RUPTURA DEL
ESPACIO-TIEMPO

La teoría definitiva de gravedad cuántica cambiará para siempre nuestra concepción del espacio-tiempo y del Universo que habitamos. Uno de los conceptos clave de este cambio de paradigma podría ser que el espacio-tiempo es en realidad una superposición de geometrías. Si nos basamos en la teoría de la cuantización canónica de la gravedad podemos definir una función de onda del Universo que contiene toda la información sobre la geometría del espacio-tiempo.
En este capítulo veremos algo realmente sorprendente: si esta visión es correcta el espacio-tiempo clásico que conocemos solo está definido en ciertas regiones del superespacio (el espacio de configuraciones donde se define la función de onda del Universo), de hecho, este espacio-tiempo clásico podría romperse a escalas mucho más bajas que la escala de Planck. La "rotura" del espacio-tiempo clásico constituiría el final de la geometría tal y como la conocemos y representaría una región donde el espacio-tiempo clásico es reemplazado por fluctuaciones cuánticas y espacios de probabilidades puramente cuánticos. Esta región puede considerarse un estado más allá del espacio y el tiempo.
La función de onda del Universo y la "ruptura" del espacio-tiempo
La formulación
canónica de gravedad cuántica está basada en la denominada ecuación de
Wheeler-deWitt:

Donde la
función de onda psi es la función de onda del Universo. Una de las soluciones
más conocidas a dicha ecuación la constituye la famosa función de onda de no
contorno de Hartle-Hawking. En este artículo nos basaremos en esta solución. El
espacio-tiempo clásico surge cuando la fase de la función de onda oscila muy
rápidamente de forma que las amplitudes correspondientes al resto de geometrías
se cancelan y solo se mantiene la geometría clásica. En este caso la función de
onda puede ser definida aproximadamente como una suma de términos de la forma:
![]()
Donde la
fase S debe variar mucho más rápidamente que la amplitud A, es decir:
![]()
En el caso
de la función de onda de no contorno la función de onda es aproximada por la
suma:

Donde b es el factor de escala del Universo y x es el campo escalar.
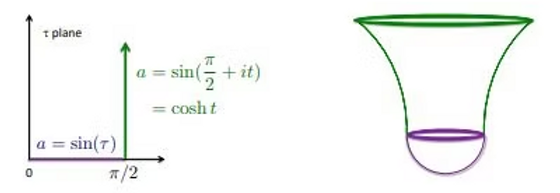
Si nos fijamos
en la figura del famoso instantón que origina la función de onda de no contorno
(ver imagen inferior) el radio de la 4 esfera Euclidea (zona morada) determina
Ir mientras que el régimen Lorentziano (zona verde) determina S:

Por tanto, la variación de la amplitud Ir respecto de la fase S viene dada por:

La condición
para un espacio-tiempo clásico será:

Por tanto la
condición para una geometría clásica es:

Este es el
primer punto clave del artículo: es sabido que el espacio-tiempo clásico se
rompe cerca de la escala de Planck, esto es, cuando la energía potencial del
escalar x
![]()
alcanza la
escala de Planck. Esto sucede para x=1/m, es decir cuando V=1 (en unidades de
Planck). Sin embargo, la expresión anterior nos dice que la geometría clásica
se rompe cuando b=1/mx esto es, mucho antes de la escala de Planck.

La gráfica nos muestra que para los valores de b y x en el intervalo punteado las trayectorias psio´ y psio´´dejan de ser clásicas y el espacio-tiempo se comporta de forma puramente cuántica. La zona sombreada es una región donde el espacio-tiempo clásico que conocemos no existe. Esta zona puede considerarse una región más allá del espacio-tiempo clásico y podría poseer propiedades similares a la región Euclídea del instantón asociado a la función de onda de no contorno donde se producen "saltos" cuánticos por efecto túnel entre trayectorias clásicas. De esta forma, en la zona sombreada podría producirse un "salto" entre las trayectorias psio´ y psio´´.
La pregunta
clave que nos hacemos ahora es: ¿En que circunstancias puede producirse esta
"rotura" del espacio-tiempo en Universos clásicos como el nuestro? La
respuesta es: cuando el Universo es muy pequeño, cuando los campos dominantes
son muy ligeros mx<<mplanck, dentro de los agujeros negros y en Universos
en expansión donde la constante cosmológica es muy grande.
El final del
espacio-tiempo en un agujero negro

La métrica más
genérica para un agujero negro de Schwarzschild puede escribirse:

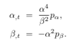
Donde alpha y
beta son funciones de t y x.

Entonces el
Lagrangiano será:

Donde el momento
conjugado es:

Por tanto los
valores de alpha y beta son:

Entonces el
Hamiltoniano es:

Los conmutadores
se definen como:
![]()
Donde:

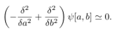
Finalmente
obtenemos la buscada ecuación de Wheeler-DeWitt:

Donde a y b se
definen como:
![]()
Es ahora cuando
llegamos al segundo punto clave: los primeros dos términos de la ecuación de
WdW representan la contribución asociada al propio espacio-tiempo mientas que
el resto representa una barrera de potencial asociada al campo escalar
(materia). Si existiese una región en el Universo en la que ambos términos
fuesen iguales la función de onda del Universo sería cero en esa región.
Como ya habrán podido adivinar esa región existe y es precisamente una región
muy próxima al horizonte de sucesos de un agujero negro.
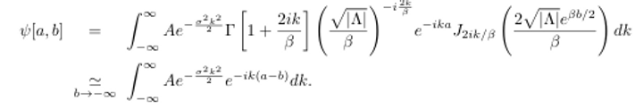
Esto puede
comprobarse fácilmente de la siguiente forma: La función de onda asociada al
movimiento del espacio-tiempo es:

La
solución a esta ecuación son superposiciones de ondas que cumplen:
![]()
y
![]()
Ahora
analizaremos la función de onda del potencial. Tomaremos el caso del potencial
de campana:

Esta
función es igual a la función de onda asociada al movimiento del
espacio-tiempo, por tanto cuando esta onda alcanza la barrera de potencial es
absorbida completamente y por tanto la función de onda del Universo en esa
zona es cero.

Durante su
trayecto hacia el horizonte de sucesos el valor dominante de la función de onda
del Universo es el valor clásico (linea de color claro), pero justo cuando
alcanza la barrera de potencial en el punto (0,0) la función es completamente
absorbida y su valor es cero.
Pero,
entonces ¿significa esto que el espacio-tiempo clásico deja de existir en el
horizonte de sucesos? ¿Podemos afirmar que no existe el interior del agujero
negro?
Una forma de
tratar de entender que sucede en esta región es aplicar el llamado principio de
incertidumbre generalizado. En varias formulaciones de gravedad cuántica el
principio de incertidumbre de Heisenberg es modificado teniendo en cuenta la
escala de energía implicada, esta generalización se expresa de la forma:

Entonces tenemos
que si incrementamos la energía alphalp hasta una escala del orden
de la energía del agujero negro M tenemos que:
![]()
Esto es, la
incertidumbre es ¡del orden del diámetro del agujero negro! Esto quiere decir
que toda la región del interior del agujero negro entra dentro de la zona
puramente cuántica e indeterminada del principio de incertidumbre. ¡El interior
del agujero negro no es clásico es una región puramente cuántica y
probabilística!
Las
implicaciones para la paradoja de la información en agujeros negros
Esto puede verse
más claramente en la siguiente figura:

La línea
vertical representa el tiempo, el arco punteado es la singularidad y la línea
de 45º delimita el horizonte del agujero negro. Como hemos explicado es
necesario sumar sobre todas las geometrías posibles. En la figura izquierda se
muestra que la trayectoria dominante al principio hA contiene al agujero negro
y por tanto dominan las geometrías con horizonte, sin embargo, según el tiempo
avanza la trayectoria dominante hb ya no contiene el horizonte. En la figura de
la derecha se muestra que en las últimas etapas del agujero negro ambas
trayectorias hA y hB están libres de horizonte y por tanto la información del
interior puede escapar libremente.
Más allá del
espacio y el tiempo
Como si fuéramos
exploradores del Universo con poderes "sobrenaturales" la Física
fundamental y las Matemáticas nos han permitido viajar hasta una de las
regiones más ocultas y fascinantes del Universo: una zona con la capacidad para
originar "Universos clásicos" (ramas diferentes de la función de
onda) una región más allá del espacio y el tiempo. ¿Alguien podría
siquiera imaginar un viaje más increíble?
© 2026 JAVIER DE LUCAS