TOPOLOGIA DEL UNIVERSO

El mundo que habitamos ha demostrado ser mucho más "extraño" y fascinante de lo que nadie hubiese imaginado. Que unos homínidos con un cerebro "cableado" por la evolución para optimizar tareas de supervivencia sean capaces de plantear hipótesis verificables sobre el origen del Universo, sobre su composición y sobre su forma y tamaño, es uno de los hechos más increíbles que existen. La explicación de este hecho reside en el enorme poder de la Física y de las Matemáticas. En este artículo describiré una vez más cómo el enorme poder de estas dos disciplinas juntas es capaz de lograr cosas que parecen, a todas luces, fuera del alcance de cualquier ser humano, cosas, como medir la topología de nuestro Universo a escala global. Es para maravillarse hasta dónde puede llegar la frontera del conocimiento humano.
Lo primero que hay que aclarar es: ¿Que entendemos por la topología del Universo? La topología es una rama matemática que estudia las simetrías geométricas de un objeto ante transformaciones continuas. En topología se clasifican los objetos geométricos según estas simetrías de tal forma que, por ejemplo, la forma de un donuts y la de una taza de café son equivalentes, ya que se pueden transformar la una a la otra sin tener que romper o rasgar ninguna parte del mismo. La pregunta que nos hacemos es: ¿en cuáles de las clasificaciones topológicas podemos incluir la forma de nuestro Universo?
Sabemos que nuestro Universo es casi plano, que tiene unos 13.800 millones de años de antigüedad y que nuestro horizonte comóvil tiene un radio de unos 46.500 millones de años luz. Sin embargo, no sabemos, ni en principio podemos saber, ningún dato más allá de nuestro horizonte. Si como la inflación nos indica, nuestro Universo es en realidad mucho más grande de lo que podemos observar, entonces podría tener una topología muy diferente a la que observamos en nuestro horizonte. De hecho, nuestro Universo podría tener forma de toro (como un donuts) o de cilindro a gran escala y ser totalmente compatible con el Universo casi plano que vemos a nuestro alrededor.

Entrelazamiento cuántico del vacío
En Física cuántica se denomina vacío cuántico al estado de mínima energía, el cual, está sometido a fluctuaciones cuánticas. El vacío cuántico no está vacío sino que está lleno de campos cuánticos. El punto clave, es que, para observadores locales, el estado de vacío de estos campos está entrelazado. Esto quiere decir que si medimos las fluctuaciones cuánticas del estado de vacío de un campo con detectores separados años luz de distancia, encontraremos una correlación entre ellos. Parece imposible, pero es una característica muy bien conocida y estudiada de la mecánica cuántica y está ampliamente demostrada por experimentos, como el efecto Unruh.
La pregunta que nos haremos en este artículo es: ¿Podemos utilizar esta no localidad inherente del estado de vacío cuántico para inferir alguna propiedad sobre la forma del espacio-tiempo? Aunque parezca increíble, la respuesta es un rotundo SÍ.
Detectando las fluctuaciones del vacío
Vamos a considerar dos detectores de partículas idénticos que son medidos continuamente por dos observadores en el vacío cósmico, con dos posibles estados 0 (vacío) y 1 (estado excitado) separados por una distancia d. Consideremos que el vacío cósmico esta libre de partículas y de energía y que el único campo cuántico relevante es un campo escalar (el más sencillo y elemental de todos los campos cuánticos). Cada detector está descrito por una función de onda Ø. La probabilidad de que una fluctuación del vacío interfiera con la función de onda de un detector y este "salte" a su estado excitado está dado por la llamada matriz densidad. Como ambos sistemas están entrelazados, la probabilidad del sistema compuesto por ambos detectores vendrá dada por una matriz densidad derivada de la superposición de la función de onda de ambos detectores:
PAB= [U |Ø><Ø| U*]
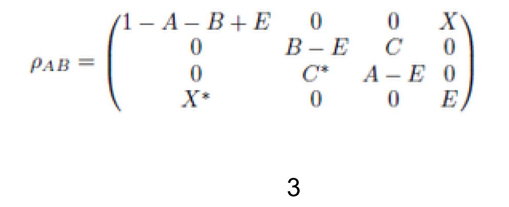
Esta matriz densidad tiene la siguiente forma:

Separando las cantidades locales de las no locales en la matriz, tenemos:

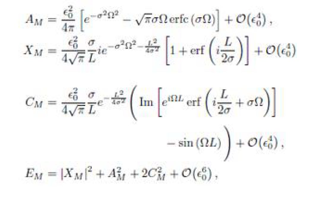
Si consideramos dos detectores idénticos entonces A=B. En un espacio plano los valores de A,X,C y E serían los siguientes:

La idea clave de todo esto es la siguiente: los parámetros de la matriz densidad dependen de la topología del espacio-tiempo en el cual residen los campos escalares del vacío. Es decir, la correlación (el patrón de entrelazamiento) entre los detectores dependerá de la topología del espacio-tiempo.
Tenemos que para un espacio-tiempo plano la correlación entre ambos detectores viene dada por:

Universos con diferentes topologías
Como ejemplo de cómo funcionarían nuestros "detectores de topologías espacio-temporales" consideraremos dos casos diferentes:
1º) Un Universo de forma cilíndrica
2º) Un Universo de forma cilíndrica cuyas rotaciones no tienen simetría especular, es decir, distinguen entre izquierda y derecha (como en un espejo).
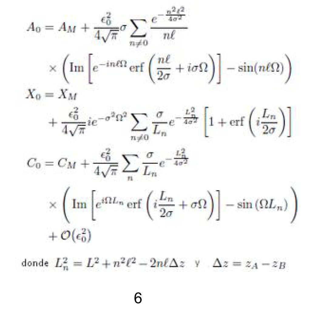
Estudiaremos ahora el primer caso. Un cilindro puede considerarse como la acción de tomar un espacio plano y plegarlo "pegando" dos de los "bordes" formando un círculo de radio R, de forma que el espacio formado es periódico con periodo 2ΠR. Esto se puede describir mediante la transformación: (t,x,y,z)----(t,x,y,z+L) donde L es la longitud de la circunferencia del cilindro. Aplicando esta transformación a nuestro Universo plano podemos hallar los componentes de la matriz densidad de este hipotético Universo cilíndrico:

Por tanto las correlaciones entre ambos detectores son diferentes en ambos Universos. Esto nos permitiría distinguir entre ambas topologías del espacio tiempo. El siguiente gráfico nos da la diferencia en las correlaciones de ambos detectores en ambos Universos:

En la zona roja las correlaciones entre los detectores son mayores en el Universo plano que en el cilíndrico, mientras que en la zona azul sucede lo contrario. Para valores muy grandes de L, el espacio-tiempo parece plano y desaparecen las diferencias entre ambas topologías.
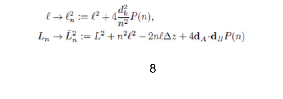
En el segundo caso la transformación sería: (t,x,y,z)----(t,-x,-y,z+L). En este Universo no hay simetría rotacional (un espejo permite distinguir entre izquierda y derecha) lo que significa que este Universo tiene una dirección preferente en el espacio-tiempo. Los valores de A,X,C y E serían los mismos que en el caso anterior con los siguientes cambios:

Como se puede ver, aparece el factor dAdB. Esto quiere decir que la correlación depende de la distancia entre ambos detectores. Esto nos permitiría identificar una dirección privilegiada en el espacio-tiempo. La diferencia entre un Universo plano y este Universo viene dada por el siguiente gráfico:

Lamentablemente, los cálculos indican que la sensibilidad de nuestros detectores actuales no es suficiente para medir estas correlaciones tan pequeñas. Sin embargo, futuros detectores podrían lograr la precisión necesaria para conseguirlo. En el año 240 a.C. ¡Eratóstenes consiguió medir el radio de la Tierra con la única ayuda de la observación y de las Matemáticas!
En la actualidad, los físicos modernos podrían ser capaces de conseguir (básicamente con las mismas herramientas aunque con un nivel más alto de sofistificación) medir la forma de nuestro Universo.
¿Alguien podría imaginar capacidades tan extraordinarias para unos homínidos cuyas civilizaciones apenas tienen unos miles de años?
© 2021 JAVIER DE LUCAS