Aplicando una fuerza sobre una rueda

prev.gif (1231 bytes)home.gif (1232 bytes)next.gif (1211 bytes)

Sólido rígido

Movimiento general
de un sólido rígido
Composición de
movimientos
La rueda de Maxwell
Equilibrio 
rotación-traslación(I)
marca.gif (847 bytes)Fuerza sobre una 
  rueda
Rodando por
un plano inclinado
Equilibrio 
rotación-traslación(II)
Deformaciones de
la rueda y el plano
Desplazando el 
plano sobre el que 
se apoya la rueda
Choque frontal de
dos esferas.
Percusión en una
bola de billar
Movimiento de una 
esfera en un
plano horizontal
Choque de dos 
bolas de billar
Movimiento de un disco al que se le aplica una fuerza horizontal

Ejemplo

java.gif (886 bytes)Actividades

 

En el capítulo de dinámica se ha estudiado la fuerza de rozamiento y se ha afirmado que la fuerza de rozamiento se opone al movimiento del cuerpo. El sentido de dicha fuerza es opuesto al de la velocidad. Hemos visto como esta fuerza de rozamiento dinámica produce un trabajo negativo que hace que disminuya la energía total de la partícula.

Cuando un cuerpo rueda sin deslizar, la fuerza de rozamiento estática no produce trabajo alguno. Esta fuerza como vamos a ver puede tener el sentido del movimiento del centro de masa o el sentido opuesto.

 

Movimiento de un disco al que se le aplica una fuerza horizontal

Supongamos que una fuerza externa F actúa a una distancia r<R por encima del centro de masas de una rueda. El punto P de contacto entre la rueda y el plano tiende a deslizar. Existe en dicho punto una fuerza de rozamiento Fr (estática) con un valor límite m eN, que actúa en P para oponerse a que dicho punto (o línea de contacto) deslice. N es la reacción del plano sobre la rueda.

 

Movimiento de rodar sin deslizar

rodar2.gif (2519 bytes) Esta fuerza de rozamiento Fr se puede calcular a partir de las ecuaciones del movimiento
  • Dinámica de la traslación del c.m.

F-Fr=m·ac

  • Dinámica de rotación alrededor de un eje que pasa por el c.m.

F·r+Fr·R=Ic·a

Además, de la condición de rodar (sin deslizar) ac=a ·R

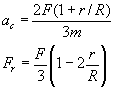
Consideremos que el cuerpo que rueda es un cilindro o un disco de masa m y de radio R, cuyo momento de inercia respecto de a su eje de simetría es Ic=mR2/2,

Resolviendo las ecuaciones anteriores, obtenemos

En la figura se muestra el vector Fr cuando r=0, r=R/2 y r=R.

rodar4.gif (4860 bytes)

Para que la rueda se mantenga rodando sin deslizar se debe de cumplir que el valor absoluto de la fuerza de rozamiento estático Fr sea menor que el valor límite meN

|Fr meN

con N=mg. Si el coeficiente de rozamiento estático µe es tal que

El cilindro rodará sin deslizar. En caso contrario, el cilindro rodará y deslizará a la vez bajo la acción de la fuerza F. Analicemos esta situación

 

Movimiento de rodar deslizando

Pueden ocurrir dos casos

  • Si ac>a R, entonces vP>0. La fuerza de rozamiento dinámica f=µk·mg es de sentido contrario a vP.
rodar5.gif (2332 bytes) Las ecuaciones del movimiento son

Para que ac>a R, se tiene que cumplir que

  • Si ac<a R, entonces vP<0. La fuerza de rozamiento dinámica f es de sentido contrario a vP.
rodar6.gif (2622 bytes) Las ecuaciones del movimiento son

Para que ac<a R, se tiene que cumplir que

Casos posibles Rodar sin deslizar

Rodar deslizando

0<r<R/2 vP=0, Fr<0 vP>0, f<0
r=R/2 vP=0, Fr=0 vP=0, f=0
R/2<r<R vP=0, Fr>0 vP<0, f>0

 

Ejemplo

probema3.gif (2815 bytes) Un cilindro de masa M y radio r tiene enrollada una cuerda en una hendidura de radio r<R, y de masa despreciable que la hace rodar sin deslizar a lo largo de un plano horizontal. La cuerda pasa por una polea y de su extremo cuelga un bloque de masa m. Determinar la aceleración del bloque y su velocidad cuando haya descendido h metros partiendo del reposo.

 

Dinámica

Tenemos que plantear las ecuaciones de la dinámica de dos cuerpos, el bloque y el cilindro.

probema1.gif (2999 bytes) Sobre el bloque actúan dos fuerzas la tensión de la cuerda y el peso. La ecuación del movimiento es

mg-T=ma

Las ecuaciones correspondientes al movimiento de traslación y al movimiento de rotación del cilindro son:

T-Fr=mac
RFr+rT=Ica

El momento de inercia de un cilindro es Ic=MR2/2. Si el cilindro rueda sin deslizar sobre el plano horizontal  ac=a R

probema2.gif (1980 bytes) Nos queda finalmente establecer la relación entre la aceleración del bloque a y la aceleración del centro de masas del cilindro ac. La aceleración del punto P es la suma de la aceleración debida al movimiento de traslación ac y la aceleración debida al movimiento de rotación a r

Completar en un papel las siguientes tablas:

Datos del problema

Masa del bloque, m         kg
Masa del cilindro, M         kg
Relación de radios r/R <1  

Incógnitas

Aceleración del bloque, a            m/s2
Aceleración del c.m. de cilindro, ac            m/s2
Tensión de la cuerda, T            N
Fuerza de rozamiento, Fr            N

Una de las particularidades que se pueden observar es que la fuerza de rozamiento Fr no tiene una fórmula concreta ni tampoco su sentido está definido. Para unos valores del cociente r/R la fuerza tiene sentido positivo (por ejemplo, para r/R=0) y en otros caso tiene sentido negativo (por ejemplo para r/R=1). Existe incluso un valor para de r/R para el cual Fr tiene un valor nulo.

Así pues, la fuerza de rozamiento viene determinada por las ecuaciones del movimiento.

 

Balance de la energía

Cuando el bloque desciende una altura h partiendo del reposo, podemos determinar a partir de los cambios energéticos observados, la velocidad que alcanza el bloque o la velocidad del c.m. del cilindro.

  • La energía potencial del bloque disminuye en mgh
  • La energía cinética del bloque aumenta en mv2/2
  • La energía del cilindro aumenta en Mvc2/2+Icw 2/2 (energía cinética de traslación del c.m. más la energía cinética de rotación)

El balance energético se expresa mediante la ecuación

Nos queda ahora relacionar la velocidad del bloque con la velocidad del c.m. del cilindro

vc=w R es la condición de rodar sin deslizar. La velocidad del punto P es

¿Por qué no se incluye el trabajo de la fuerza de rozamiento en el balance energético?

Completar en un papel las siguientes tablas:

Datos del problema

Masa del bloque, m           kg
Masa del cilindro, M           kg
Relación de radios, r/R  
Altura h que desciende el bloque            m

Incógnitas

Velocidad del bloque, v            m/s
Velocidad del c.m. de cilindro, vc            m/s

 

Actividades

Se introduce

  • La masa m del bloque, en el control de edición titulado Masa del bloque
  • La masa M del cilindro, en el control de edición titulado Masa del cilindro
  • La relación r/R entre radios, en el control de edición titulado Relación radios.

Observar la magnitud y dirección de las fuerzas sobre el bloque y el cilindro y en particular, la fuerza de rozamiento que actúa en el punto de contacto entre le cilindro y el plano horizontal.

Medir el tiempo que tarda en descender el bloque una determinada altura h, partiendo del reposo. Calcular la aceleración del bloque a.

Comparar este resultado con el obtenido a partir de las ecuaciones de la dinámica.

Determinar la velocidad del bloque

v=at

Comparar el resultado con la velocidad obtenida a partir de la aplicación del balance energético.

stokesApplet aparecerá en un explorador compatible con JDK 1.1.