QUINTA DIMENSION
El ser humano es capaz de lograr
cosas que en principio parecen totalmente fuera de su alcance. Mientras que
personas extraordinarias como Magallanes dieron la vuelta al mundo en
rudimentarios barcos de vela u otros como Neil Armstrong consiguieron pisar la
Luna, otro tipo de personas no menos extraordinarias realizaron viajes incluso
más increíbles. En 1921 cuando la humanidad apenas había empezado a realizar
los primeros viajes aéreos, un físico llamado Theodor Kaluza,
con la simple ayuda de un papel y un lápiz, fue capaz de "viajar"
hasta la quinta dimensión del espacio-tiempo. Una proeza así solo es posible
gracias al alcance universal de las Matemáticas y al extraordinario desarrollo
de la Física del siglo XX. Cinco años después, otro físico llamado Oskar Klein
amplió este viaje dando una explicación de los fenómenos ocultos en la quinta
dimensión.
Lo que estos físicos encontraron en
este viaje es tan impresionante que el propio Einstein quedó completamente
sorprendido. En este artículo descubriremos, utilizando conceptos y expresiones
sencillas, los "tesoros" escondidos que Kaluza
y Klein encontraron en la quinta dimensión y como estos descubrimientos siguen
siendo estudiados por la física moderna actual.
El tensor métrico de la Relatividad General y el Electromagnetismo
Antes de entrar a describir la
teoría de Kaluza-Klein (teoría de KK en adelante) debemos
hacer un breve repaso a algunos conceptos claves de la relatividad general y
del electromagnetismo.
La relatividad general unifica las
3 dimensiones espaciales y la dimensión temporal en una sola entidad de 4
dimensiones llamada espacio-tiempo. La métrica especifica la forma de medir las
distancias en un determinado espacio-tiempo. Para el espacio-tiempo plano
relativista de Minkowski la métrica será:
![]()
El tensor métrico contiene toda la
información necesaria para realizar un cambio de coordenadas desde un sistema
de referencia a otro preservando las distancias. La diagonal del tensor métrico
contiene la métrica en las 4 coordenadas; de esta forma el tensor métrico de la
relatividad general para el espacio-tiempo plano relativista es:

Si queremos describir
espacios-tiempos curvos, los valores del tensor métrico deberán medir trayectos
curvilíneos, por esto suelen usarse coordenadas polares.
Por ejemplo, para transformar la
métrica plana Euclídea tridimensional dada por:
![]()
en la métrica curva de una esfera
utilizamos las coordenadas esféricas dadas por:

Para hallar la métrica en
coordenadas esféricas utilizamos la equivalencia entre coordenadas cartesianas
y polares y derivamos:

De esta forma:

Y haciendo cálculos obtenemos que
la métrica es:
![]()
Puesto que, considerando los
componentes cruzados, la métrica puede escribirse como:

El tensor métrico será:

Este será el tensor métrico de una
superficie esférica como la Tierra. Otro ejemplo sería la métrica 4D del
espacio-tiempo creado por un agujero negro de Schwarzschild:

En este espacio-tiempo puede verse
que en el punto r=2GM (en la superficie del agujero negro), el tensor métrico
diverge y ¡las distancias se hacen infinitas!
Para calcular la dinámica de un
cuerpo en un espacio-tiempo curvo debemos calcular las derivadas parciales del
tensor métrico respecto de todas las dimensiones del espacio-tiempo. Para ello
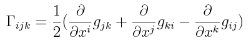
se usan los denominados símbolos de Christoffel cuya notación es:

Donde i,j,k varían desde 1 hasta 4. Esto significa tomar
las derivadas parciales de las componentes del tensor métrico gij respecto a k de la siguiente forma:

Este es el símbolo de Christoffel
de primer grado. Para obtener los símbolos de segundo grado cuya notación es:

simplemente multiplicamos el
símbolo de primer grado ya calculado por la métrica:

Como veremos después, esta última
expresión resultará crucial para entender el denominado mecanismo de Kaluza-Klein.
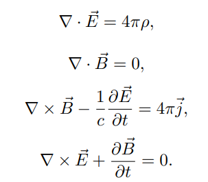
Para finalizar este apartado
recordemos las ecuaciones de Maxwell que describen el electromagnetismo:

Todas estas ecuaciones se pueden
derivar considerando un vector potencial A:

que cumple la siguiente expresión
(invarianza gauge):

Donde F es el campo de fuerza del
electromagnetismo. Con estos ingredientes ya estamos preparados para
adentrarnos en la quinta dimensión.
Añadiendo la quinta dimensión
Cada fila o columna del tensor
métrico puede considerarse como un vector de n componentes. En el
espacio-tiempo 4D de la relatividad general tendremos vectores de 4
componentes: V= (Xo,X1,X2,X3). Si queremos añadir una
nueva dimensión debemos incluir una nueva coordenada espacial al tensor métrico
cuatridimensional de la relatividad general. Para ello debemos añadir las
coordenadas mostradas en color claro:

Puesto que de forma general el
tensor métrico es simétrico, las coordenadas g04,g14,g24
y g34 de la última columna y de la última fila tienen los mismos valores; por
tanto, basta con definir solo un nuevo vector A de cinco componentes para la
nueva dimensión. Describiremos el nuevo vector asociado a la quinta dimensión
de la siguiente forma: A=(A0,A1,A2,A3,psi), donde psi
es un campo que puede tomar un valor cualquiera. El tensor métrico de cinco
dimensiones será entonces:

Para describir la dinámica en las
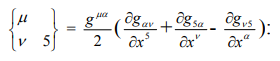
nuevas componentes tenemos que calcular los símbolos de Christoffel asociados.
Estos "símbolos" implican derivadas parciales cruzadas entre todas
las dimensiones de la métrica. Como vimos en el apartado anterior, en la
relatividad general la forma de calcularlos es:

Donde los valores de n,v,p varían de 1 a 4. De forma
análoga los símbolos de Christoffel para cinco dimensiones serán:

Donde ahora M,N,R
varían de 1 a 5. En este cálculo existen componentes "cruzados" que
incluyen tanto derivadas parciales de la quinta dimensión respecto al resto de
dimensiones como derivadas parciales del resto de dimensiones respecto a la
quinta dimensión. A nosotros nos interesan estos últimos componentes. Los
símbolos de Christoffel de estos componentes "cruzados" asociados a
la quinta dimensión serán:

Es ahora cuando llegamos al punto
crucial del llamado "mecanismo de Kaluza-Klein".
Puesto que no existe ninguna evidencia experimental de la existencia de la
quinta dimensión, esta debe ser muy pequeña y periódica por lo que debe de
estar "enrollada" formando un cilindro. Además, la influencia de esta
nueva dimensión sobre el resto de dimensiones grandes debe ser despreciable, lo
que significa que el valor de estas derivadas "cruzadas" respecto a
la quinta dimensión debe ser cero:
![]()
Por tanto los símbolos de Christofell asociados a la quinta dimensión se reducen a:

Aplicando esto a nuestro vector A
asociado a la quinta dimensión del tensor métrico obtenemos:

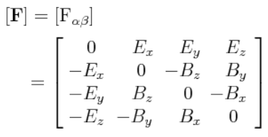
Pero, esta es precisamente la
definición del ¡tensor de fuerza del campo electromagnético! El tensor F
que describe la fuerza electromagnética se define como:

Este es el primer "tesoro" que Kaluza y
Klein encontraron en su viaje: permitiendo que el tensor métrico acceda a una
quinta dimensión compactada hemos conseguido "crear" el campo
electromagnético a partir del espacio-tiempo vacío. Pero además hemos
obtenido otro logro incluso más impresionante: hemos conseguido unificar la
gravedad y el electromagnetismo, puesto que ambas fuerzas fundamentales
pueden derivarse de una misma fuente: el tensor métrico de cinco dimensiones.
El mismísimo Einstein quedó
impresionando cuando Kaluza le envió el artículo para
revisar en 1919.
Pero, ¿Qué significa esta quinta
dimensión?, ¿Es esta nueva dimensión real?, ¿Como podemos interpretar este
fascinante resultado?
Desvelando el misterio de la quinta dimensión
Cinco años después del sorprendente trabajo de Kaluza,
el físico Oskar Klein publicó un artículo que aclaraba muchos aspectos de esta
nueva y misteriosa quinta dimensión.
Klein identificó el sistema de
coordenadas que preservaba la condición cilíndrica asociada a la quinta
dimensión. El sistema de coordenadas asociado a la geometría de cinco
dimensiones que preserva la condición cilíndrica es precisamente aquel que
contiene una simetría gauge U(1) y que deja
invariante el campo de fuerza electromagnético.
La coordenada g44 del tensor
métrico representa el valor de un campo escalar (en ocasiones denominado Radión) que "vive" en la quinta dimensión. Este
escalar se propagaría por la quinta dimensión siguiendo la función de onda
usual. Debido a la geometría periódica circular de la quinta dimensión este
nuevo campo tendría estados excitados n1, n2, ... cuya masa/energía creciente
sería proporcional a n/R, donde R es el radio de la dimensión circular. Esta
"torre" de partículas de masa creciente sería un indicador de la
existencia de nuevas dimensiones compactadas y están siendo buscadas
activamente por experimentos de alta energía como el acelerador LHC.
Klein observó una analogía entre la
óptica y la mecánica y comentó: "La ecuación de onda de Hamilton-Jacobi tiene que ser interpretada como una ecuación en
cinco dimensiones en lugar de en cuatro dimensiones". Con esta
interpretación obtenemos que la carga electromagnética que sentimos en nuestro
Universo cuatridimensional es debida al momento de un campo escalar que se
mueve en la quinta dimensión.
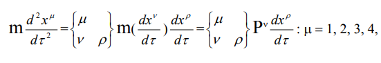
Para ver esto más claro hay que
tener en cuenta que, en la teoría de KK la ecuación tensorial que describe la
aceleración de una partícula cargada en un campo magnético es:

Mientras que la ecuación para una
partícula que se mueve libremente en el espacio-tiempo de KK es:

Comparando las dos expresiones
anteriores se aprecia más claramente lo que expliqué anteriormente: la carga
eléctrica “e” constituye la quinta componente del momento en cinco dimensiones.
Es decir, la carga detectada en 4 dimensiones ¡es una manifestación del
movimiento en la quinta dimensión! Este es el segundo "tesoro"
oculto en la quinta dimensión.
De forma intuitiva, la nueva
dimensión compactada puede visualizarse asignando un círculo a cada punto del
espacio-tiempo 4D. Más concretamente, visto a altísimas energías, cada punto de
nuestro espacio-tiempo es en realidad un círculo.

Recreación de una partícula de altísima energía moviéndose por el
espacio-tiempo de 5 dimensiones
El tercer "tesoro" escondido en la quinta dimensión
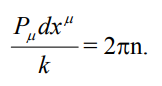
Para descubrir el último tesoro
escondido en la nueva dimensión seguiremos a una función de onda desplazándose
por el espacio-tiempo de 5 dimensiones. La función de onda será:

La invarianza de esta función de
onda respecto a los cambios de la fase implica:

Por tanto:

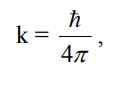
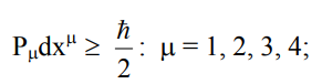
Lo que implica:

Como k tiene unidades de acción le
podemos asignar el siguiente valor constante:

Lo que finalmente nos lleva a:

¡Esta expresión es el principio de
incertidumbre de Heisenberg! ¡A partir de esta expresión pueden derivarse todos
los principios de la mecánica cuántica! Permitiendo el acceso a una quinta
dimensión compactada hemos descubierto el principio fundamental de la mecánica
cuántica. Una nueva dimensión compactada explicaría en términos geométricos la
aparición de los efectos cuánticos que vemos en nuestro Universo 4D. La
interpretación de este hecho es objeto de controversia puesto que como veremos,
una sola dimensión extra no es suficiente para explicar nuestro Universo.
La unificación de las fuerzas fundamentales
Sabemos que en nuestro Universo
existen más fuerzas además de la gravedad y el electromagnetismo: la fuerza
nuclear débil y la fuerza nuclear fuerte. La pregunta evidente es: ¿Podemos
unificar también estas fuerzas accediendo a nuevas dimensiones? Sabemos por el
modelo estándar de la física de partículas que la simetría responsable de la
fuerza débil es la simetría gauge SU(2) y la de la
fuerza fuerte es la SU(3). Debido a esto parece natural intentar incluir estas
nuevas simetrías en una teoría de KK ampliada. Esto ha llevado a los físicos a
incluir grupos de simetría más grandes y a utilizar un número de dimensiones
mayor.
Este proceso ha conducido a la
física fundamental hasta la única teoría capaz de unificar todas las fuerzas
fundamentales: la teoría de supercuerdas. Esta teoría incorpora 6 nuevas
dimensiones compactadas y usa grupos de simetría superiores como el grupo E8.
Podemos concluir que aunque la
teoría KK no describe nuestro Universo real, sí provee un mecanismo capaz de
unificar las fuerzas fundamentales. El mecanismo de Kaluza-Klein
sienta las bases para unificar la gravedad y el resto de fuerzas fundamentales
en un solo marco geométrico de 10 dimensiones.
© 2024 JAVIER DE LUCAS