EL TIEMPO
COMPLEJO

"No
es que el Universo sea más extraño de lo que imaginamos, es que es más extraño
de lo que podemos imaginar"
(Werner Heisenberg
Probablemente, el libro de divulgación científica más
vendido de la historia es "Breve historia del tiempo" de Stephen
Hawking con aproximadamente 10 millones de copias vendidas en todo el mundo. En
este libro Hawking menciona un concepto bastante exótico que probablemente haya
sorprendido a la gran mayoría de sus lectores: el concepto de tiempo complejo o
tiempo imaginario.
Este "extraño" concepto ha demostrado ser muy
útil para resolver ciertos problemas de física fundamental y es una de las
ideas clave para entender el llamado estado de Hartle-Hawking
que supone la propuesta más prometedora para describir la creación cuántica del
Universo.
En este
artículo trataré de explicar paso a paso en qué consiste el tiempo imaginario,
sus sorprendentes consecuencias y su posible papel en el comienzo de nuestro
Universo.
Tiempo imaginario y el efecto
túnel cuántico
A continuación veremos uno de los fenómenos más extraños
y contra intuitivos de la mecánica cuántica. Consideremos una partícula (por
ejemplo un fotón) que se encuentra en el primer valle (punto -a) del denominado
potencial de doble campana (potencial cuadrático de la forma x4-2x2+1):

Según la mecánica clásica es imposible que la partícula
alcance el punto "a" si no tiene la energía suficiente para superar
la barrera de potencial central. Por tanto, en ausencia de la energía necesaria,
la partícula permanecerá para siempre confinada en el pozo de potencial. Sin
embargo, la mecánica cuántica nos dice algo que parece increíble: existe una
probabilidad no nula de que la partícula salte "espontáneamente"
desde el mínimo "-a" hasta el mínimo "a". ¿Cómo es esto
posible? Este fenómeno se denomina "efecto túnel cuántico".

Analicemos la dinámica de nuestra partícula confinada en el fondo del pozo de
potencial. Utilizando el formalismo de la mecánica cuántica podemos calcular la
diferencia entre el nivel de energía del estado fundamental (estado de vacío) y
el primer nivel de energía permitido de la partícula. Esta energía es del orden
de:
![]()
Donde A es una constante y g es un parámetro que depende
de la profundidad del pozo de potencial. Este valor constituye la mínima
cantidad de energía necesaria para hacer "saltar" a la partícula
desde el estado de vacío a otro estado de energía. Siguiendo la formulación de
la mecánica cuántica de las integrales de camino de Feynman, la probabilidad de
que una partícula en el mínimo "-a" se propague hasta el mínimo
"a" es:

La acción S[x] es la diferencia entre la energía cinética y la energía
potencial. Para nuestro pozo de potencial anterior tenemos:
![]()
Y la ecuación de movimiento (ecuación de Euler-Lagrange) es por tanto:
![]()
Pero ahora nos topamos con un problema que parece insalvable: esta ecuación no
tiene soluciones reales (ya que obtenemos la raíz cuadrada de un número
negativo) y produce una integral de caminos divergente. Además la acción es
imaginaria ya que la solución de mínima energía (mínima acción) que hace
"saltar" a la partícula debe cumplir:
![]()
Y por tanto tenemos que iS/h=-A/g2h o sea que iS=-A/g2 y por tanto la acción asociada es puramente
imaginaria. Esto supone un grave problema porque no podemos resolver el
propagador entre -a y +a. Es ahora cuando las matemáticas empiezan a mostrar su
"magia": si nos fijamos en la acción o en la ecuación de movimiento
encontramos que todos nuestros problemas derivan del signo negativo.

Y entonces ¡La barrera de potencial desaparecería y
tendríamos un trayecto de energía cero (y mínima acción) que comunica
directamente los puntos -a y a! La acción de este potencial invertido sería:
![]()
Y la ecuación del movimiento sería:
![]()
Estas son las mismas ecuaciones que en el caso anterior pero cambiadas de signo.
La pregunta es: analizando las simetrías del sistema
¿Podemos realizar un cambio en las variables implicadas de forma que la
solución original sea equivalente a la del potencial invertido? La respuesta es
afirmativa, pero el cambio implica usar tiempo imaginario. El cambio que
debemos hacer es sustituir (t) por (-it) lo que
implica que la acción (S) pasa a ser (iS). Ahora,
nuestra mínima acción pasa a ser real y resoluble:
S= A/g2h
La solución a la ecuación de movimiento es:
![]()
Estas soluciones se denominan instantones
y como veremos poseen características asombrosas.
Instantones,
tiempo complejo y el lado oculto de la realidad
Los instantones son soluciones
de las ecuaciones de movimiento y deben su nombre al hecho de que están
localizadas en un instante de tiempo, es decir, el "salto" se produce
en un periodo muy breve de tiempo. De hecho, algunos experimentos sugieren que
el tiempo "real" transcurrido dentro de la barrera es cero.
Cual exploradores de un mundo nuevo y desconocido, los
físicos se han aventurado recientemente a descubrir sus secretos. Para explorar
este mundo oculto, los físicos han utilizado recientes avances en el
conocimiento de cómo "complexificar"
integrales funcionales y avances en la denominada teoría de resurgencia. La
idea clave es utilizar una acción compleja con parte real y parte
imaginaria en lugar de usar una acción puramente real o puramente imaginaria.
El cambio que debe realizarse es el siguiente:
![]()
El parámetro alfa actúa como un "regulador" de
forma que para alfa=0 tenemos nuestra acción puramente real y para
alfa=PI/2 tenemos la acción puramente imaginaria. Con este cambio la
acción es:
![]()
Por tanto la ecuación de movimiento es:
![]()
Y la solución a la ecuación de movimiento es por tanto:
![]()
Para que nuestra modificación en la acción sea válida hay que realizar una
"complexificación" del espacio-tiempo
utilizando técnicas matemáticas desarrolladas recientemente. Una vez realizada
la "complexificación", los
"exploradores" comienzan a ver un mundo nuevo, una "realidad
oculta":

La primera imagen muestra el espacio "complexificado" para alfa=PI/2 que corresponde a
nuestro instantón euclídeo
usual en el que solo apreciamos la parte real (los puntos -a y +a representados
como -1 y +1) y la parte imaginaria es cero. La segunda imagen corresponde a
alfa=PI/4 y en ella comienza a apreciarse un "giro" a través la
componente imaginaria. La tercera imagen corresponde a alfa=PI/8 y en ella
comienza a apreciarse más claramente la oscilación en la parte imaginaria.
El punto clave es el siguiente: a medida que disminuimos
alfa y por tanto vamos pasando de un instantón
puramente imaginario a uno real observamos que lo que en nuestro mundo
"real" es un salto discontinuo es en realidad un camino continuo a
través del espacio-tiempo complejo. ¡Esta es la realidad oculta a la que
solamente podemos acceder con el poder de las Matemáticas!
¿Qué sucede si seguimos bajando el valor de alpha? Para alpha=0,04PI/2 el
resultado es el siguiente:

A medida que nos acercamos a alfa=0 el valor comienza a oscilar más y más
rápido en torno a los puntos "reales" -a y +a. De esta forma para
alfa= 0.001PI/2 obtenemos:

Ahora la oscilación es tan violenta que ¡parece
rellenar todo el espacio-tiempo complejo en torno a los puntos -a y +a!
Aún no está clara la interpretación física de estos
resultados. Parece que el tiempo complejo está ligado a procesos de túnel
cuántico y a procesos de aleatoriedad cuántica
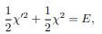
Tiempo imaginario y el comienzo del espacio-tiempo
Las observaciones cosmológicas indican que nuestro
Universo temprano era homogéneo e isótropo y por tanto estaba descrito por la
famosa métrica FLRW.
![]()
Donde a' y X' son las derivadas del factor de escala del Universo y del valor
de un campo escalar respectivamente con respecto al tiempo conforme. La
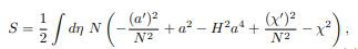
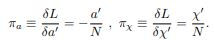
denominada restricción del hamiltoniano implica que
el hamiltoniano total es cero:
![]()
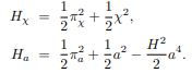
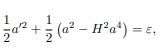
Donde tenemos:
![]()
Esta expresión nos dice algo fundamental: la suma de los hamiltonianos
asociados a los campos de materia Hx y al propio
espacio-tiempo Ha es cero:
![]()
Donde:

La primera expresión corresponde a un oscilador armónico
cuya solución es:
![]()
La segunda expresión es un oscilador anarmónico de
solución:

El potencial que aparece en esta última expresión es un potencial asociado
al propio espacio-tiempo. El punto clave es que este potencial divide el
espacio-tiempo en tres zonas diferentes:

Las zonas I y III están descritas por la métrica usual Lorentziana con tiempo real. Sin embargo, la zona II
representa una barrera de potencial. En el interior de la zona II el
espacio-tiempo es Euclídeo y el tiempo es
imaginario.
Una partícula con energía menor que 4H2C (C=2epsilon) no
tendrá energía suficiente para atravesar la barrera de potencial pero podrá
superarla a través del efecto túnel cuántico.
Es ahora cuando llegamos a nuestro punto clave: nuestro
Universo temprano preinflacionario de energía total
cero pudo haber surgido a través de un instantón que
permitió "atravesar" la barrera del espacio-tiempo Euclideo en el origen del Universo.
Este estado se conoce como el estado de Hartle-Hawking. De hecho, las soluciones a la llamada
ecuación de Wheeler-DeWitt permiten el
"salto" desde un Universo cíclico eterno a un Universo en expansión
como el nuestro:

Así pues ¿Debemos nuestra existencia y la de todo nuestro
Universo al efecto de instantones primordiales? ¿Es
en realidad nuestro Universo un Multiverso o un
Universo formado a partir de un espacio-tiempo cíclico en continua creación de
nuevos Universos? La respuesta puede estar oculta en el concepto de tiempo
complejo.
© 2023 JAVIER DE LUCAS