que sobrevive a la plaga sea al menos dos veces la de la variedad antigua? Incluso se permiten proporciones mayores porque la probabilidad de obtener exactamente dos veces la proporción seguro que es muy pequeña. Cuanto más amplio sea el rango de resultados que incluyas, se hacen más probables los efectos del azar, así que puedes confiar más en tu conclusión si tus cálculos sugieren que no es resultado del azar. Si esta probabilidad obtenida por estos cálculos es baja, digamos 0,05, entonces el resultado es poco probable que sea fruto del azar, se dice que tiene un nivel de significación del 95 %. Si la probabilidad es más baja, por ejemplo 0,01, entonces el resultado es extremadamente poco probable que sea por azar y se dice que su nivel de significación es del 99 %. Los porcentajes indican que si solo interviniese el azar, el resultado no sería tan extremo como el observado en el 95 % de las pruebas, o en el 99 % de ellas.

Ronald Aylmer Fisher
Fisher describió su método como una comparación entre dos hipótesis distintas: la hipótesis de que los datos son significativos en un nivel establecido, y la llamada hipótesis nula, en la que los resultados se deben al azar. Insistió en que su método no debe ser interpretado como confirmación de la hipótesis de que los datos son significativos, debe ser interpretado como un rechazo de la hipótesis nula. Lo que quiere decir que proporciona evidencias contra los datos que no son significativos. Esto podría parecer una distinción muy fina, ya que la evidencia contra los datos que no son significativos seguramente cuenta como evidencia a favor de que sean significativos. Sin embargo, no es completamente cierto, y la razón es que la hipótesis nula tiene una suposición intrínseca extra.
Para calcular la probabilidad de que un resultado tan extremo sea debido al azar, necesitas un modelo teórico. El modo más simple de obtener uno es asumir una distribución de probabilidad específica. Esta suposición se aplica solo en conexión con la hipótesis nula, porque eso es lo que usas para hacer las cuentas. No asumes que los datos están distribuidos normalmente. Pero la distribución por defecto para la hipótesis nula es normal: la campana de Gauss. Este modelo inherente tiene una consecuencia importante, que «el rechazo a la hipótesis nula» tiende a disimular. La hipótesis nula es «los datos son causa del azar». De modo que es demasiado fácil leer esa afirmación como «rechazo de que los datos son debidos al azar», lo cual implica que aceptas que no se deben al azar. Aunque, realmente, la hipótesis nula es «los datos son debidos al azar y los efectos del azar están distribuidos normalmente», así que podría haber dos razones para rechazar la hipótesis nula: los datos no se deben al azar, o no siguen una distribución normal. La primera apoya lo significativo que son los datos, pero la segunda no. Dice que puede que estés usando el modelo estadístico equivocado.
El trabajo agrícola de Fisher, estaba generalmente lleno de evidencias para distribuciones normales de los datos. De modo que la distinción que estoy haciendo realmente no importa. Aunque en otras aplicaciones del contraste de hipótesis podría importar. Decir que los cálculos rechazan la hipótesis nula sí es cierto, pero debido a que la suposición de una distribución normal no está explícitamente mencionada, es bastante fácil olvidar que necesitas comprobar la normalidad de la distribución de los datos antes de concluir que tus resultados son estadísticamente significativos. A medida que el método es usado por más y más gente entrenada en cómo hacer los cálculos pero no en las suposiciones que hay tras él, existe un peligro creciente de asumir erróneamente que las pruebas muestran que tus datos son significativos. Especialmente cuando la distribución normal se ha convertido en la suposición automática por defecto.
En la conciencia pública, el término «campana de Gauss» está indeleblemente asociado con el polémico libro de 1994 "The bell curve 2 (La campana de Gauss) escrito por dos norteamericanos, el psicólogo Richard J. Herrnstein y el científico político Charles Murray. El principal tema del libro es un reivindicado vínculo entre la inteligencia, medida por el coeficiente intelectural (CI), y variables sociales como los ingresos, el empleo, los índices de embarazo y el crimen. Los autores argumentan que niveles de CI son mejores prediciendo dichas variables que el estatus social y económico de los padres o su nivel de educación. Las razones para la controversia y los argumentos involucrados son complejos. Un rápido esbozo no puede realmente hacer justicia al debate, pero los temas van directos de vuelta a Quetelet y merecen su mención.
La polémica era inevitable, no importa cuáles podrían haber sido los méritos o deméritos académicos del libro, porque pone el dedo en la llaga: la relación entre raza e inteligencia. Los artículos en los medios tienden a insistir en la propuesta de que las diferencias en el CI tienen un origen genético predominante, pero el libro era más cuidadoso sobre este vínculo, dejando la interacción entre genes, el entorno y la inteligencia abiertos. Otro tema polémico era un análisis sugiriendo que la estratificación social en los Estados Unidos (y en realidad en cualquier lugar) se incrementó significativamente a lo largo del siglo XX, y que la principal causa fue las diferencias en la inteligencia. Otro más era una serie de recomendaciones políticas para tratar este presunto problema. Una era reducir la inmigración, la cual el libro reivindicaba que estaba bajando el CI medio. Quizá la más polémica era la sugerencia de que las políticas de bienestar social que supuestamente animaban a mujeres pobres a tener hijos deberían detenerse.
Irónicamente, la idea se remonta al propio Galton. Su libro "Hereditary Genius" (Genio hereditario) de 1869 construido sobre escritos anteriores para desarrollar la idea de que «las habilidades naturales de un hombre son derivadas de la herencia, bajo exactamente las mismas limitaciones que la forma y las características físicas de todo el mundo orgánico. Consecuentemente ... sería bastante factible producir una raza altamente dotada de hombre por matrimonios juiciosos durante varias generaciones consecutivas». Afirmaba que la fertilidad era mayor entre los menos inteligentes, pero evitaba cualquier sugerencia de selección deliberada en favor de la inteligencia. En su lugar, expresaba la esperanza de que la sociedad podría cambiar de modo que la gente más inteligente comprendiese la necesidad de tener un montón de niños.
Para muchos, la propuesta de Herrnstein y Murray para manipular el sistema de bienestar estaba incómodamente cerca del movimiento de eugenesia de principios del siglo XX, por el cual 60.000 norteamericanos fueron esterilizados, supuestamente por una enfermedad mental. La eugenesia pasó a estar ampliamente desacreditada cuando se empezó a asociar con la Alemania nazi y el holocausto, y muchas de sus prácticas son ahora consideradas violaciones de la legislación de los derechos humanos, en algunos casos ascendiendo a crímenes contra la humanidad. Las propuestas de engendrar humanos de manera selectiva son generalmente vistas como racismo intrínsecamente. Varios científicos sociales refrendaron las conclusiones científicas del libro pero cuestionaron la carga de racismo; algunos de ellos estaban menos seguros sobre las propuestas políticas.
"The Bell Curve" inició un debate prolongado sobre los métodos usados para recoger datos, los métodos matemáticos usados para analizarlos, la interpretación de los resultados y las sugerencias políticas basadas en estas interpretaciones. Un grupo de trabajo seleccionado por la American Psycological Association concluyó que algunos resultados del libro eran válidos: las puntuaciones del CI son buenas para predecir logros académicos, esto está correlacionado con el estatus laboral y no hay diferencias significativas en los resultados de hombres y mujeres. Por otro lado, el informe del grupo de trabajo reafirmó que tanto genes como entorno influyen en la puntuación del CI y no encontró evidencias significativas de que las diferencias raciales en las puntuaciones del CI estén genéticamente determinadas.
Otro críticos han argumentado que hay errores en la metodología científica, tales como ignorar datos que no convenían, y que el estudio y algunas respuestas podrían de algún modo haber sido motivados políticamente. Por ejemplo, es cierto que la estratificación social se ha incrementado dramáticamente en Estados Unidos, pero podría argumentarse que la causa principal es la negativa de los ricos a pagar impuestos, más que las diferencias en la inteligencia. También parece que hay inconsistencia entre el presunto problema y la solución propuesta. Si la pobreza hace que la gente tenga más niños y crees que eso es una cosa mala, ¿a santo de qué querría hacerlos todavía más pobres? Una parte importante del fondo, con frecuencia ignorado, es la definición del CI. Más que ser algo directamente medible, como la altura o el peso, el CI es deducido estadísticamente a partir de test. Los sujetos se exponen a las preguntas y sus puntuaciones son analizadas usando un descendiente del método de los mínimos cuadrados llamado análisis de la varianza. Como el método de los mínimos cuadrados, esta técnica asume que los datos se distribuyen según la distribución normal, y busca aislar aquellos factores que determinan la mayor cantidad de variabilidad en los datos y son por tanto los más importantes para modelar los datos.

Charles Spearman
En 1904, el psicólogo Charles Spearman aplicó esta técnica a varios test de inteligencia diferentes. Observó que las puntuaciones que los sujetos obtenían en test diferentes estaban altamente correlacionadas, es decir, si alguien lo hacía bien en uno de los test, tendía a hacerlo bien en todos. Intuitivamente, parecían estar midiendo la misma cosa. El análisis de Spearman mostró que un único factor común —una variable matemática, a la cual llamó g, que significaba «inteligencia general»— explicaba casi todo sobre la correlación. El CI es una versión estandarizada de la g de Spearman. Una cuestión clave es si g es una cantidad real o una ficción matemática. La respuesta es complicada a causa de los métodos usados para escoger las pruebas para el CI. Estas asumen que la distribución de inteligencia «correcta» en la población es la normal (la campana de Gauss epónima), y calibra los test manipulando las puntuaciones matemáticamente para estandarizar la media y la desviación estándar. Un peligro potencial aquí es que obtienes lo que esperas porque sigues los pasos para filtrar cualquier cosa que lo contradijera. Stephen Jay Gould hizo una crítica extensiva de dichos peligros en 1981 en "The Mismeasure of Man" (La falsa medida del hombre), señalando entre otras cosas que puntuaciones sin filtrar en test del CI con frecuencia no siguen una distribución normal para nada.
La principal razón para pensar que g representa una característica genuina de la inteligencia humana es que es el único factor: matemáticamente define una única dimensión. Si muchos test diferentes parecen todos estar midiendo la misma cosa, es tentador concluir que la cosa que nos concierne debe ser real. Si no lo es, ¿por qué todos los resultados serían tan similares? Parte de la respuesta podría ser que los resultados de los test de CI se reducen a una puntuación numérica única. Esto comprime un conjunto de preguntas multidimensional y actitudes potenciales en una respuesta unidimensional. Además, los test han sido seleccionados de modo que la puntuación esté correlacionada fuertemente con la visión de respuestas inteligentes de quien lo diseña, si no, nadie consideraría usarlo.
Por analogía, imagina recoger datos de varios aspectos diferentes del «tamaño» en el reino animal. Uno podría medir la masa, otro la altura, otro la longitud, ancho, diámetro de la pata trasera izquierda, tamaño de los dientes, etcétera. Cada una de dichas medidas sería un único número. En general estarían íntimamente correlacionados: animales altos tienden a pesar más, a tener dientes mayores, patas más gruesas... Si pasas los datos a través de un análisis de la varianza, encontrarías muy probablemente que una única combinación de estos datos explica la vasta mayoría de la variabilidad, justo como la g de Spearman lo hace para diferentes medidas de cosas aunque estén relacionadas con la inteligencia. ¿Implicaría necesariamente esto que todas estas características de los animales tiene la misma causa subyacente? ¿Que una cosa controla todas? ¿Quizá, posiblemente, un nivel de la hormona del crecimiento? Pero probablemente no. La riqueza de la forma animal no se condensa cómodamente en un único número. Muchas otras características no se correlacionan con el tamaño en absoluto: la habilidad para volar, tener líneas o puntos, comer carne o vegetación. La combinación de medidas especial y única que cuenta para la mayoría de la variabilidad podría ser una consecuencia matemática de los métodos usados para encontrarla, especialmente si esas variables fueron escogidas, como ocurre aquí, por tener mucho en común para empezar.
Volviendo a Spearman, vemos que su muy pregonada g podría ser unidimensional porque los test de CI son unidimensionales. El CI es un método estadístico, conveniente matemáticamente, para cuantificar tipos específicos de habilidades para resolver problemas, pero no necesariamente se corresponde con un atributo real del cerebro humano, y no necesariamente representa lo que sea que queremos decir con «inteligencia». Centrándonos en un único tema, el CI, y usándolo para establecer políticas, "The Bell Curve" ignora el contexto más amplio. Incluso si fuese sensible a manipular genéticamente la población de una nación, ¿por qué restringir este proceso a los pobres? Incluso si de promedio los pobres tiene un CI más bajo que los ricos, un niño pobre brillante superaría a uno rico tonto algún día, a pesar de las obvias ventajas sociales y educacionales de las que los hijos de los ricos disfrutan. ¿Por qué recurrir a los cortes en bienestar cuando podrías dirigirte más exactamente hacia lo que reivindicas que es el problema real: la inteligencia en sí misma? ¿Por qué no mejorar la educación? De hecho, ¿por qué dirigir tus políticas hacia un incremento de la inteligencia? Hay muchos otros rasgos humanos deseables. ¿Por qué no reducir la credulidad, la agresividad o la avaricia?
Es un error pensar en un modelo matemático como si fuera la realidad. En las ciencias físicas, donde los modelos con frecuencia se ajustan a la realidad muy bien, esto podría ser un modo conveniente de pensar porque causa poco daño. Pero en las ciencias sociales, los modelos con frecuencia son poco mejores que caricaturas. La elección del título para "The Bell Curve" alude a esta tendencia a refundir el modelo con la realidad. La idea de que el CI es algún tipo de medida precisa de la habilidad humana, simplemente porque tiene un pedigrí matemático, comete el mismo error. No es sensato basar políticas sociales radicales y muy polémicas en modelos matemáticos erróneos y simplistas. El tema central real sobre "The Bell Curve", uno que trata extensamente pero sin darse cuenta, es que habilidad, inteligencia y sabiduría no son lo mismo.
La teoría de la probabilidad se usa de manera generalizada en ensayos médicos de medicamentos y tratamientos nuevos para probar la significación estadística de los datos. Las pruebas están, con frecuencia, pero no siempre, basadas en la suposición de que la distribución subyacente es normal. Un ejemplo típico es la detección de conglomerados de cáncer. Un conglomerado, para algunas enfermedades, es un grupo en el que la enfermedad se da con más frecuencia de lo esperado en el total de la población. El conglomerado puede ser geográfico, o puede referirse más metafóricamente a gente con un estilo de vida particular o un período de tiempo específico. Por ejemplo, luchadores profesionales retirados o niños nacidos entre 1960 y 1970.
Conglomerados aparentes podrían ser debidos totalmente al azar. Los números aleatorios están raras veces distribuidos en un modo aproximadamente uniforme, en vez de eso, con frecuencia se agrupan unos con otros. En simulaciones aleatorias de la Lotería, donde seis números entre el 1 y el 49 se extraen aleatoriamente, más de la mitad parecen mostrar algún tipo de patrón regular como ser dos números consecutivos o tres números separados por la misma cantidad, por ejemplo, 5, 9, 13. Contrario a la intuición común, lo aleatorio se agrupa. Cuando se encuentra un conglomerado claro, las autoridades médicas tratan de evaluar si se debe al azar o si podría haber alguna posible conexión causal. Hace tiempo, la mayoría de los hijos de pilotos de combate israelíes eran niños. Sería fácil pensar en posibles explicaciones —los pilotos son muy viriles y hombres viriles engendran más chicos (por cierto, no es verdad), los pilotos están expuestos a más radiación de la normal, experimentan fuerzas G mayores—, pero este fenómeno es efímero, igual que un conglomerado aleatorio. En datos posteriores desapareció.
En cualquier población de gente, siempre es probable que haya más niños de un sexo que de otro, exactamente la misma cantidad es muy improbable. Para evaluar el significado del conglomerado, se debe seguir observando y ver si persiste. No obstante, este aplazamiento no puede continuarse indefinidamente, especialmente si el conglomerado tiene que ver con enfermedades serias. El sida fue primero detectado como un conglomerado de casos de neumonía en hombres homosexuales de Norteamérica en la década de los ochenta del siglo XX, por ejemplo. Las fibras de amianto como una causa de una forma de cáncer de pulmón, el mesotelioma, apareció primero como un conglomerado entre antiguos trabajadores de amianto. De manera que los métodos estadísticos se usan para evaluar cuán probables serían dichos conglomerados si surgiesen por razones aleatorias. Los métodos de Fisher de contraste de hipótesis, y métodos relacionados, se usan ampliamente con ese propósito.
La teoría de la probabilidad es también fundamental para nuestra comprensión del riesgo. Esta palabra tiene un significado técnico concreto. Se refiere al potencial para que alguna acción nos lleve a un resultado no deseado. Por ejemplo, volar en un avión podría llevar a estar involucrado en un accidente, fumar cigarrillos podría llevar al cáncer de pulmón, construir una central nuclear podría llevar a liberar radiación en un accidente o ataque terrorista, construir un dique para una central hidroeléctrica podría causar muertes si el dique se derrumba. «Acción» aquí puede referirse a no hacer nada: no vacunar a un niño podría llevar a que muera de una enfermedad, por ejemplo. En este caso hay también un riesgo asociado con vacunar al niño, como puede ser una reacción alérgica. En el conjunto de toda la población este riesgo es pequeño, pero para grupos específicos puede ser mayor.
Se emplean muchos conceptos diferentes de riesgo en contextos diferentes. La definición matemática habitual es que el riesgo asociado con alguna acción, o ausencia de ella, es la probabilidad de un resultado adverso, multiplicado por la pérdida en la que se incurriría. Según esta definición una entre diez probabilidades de matar a diez personas tiene el mismo nivel de riesgo que la probabilidad de una entre un millón de matar a un millón de personas. La definición matemática es racional en el sentido de que hay un fundamento específico tras ella, pero eso no significa que sea necesariamente sensata. Ya hemos visto que la «probabilidad» se refiere a largo plazo, pero para sucesos raros el largo plazo es en realidad muy largo.
Los humanos, y sus sociedades, pueden adaptarse a pequeños números de muertes repetidos, pero un país que de repente pierde un millón de personas de una vez podría estar en problemas serios, porque todos los servicios públicos y la industria estarían bajo una severa presión. Sería de poco consuelo decir que en los próximos 10 millones de años, las muertes totales en los dos casos serían comparables. De modo que se están desarrollando métodos nuevos para cuantificar riesgos en dichos casos. Los métodos estadísticos, derivados de cuestiones sobre el juego, tienen una variedad enorme de usos. Proporcionan herramientas para el análisis social, médico y de datos científicos. Como todas las herramientas, lo que sucede depende de cómo se usen. Cualquiera que utilice métodos estadísticos necesita ser consciente de las suposiciones que hay tras estos métodos, y sus implicaciones.
Introducir números ciegamente en un ordenador y tomar los resultados como palabra de Dios, sin comprender las limitaciones de los métodos que se usan, es una receta para el desastre. El uso legítimo de la estadística, sin embargo, ha mejorado nuestro mundo de manera irreconocible. Y todo empezó con la campana de Gauss.
© 2024 JAVIER DE LUCAS